• 文献检索
  • 文档翻译
  • 深度研究
  • 学术资讯
  • Suppr Zotero 插件Zotero 插件
  • 邀请有礼
  • 套餐&价格
  • 历史记录
应用&插件
Suppr Zotero 插件Zotero 插件浏览器插件Mac 客户端Windows 客户端微信小程序
定价
高级版会员购买积分包购买API积分包
服务
文献检索文档翻译深度研究API 文档MCP 服务
关于我们
关于 Suppr公司介绍联系我们用户协议隐私条款
关注我们

Suppr 超能文献

核心技术专利:CN118964589B侵权必究
粤ICP备2023148730 号-1Suppr @ 2026

文献检索

告别复杂PubMed语法,用中文像聊天一样搜索,搜遍4000万医学文献。AI智能推荐,让科研检索更轻松。

立即免费搜索

文件翻译

保留排版,准确专业,支持PDF/Word/PPT等文件格式,支持 12+语言互译。

免费翻译文档

深度研究

AI帮你快速写综述,25分钟生成高质量综述,智能提取关键信息,辅助科研写作。

立即免费体验

微小RNA对Tip110表达以及人CD34+造血细胞自我更新和分化的调控

miRNA regulation of Tip110 expression and self-renewal and differentiation of human CD34+ hematopoietic cells.

作者信息

Liu Ying, Huang Xinxin, Timani Khalid A, Broxmeyer Hal E, He Johnny J

机构信息

Department of Microbiology, Immunology and Genetics, Graduate School of Biomedical Sciences, University of North Texas Health Science Center, Fort Worth, TX 76107, USA.

Department of Microbiology and Immunology, Indiana University, Indianapolis, IN 46202, USA.

出版信息

Oncotarget. 2017 Dec 21;9(4):4823-4832. doi: 10.18632/oncotarget.23572. eCollection 2018 Jan 12.

DOI:10.18632/oncotarget.23572
PMID:29435144
原文链接:https://pmc.ncbi.nlm.nih.gov/articles/PMC5797015/
Abstract

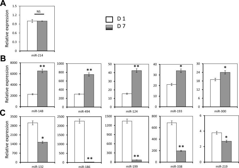
Tip110 expression regulates hematopoiesis, but the regulatory mechanisms during hematopoiesis are not fully understood. There are a number of putative microRNA (miRNA) binding sites identified within the Tip110 3' untranslated region (3'UTR). In this study, we determined the relationship among Tip110 miRNA, Tip110 expression and self-renewal and differentiation of human CD34+ hematopoietic cells. Using a Tip110 3UTR-based reporter gene assay, 11 miRNA showed the specific activity toward the Tip110 3'UTR and down-regulated constitutive Tip110 mRNA expression. When human cord blood CD34+ cells were differentiated, Tip110 mRNA expression showed significant decreases. Concurrently, five miRNA showed significant increases, five miRNA showed significant decreases, and one miRNA remained unchanged. To further assess the roles of miRNA in Tip110 expression and self-renewal and differentiation of human CD34+ hematopoietic cells, human cord blood CD34+ cells were transduced to express the full-length Tip110 3'UTR RNA. Expression of the Tip110 3'UTR RNA led to significant increases of Tip110 mRNA, and the number of hematopoietic stem cells and progenitor cells. Taken together, these results show important roles of Tip110 miRNA in Tip110 expression control and Tip110 regulation of hematopoiesis and offer a possibility of using Tip110 miRNA or 3'UTR as a strategy to maintain human CD34+ hematopoietic cells.

摘要

Tip110表达调控造血过程,但其在造血过程中的调控机制尚未完全明确。在Tip110的3'非翻译区(3'UTR)内已鉴定出多个假定的微小RNA(miRNA)结合位点。在本研究中,我们确定了Tip110 miRNA、Tip110表达以及人CD34+造血细胞自我更新和分化之间的关系。使用基于Tip110 3UTR的报告基因检测,11种miRNA对Tip110 3'UTR表现出特异性活性,并下调Tip110组成型mRNA表达。当人脐带血CD34+细胞分化时,Tip110 mRNA表达显著下降。同时,5种miRNA显著增加,5种miRNA显著减少,1种miRNA保持不变。为进一步评估miRNA在Tip110表达以及人CD34+造血细胞自我更新和分化中的作用,将人脐带血CD34+细胞转导以表达全长Tip110 3'UTR RNA。Tip110 3'UTR RNA的表达导致Tip110 mRNA以及造血干细胞和祖细胞数量显著增加。综上所述,这些结果表明Tip110 miRNA在Tip110表达控制以及Tip110对造血的调控中发挥重要作用,并为使用Tip110 miRNA或3'UTR作为维持人CD34+造血细胞的策略提供了可能性。

