• 文献检索
  • 文档翻译
  • 深度研究
  • 学术资讯
  • Suppr Zotero 插件Zotero 插件
  • 邀请有礼
  • 套餐&价格
  • 历史记录
应用&插件
Suppr Zotero 插件Zotero 插件浏览器插件Mac 客户端Windows 客户端微信小程序
定价
高级版会员购买积分包购买API积分包
服务
文献检索文档翻译深度研究API 文档MCP 服务
关于我们
关于 Suppr公司介绍联系我们用户协议隐私条款
关注我们

Suppr 超能文献

核心技术专利:CN118964589B侵权必究
粤ICP备2023148730 号-1Suppr @ 2026

文献检索

告别复杂PubMed语法,用中文像聊天一样搜索,搜遍4000万医学文献。AI智能推荐,让科研检索更轻松。

立即免费搜索

文件翻译

保留排版,准确专业,支持PDF/Word/PPT等文件格式,支持 12+语言互译。

免费翻译文档

深度研究

AI帮你快速写综述,25分钟生成高质量综述,智能提取关键信息,辅助科研写作。

立即免费体验

胸腔积液肿瘤标志物的诊断价值。

Diagnostic value of tumour markers in pleural effusions.

机构信息

Division of Pulmonology, Clinic of Internal Medicine, Clinical Hospital Centre Rijeka, Rijeka, Croatia.

Department of Internal Medicine, Faculty of Medicine, University of Rijeka, Rijeka, Croatia.

出版信息

Biochem Med (Zagreb). 2018 Feb 15;28(1):010706. doi: 10.11613/BM.2018.010706. Epub 2018 Jan 10.

DOI:10.11613/BM.2018.010706
PMID:29472801
原文链接:https://pmc.ncbi.nlm.nih.gov/articles/PMC5806614/
Abstract

INTRODUCTION

We investigated whether tumour markers carcinoembryonic antigen (CEA), neuron-specific enolase (NSE), cancer antigen 125 (CA-125), and cytokeratin 19 fragment (CYFRA 21-1) in pleural effusions and serum can be used to distinguish pleural effusion aetiology.

MATERIALS AND METHODS

During the first thoracentesis, we measured pleural fluid and serum tumour marker concentrations and calculated the pleural fluid/serum ratio for patients diagnosed with pleural effusion, using electrochemiluminescence immunoassays. Receiver operating characteristic (ROC) analysis was carried out and the Hanley and McNeil method was used to test the significance of the difference between the areas under ROC curves (AUCs). In order to detect which tumour marker best discriminates between malignant and non-malignant pleural effusions and to establish the predictive value of those markers, discriminant function analysis (DFA) and logistic regression analysis were utilized.

RESULTS

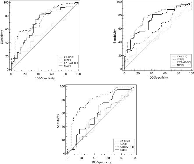
Serum tumour markers CYFRA 21-1 and NSE as well as pleural NSE were good predictors of pleural effusion malignancy and their combined model was found statistically significant (Chi-square = 28.415, P < 0.001). Respective ROC analysis showed significant discrimination value of the combination of these three markers (AUC = 0.79).

CONCLUSIONS

Serum markers showed superiority to pleural fluid markers in determining pleural fluid aetiology. Serum CYFRA 21-1 and NSE concentrations as well as pleural fluid NSE values had the highest clinical value in differentiating between malignant and non-malignant pleural effusions. The combination of these three markers produced a significant model to resolve pleural effusion aetiology.

