Millet Nicolas, Latgé Jean-Paul, Mouyna Isabelle
Aspergillus Unit, Institut Pasteur, 25 rue du Docteur Roux, 75015 Paris, France.
J Fungi (Basel). 2018 Jan 30;4(1):18. doi: 10.3390/jof4010018.
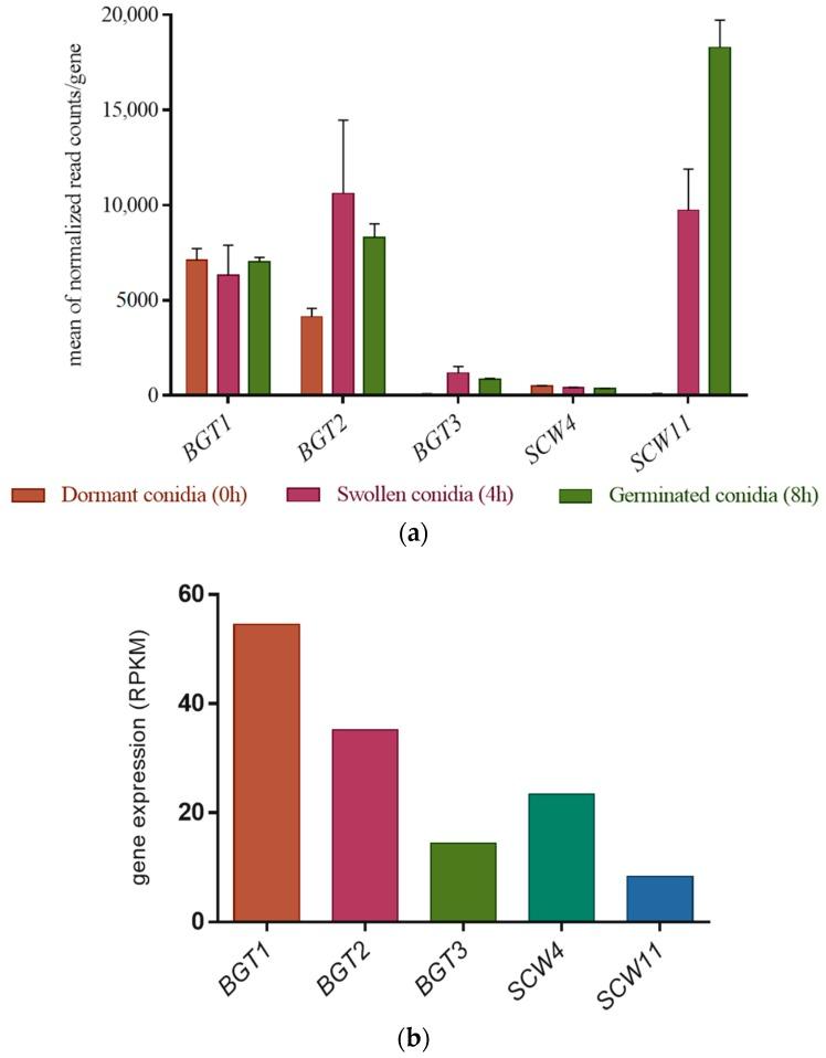
Cell wall biosynthesis and remodeling are essential for fungal growth and development. In the fungal pathogen , the β(1,3)glucan is the major cell wall polysaccharide. This polymer is synthesized at the plasma membrane by a transmembrane complex, then released into the parietal space to be remodeled by enzymes, and finally incorporated into the pre-existing cell wall. In the Glycosyl-Hydrolases family 17 (GH17) of , two β(1,3)glucanosyltransferases, Bgt1p and Bgt2p, have been previously characterized. Disruption of and did not result in a phenotype, but sequence comparison and hydrophobic cluster analysis showed that three other genes in belong to the GH17 family, , , and . In constrast to mutants, single and multiple deletion of , , and showed a decrease in conidiation associated with a higher conidial mortality and an abnormal conidial shape. Moreover, mycelium was also affected with a slower growth, stronger sensitivity to cell wall disturbing agents, and altered cell wall composition. Finally, the synthetic interactions between Bgt1p, Bgt2p, and the three other members, which support a functional cooperation in cell-wall assembly, were analyzed. Our data suggest that Scw4p, Scw11p, and Bgt3p are essential for cell wall integrity and might have antagonistic and distinct functions to Bgt1p and Bgt2p.
细胞壁的生物合成和重塑对于真菌的生长和发育至关重要。在真菌病原体中,β(1,3) - 葡聚糖是主要的细胞壁多糖。这种聚合物由跨膜复合物在质膜上合成,然后释放到壁空间中由酶进行重塑,最后整合到预先存在的细胞壁中。在[具体物种名称未给出]的糖基水解酶家族17(GH17)中,先前已鉴定出两种β(1,3) - 葡聚糖转移酶Bgt1p和Bgt2p。[具体基因名称未给出]和[具体基因名称未给出]的破坏并未导致表型变化,但序列比较和疏水簇分析表明,[具体物种名称未给出]中的另外三个基因属于GH17家族,即[具体基因名称未给出]、[具体基因名称未给出]和[具体基因名称未给出]。与[具体基因名称未给出]突变体相反,[具体基因名称未给出]、[具体基因名称未给出]和[具体基因名称未给出]的单基因和多基因缺失显示分生孢子形成减少,伴有较高的分生孢子死亡率和异常的分生孢子形状。此外,菌丝体也受到影响,生长较慢,对细胞壁干扰剂的敏感性增强,并且细胞壁组成发生改变。最后,分析了Bgt1p、Bgt2p与其他三个成员之间的合成相互作用,这些相互作用支持了细胞壁组装中的功能协作。我们的数据表明,Scw4p、Scw11p和Bgt3p对于细胞壁完整性至关重要,并且可能与Bgt1p和Bgt2p具有拮抗和不同的功能。