Suppr超能文献

转录组分析揭示了赤霉素调控基因和转录因子在调控生菜(Lactuca sativa L.)抽薹中的作用。

Transcriptomic analysis reveals the roles of gibberellin-regulated genes and transcription factors in regulating bolting in lettuce (Lactuca sativa L.).

作者信息

Liu Xueying, Lv Shanshan, Liu Ran, Fan Shuangxi, Liu Chaojie, Liu Renyi, Han Yingyan

机构信息

Plant Science and Technology College, Beijing University of Agriculture/New Technological Laboratory in Agriculture Application in Beijing/ Key Laboratory of Urban Agriculture (North) of Ministry of Agriculture P. R. China, Beijing, China.

Shanghai Center for Plant Stress Biology, Shanghai Institutes for Biological Sciences, Chinese Academy of Sciences, Shanghai, China.

出版信息

PLoS One. 2018 Feb 7;13(2):e0191518. doi: 10.1371/journal.pone.0191518. eCollection 2018.

Abstract

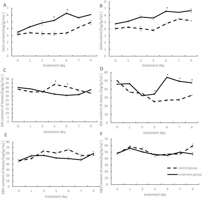
A cool temperature is preferred for lettuce cultivation, as high temperatures cause premature bolting. Accordingly, exploring the mechanism of bolting and preventing premature bolting is important for agriculture. To explore this relationship in depth, morphological, physiological, and transcriptomic analyses of the bolting-sensitive line S39 at the five-leaf stage grown at 37°C were performed in the present study. Based on paraffin section results, we observed that S39 began bolting on the seventh day at 37°C. During bolting in the heat-treated plants, GA3 and GA4 levels in leaves and the indoleacetic acid (IAA) level in the stem reached a maximum on the sixth day, and these high contents were maintained. Additionally, bolting begins in the fifth day after GA3 treatment in S39 plants, GA3 and GA4 increased and then decreased, reaching a maximum on the fourth day in leaves. Similarly, IAA contents reached a maximum in the stem on the fifth day. No bolting was observed in the control group grown at 25°C, and significant changes were not observed in GA3 and GA4 levels in the controls during the observation period. RNA-sequencing data implicated transcription factors (TFs) in regulating bolting in lettuce, suggesting that the high GA contents in the leaves and IAA in the stem promote bolting. TFs possibly modulate the expression of related genes, such as those encoding hormones, potentially regulating bolting in lettuce. Compared to the control group, 258 TFs were identified in the stem of the treatment group, among which 98 and 156 were differentially up- and down-regulated, respectively; in leaves, 202 and 115 TFs were differentially up- and down-regulated, respectively. Significant changes in the treated group were observed for C2H2 zinc finger, AP2-EREBP, and WRKY families, indicating that these TFs may play important roles in regulating bolting.

摘要

生菜栽培偏好凉爽的温度,因为高温会导致过早抽薹。因此,探索抽薹机制并防止过早抽薹对农业来说很重要。为了深入探究这种关系,本研究对在37°C下生长至五叶期的抽薹敏感品系S39进行了形态学、生理学和转录组分析。基于石蜡切片结果,我们观察到S39在37°C下第7天开始抽薹。在热处理植株抽薹期间,叶片中的赤霉素3(GA3)和赤霉素4(GA4)水平以及茎中的吲哚乙酸(IAA)水平在第6天达到最高值,并保持这些高含量。此外,在S39植株中,GA3处理后第5天开始抽薹,GA3和GA4先增加后减少,在叶片中第4天达到最高值。同样,IAA含量在茎中第5天达到最高值。在25°C下生长的对照组未观察到抽薹现象,且在观察期内对照组中GA3和GA4水平未观察到显著变化。RNA测序数据表明转录因子(TFs)参与调控生菜抽薹,这表明叶片中高含量的GA和茎中高含量的IAA促进抽薹。TFs可能调节相关基因的表达,如编码激素的基因,从而潜在地调控生菜抽薹。与对照组相比,在处理组的茎中鉴定出258个TFs,其中分别有98个和156个TFs差异上调和下调;在叶片中,分别有202个和115个TFs差异上调和下调。在处理组中观察到C2H2锌指、AP2-EREBP和WRKY家族有显著变化,表明这些TFs可能在调控抽薹中起重要作用。

https://cdn.ncbi.nlm.nih.gov/pmc/blobs/6945/5802892/9ef7351813a9/pone.0191518.g001.jpg

文献检索

告别复杂PubMed语法,用中文像聊天一样搜索,搜遍4000万医学文献。AI智能推荐,让科研检索更轻松。

立即免费搜索

文件翻译

保留排版,准确专业,支持PDF/Word/PPT等文件格式,支持 12+语言互译。

免费翻译文档

深度研究

AI帮你快速写综述,25分钟生成高质量综述,智能提取关键信息,辅助科研写作。

立即免费体验