https://cdn.ncbi.nlm.nih.gov/pmc/blobs/9613/5797015/e3a787121410/oncotarget-09-4823-g006.jpg
https://cdn.ncbi.nlm.nih.gov/pmc/blobs/9613/5797015/28086685883d/oncotarget-09-4823-g001.jpg
https://cdn.ncbi.nlm.nih.gov/pmc/blobs/9613/5797015/3739e39e6350/oncotarget-09-4823-g002.jpg
https://cdn.ncbi.nlm.nih.gov/pmc/blobs/9613/5797015/5259ebb4bdeb/oncotarget-09-4823-g003.jpg
https://cdn.ncbi.nlm.nih.gov/pmc/blobs/9613/5797015/554c3c4efa51/oncotarget-09-4823-g004.jpg
https://cdn.ncbi.nlm.nih.gov/pmc/blobs/9613/5797015/d452d4b99681/oncotarget-09-4823-g005.jpg
https://cdn.ncbi.nlm.nih.gov/pmc/blobs/9613/5797015/e3a787121410/oncotarget-09-4823-g006.jpg
https://cdn.ncbi.nlm.nih.gov/pmc/blobs/9613/5797015/28086685883d/oncotarget-09-4823-g001.jpg
https://cdn.ncbi.nlm.nih.gov/pmc/blobs/9613/5797015/3739e39e6350/oncotarget-09-4823-g002.jpg
https://cdn.ncbi.nlm.nih.gov/pmc/blobs/9613/5797015/5259ebb4bdeb/oncotarget-09-4823-g003.jpg
https://cdn.ncbi.nlm.nih.gov/pmc/blobs/9613/5797015/554c3c4efa51/oncotarget-09-4823-g004.jpg
https://cdn.ncbi.nlm.nih.gov/pmc/blobs/9613/5797015/d452d4b99681/oncotarget-09-4823-g005.jpg
https://cdn.ncbi.nlm.nih.gov/pmc/blobs/9613/5797015/e3a787121410/oncotarget-09-4823-g006.jpg

相似文献

1
miRNA regulation of Tip110 expression and self-renewal and differentiation of human CD34+ hematopoietic cells.微小RNA对Tip110表达以及人CD34+造血细胞自我更新和分化的调控
Oncotarget. 2017 Dec 21;9(4):4823-4832. doi: 10.18632/oncotarget.23572. eCollection 2018 Jan 12.
2
Regulation of Constitutive Tip110 Expression in Human Cord Blood CD34 Cells Through Selective Usage of the Proximal and Distal Polyadenylation Sites Within the 3'Untranslated Region.通过在 3'UTR 内近端和远端 poly(A) 加尾位点的选择性使用来调节人脐血 CD34 细胞中组成型 Tip110 表达。
Stem Cells Dev. 2018 Apr 15;27(8):566-576. doi: 10.1089/scd.2017.0197. Epub 2018 Mar 27.
3
MicroRNA-124 Targets Tip110 Expression and Regulates Hematopoiesis.微小RNA-124靶向Tip110表达并调节造血作用。
Stem Cells Dev. 2015 Sep 1;24(17):2009-17. doi: 10.1089/scd.2015.0030. Epub 2015 May 11.
4
Role of Tat-interacting protein of 110 kDa and microRNAs in the regulation of hematopoiesis.110 kDa Tat 相互作用蛋白和微小RNA在造血调控中的作用
Curr Opin Hematol. 2016 Jul;23(4):325-30. doi: 10.1097/MOH.0000000000000246.
5
TIP110/p110nrb/SART3/p110 regulation of hematopoiesis through CMYC.TIP110/p110nrb/SART3/p110 通过 CMYC 调节造血作用。
Blood. 2011 May 26;117(21):5643-51. doi: 10.1182/blood-2010-12-325332. Epub 2011 Mar 29.
6
Oncogenic p95HER2 regulates Na+-HCO3- cotransporter NBCn1 mRNA stability in breast cancer cells via 3'UTR-dependent processes.致癌性p95HER2通过3'UTR依赖性过程调节乳腺癌细胞中Na+-HCO3-共转运体NBCn1的mRNA稳定性。
Biochem J. 2016 Nov 1;473(21):4027-4044. doi: 10.1042/BCJ20160054. Epub 2016 Sep 8.
7
CD34+ hematopoietic stem-progenitor cell microRNA expression and function: a circuit diagram of differentiation control.CD34+造血干祖细胞的微小RNA表达与功能:分化控制的电路图
Proc Natl Acad Sci U S A. 2007 Feb 20;104(8):2750-5. doi: 10.1073/pnas.0610983104. Epub 2007 Feb 9.
8
[Differential expression profiles of MicroRNA during the development of human cord blood CD34(+)CD38(-) cells to CD34(+)CD38(+) cells].[人脐带血CD34(+)CD38(-)细胞向CD34(+)CD38(+)细胞发育过程中MicroRNA的差异表达谱]
Zhongguo Shi Yan Xue Ye Xue Za Zhi. 2008 Jun;16(3):589-92.
9
Versican 3'-untranslated region (3'UTR) promotes dermal wound repair and fibroblast migration by regulating miRNA activity.多功能蛋白聚糖3'非翻译区(3'UTR)通过调节微小RNA(miRNA)活性促进皮肤伤口修复和成纤维细胞迁移。
Biochim Biophys Acta. 2014 Jul;1843(7):1373-85. doi: 10.1016/j.bbamcr.2014.02.015. Epub 2014 Mar 1.
10
Integrated analysis of miRNA and mRNA during differentiation of human CD34+ cells delineates the regulatory roles of microRNA in hematopoiesis.人 CD34+ 细胞分化过程中 miRNA 和 mRNA 的综合分析描绘了 microRNA 在造血中的调控作用。
Exp Hematol. 2014 Jan;42(1):14-27.e1-2. doi: 10.1016/j.exphem.2013.10.003. Epub 2013 Oct 16.