摘要

简介

我们研究了胸腔积液和血清中的肿瘤标志物癌胚抗原(CEA)、神经元特异性烯醇化酶(NSE)、癌抗原 125(CA-125)和细胞角蛋白 19 片段(CYFRA 21-1)是否可用于区分胸腔积液的病因。

材料和方法

在第一次胸腔穿刺时,我们使用电化学发光免疫分析法测量了胸腔积液和血清中肿瘤标志物的浓度,并计算了胸腔积液/血清比值。进行了受试者工作特征(ROC)分析,并使用 Hanley 和 McNeil 方法检验 ROC 曲线下面积(AUC)之间差异的显著性。为了检测哪种肿瘤标志物最能区分恶性和非恶性胸腔积液,并确定这些标志物的预测值,我们利用判别函数分析(DFA)和逻辑回归分析进行了分析。

结果

血清肿瘤标志物 CYFRA 21-1 和 NSE 以及胸腔积液 NSE 是胸腔积液恶性的良好预测因子,其联合模型具有统计学意义(卡方=28.415,P<0.001)。各自的 ROC 分析显示,这三种标志物联合具有显著的鉴别价值(AUC=0.79)。

结论

血清标志物在确定胸腔积液病因方面优于胸腔积液标志物。血清 CYFRA 21-1 和 NSE 浓度以及胸腔积液 NSE 值在区分恶性和非恶性胸腔积液方面具有最高的临床价值。这三种标志物的联合产生了一个有意义的模型,可以解决胸腔积液的病因问题。

https://cdn.ncbi.nlm.nih.gov/pmc/blobs/55ee/5806614/e42e855c3fbe/bm-28-1-010706-f2.jpg
https://cdn.ncbi.nlm.nih.gov/pmc/blobs/55ee/5806614/3baa5f2aa495/bm-28-1-010706-f1.jpg
https://cdn.ncbi.nlm.nih.gov/pmc/blobs/55ee/5806614/e42e855c3fbe/bm-28-1-010706-f2.jpg
https://cdn.ncbi.nlm.nih.gov/pmc/blobs/55ee/5806614/3baa5f2aa495/bm-28-1-010706-f1.jpg
https://cdn.ncbi.nlm.nih.gov/pmc/blobs/55ee/5806614/e42e855c3fbe/bm-28-1-010706-f2.jpg