引用本文的文献

1
Tip110 Expression Facilitates the Release of HEXIM1 and pTEFb from the 7SK Ribonucleoprotein Complex Involving Regulation of the Intracellular Redox Level.Tip110表达促进HEXIM1和pTEFb从7SK核糖核蛋白复合物的释放,涉及细胞内氧化还原水平的调节。
Aging Dis. 2021 Dec 1;12(8):2113-2124. doi: 10.14336/AD.2021.0528. eCollection 2021 Dec.

本文引用的文献

1
Activation of OCT4 enhances ex vivo expansion of human cord blood hematopoietic stem and progenitor cells by regulating HOXB4 expression.OCT4 的激活通过调节 HOXB4 的表达增强人脐带血造血干细胞和祖细胞的体外扩增。
Leukemia. 2016 Jan;30(1):144-53. doi: 10.1038/leu.2015.189. Epub 2015 Jul 23.
2
Enhancing Hematopoietic Stem Cell Transplantation Efficacy by Mitigating Oxygen Shock.通过减轻氧休克提高造血干细胞移植疗效
Cell. 2015 Jun 18;161(7):1553-65. doi: 10.1016/j.cell.2015.04.054. Epub 2015 Jun 11.
3
Tip110 Regulates the Cross Talk between p53 and Hypoxia-Inducible Factor 1α under Hypoxia and Promotes Survival of Cancer Cells.
Tip110在缺氧条件下调节p53与缺氧诱导因子1α之间的相互作用并促进癌细胞存活。
Mol Cell Biol. 2015 Jul;35(13):2254-64. doi: 10.1128/MCB.00001-15. Epub 2015 May 4.
4
MicroRNA-124 Targets Tip110 Expression and Regulates Hematopoiesis.微小RNA-124靶向Tip110表达并调节造血作用。
Stem Cells Dev. 2015 Sep 1;24(17):2009-17. doi: 10.1089/scd.2015.0030. Epub 2015 May 11.
5
Target competition: transcription factors enter the limelight.目标竞争:转录因子成为焦点。
Genome Biol. 2014 Apr 28;15(4):114. doi: 10.1186/gb4174.
6
Pseudogenes as competitive endogenous RNAs: target prediction and validation.作为竞争性内源性RNA的假基因:靶点预测与验证
Methods Mol Biol. 2014;1167:199-212. doi: 10.1007/978-1-4939-0835-6_13.
7
The multilayered complexity of ceRNA crosstalk and competition.ceRNA 串扰和竞争的多层次复杂性。
Nature. 2014 Jan 16;505(7483):344-52. doi: 10.1038/nature12986.
8
Integrated transcriptional and competitive endogenous RNA networks are cross-regulated in permissive molecular environments.在允许的分子环境中,综合转录和竞争内源性 RNA 网络是相互调控的。
Proc Natl Acad Sci U S A. 2013 Apr 30;110(18):7154-9. doi: 10.1073/pnas.1222509110. Epub 2013 Mar 27.
9
Attenuation of miR-126 activity expands HSC in vivo without exhaustion.抑制 miR-126 的活性可在体内扩增造血干细胞而不使其耗竭。
Cell Stem Cell. 2012 Dec 7;11(6):799-811. doi: 10.1016/j.stem.2012.09.001. Epub 2012 Nov 8.
10
C-MYC controlled TIP110 protein expression regulates OCT4 mRNA splicing in human embryonic stem cells.C-MYC 调控 TIP110 蛋白表达调控人胚胎干细胞中 OCT4 mRNA 的剪接。
Stem Cells Dev. 2013 Mar 1;22(5):689-94. doi: 10.1089/scd.2012.0271. Epub 2012 Dec 12.