相似文献

1
Diagnostic value of tumour markers in pleural effusions.胸腔积液肿瘤标志物的诊断价值。
Biochem Med (Zagreb). 2018 Feb 15;28(1):010706. doi: 10.11613/BM.2018.010706. Epub 2018 Jan 10.
2
Diagnostic utility of pleural fluid and serum markers in differentiation between malignant and non-malignant pleural effusions.胸腔积液和血清标志物对良恶性胸腔积液的鉴别诊断价值。
Eur J Med Res. 2009 Dec 7;14 Suppl 4(Suppl 4):128-33. doi: 10.1186/2047-783x-14-s4-128.
3
Diagnostic utility of serum and pleural fluid carcinoembryonic antigen, neuron-specific enolase, and cytokeratin 19 fragments in patients with effusions from primary lung cancer.血清和胸腔积液癌胚抗原、神经元特异性烯醇化酶及细胞角蛋白19片段在原发性肺癌所致胸腔积液患者中的诊断价值
Chest. 2005 Oct;128(4):2298-303. doi: 10.1378/chest.128.4.2298.
4
Diagnostic utility of CYFRA 21-1, carcinoembryonic antigen, CA 125, neuron specific enolase, and squamous cell antigen level determinations in the serum and pleural fluid of patients with pleural effusions.CYFRA 21-1、癌胚抗原、CA 125、神经元特异性烯醇化酶及鳞状细胞抗原水平测定在胸腔积液患者血清和胸液中的诊断效用
Cancer. 1999 Oct 15;86(8):1488-95. doi: 10.1002/(sici)1097-0142(19991015)86:8<1488::aid-cncr15>3.0.co;2-y.
5
Diagnostic value of tumor markers for differentiating malignant and benign pleural effusions of Iranian patients.肿瘤标志物对鉴别伊朗患者恶性和良性胸腔积液的诊断价值。
Pathol Oncol Res. 2005;11(4):236-41. doi: 10.1007/BF02893857. Epub 2005 Dec 31.
6
Use of tumor markers in distinguishing lung adenocarcinoma-associated malignant pleural effusion from tuberculous pleural effusion.肿瘤标志物在鉴别肺腺癌相关恶性胸腔积液与结核性胸腔积液中的应用。
Am J Med Sci. 2024 Aug;368(2):136-142. doi: 10.1016/j.amjms.2024.04.001. Epub 2024 Apr 5.
7
An evaluation of the tumour markers, carcinoembryonic antigen (CEA), cytokeratin marker (CYFRA 21-1) and neuron-specific enolase (NSE) in the differentiation of malignant from benign solitary pulmonary lesions.肿瘤标志物癌胚抗原(CEA)、细胞角蛋白标志物(CYFRA 21-1)和神经元特异性烯醇化酶(NSE)在鉴别孤立性肺良性病变与恶性病变中的评估。
Lung Cancer. 1999 Dec;26(3):149-55. doi: 10.1016/s0169-5002(99)00084-7.
8
Differential diagnosis of tuberculous and malignant pleural effusions: comparison of the Th1/Th2 cytokine panel, tumor marker panel and chemistry panel.结核性和恶性胸腔积液的鉴别诊断:Th1/Th2 细胞因子谱、肿瘤标志物谱和化学谱的比较。
Scand J Clin Lab Invest. 2020 Jul;80(4):265-270. doi: 10.1080/00365513.2020.1728784. Epub 2020 Feb 28.
9
Pleural CEA, CA-15-3, CYFRA 21-1, CA-19-9, CA-125 discriminating malignant from benign pleural effusions: Diagnostic cancer biomarkers.胸腔 CEA、CA-15-3、CYFRA 21-1、CA-19-9、CA-125 鉴别良恶性胸腔积液:诊断癌症的生物标志物。
Int J Biol Markers. 2023 Jun;38(2):81-88. doi: 10.1177/03936155231158661. Epub 2023 Mar 21.
10
Use of a panel of tumor markers (carcinoembryonic antigen, cancer antigen 125, carbohydrate antigen 15-3, and cytokeratin 19 fragments) in pleural fluid for the differential diagnosis of benign and malignant effusions.利用一组肿瘤标志物(癌胚抗原、癌抗原125、糖类抗原15-3和细胞角蛋白19片段)检测胸腔积液以鉴别诊断良性和恶性胸腔积液。
Chest. 2004 Dec;126(6):1757-63. doi: 10.1378/chest.126.6.1757.

引用本文的文献

1
CA125 as a Potential Biomarker in Non-Malignant Serous Effusions: Diagnostic and Prognostic Considerations.CA125作为非恶性浆液性积液中的潜在生物标志物:诊断和预后考量
J Clin Med. 2025 Jun 11;14(12):4152. doi: 10.3390/jcm14124152.
2
Influence of age and sex on the diagnostic accuracy of pleural fluid carcinoembryonic antigen for malignant pleural effusion: a analysis.年龄和性别对恶性胸腔积液患者胸水癌胚抗原诊断准确性的影响:一项分析。
Front Oncol. 2025 May 6;15:1549621. doi: 10.3389/fonc.2025.1549621. eCollection 2025.
3
Tumor Markers in Pleural Fluid: A Comprehensive Study on Diagnostic Accuracy.

本文引用的文献

1
Evaluation of two strategies for the interpretation of tumour markers in pleural effusions.评估两种解读胸腔积液中肿瘤标志物的策略。
Respir Res. 2017 May 25;18(1):103. doi: 10.1186/s12931-017-0582-1.
2
Diagnostic value of tumor markers for lung adenocarcinoma-associated malignant pleural effusion: a validation study and meta-analysis.肿瘤标志物对肺腺癌相关恶性胸腔积液的诊断价值:一项验证性研究和Meta分析
Int J Clin Oncol. 2017 Apr;22(2):283-290. doi: 10.1007/s10147-016-1073-y. Epub 2016 Dec 18.
3
Atypical Pleural Fluid Profiles in Tuberculous Pleural Effusion: Sequential Changes Compared with Parapneumonic and Malignant Pleural Effusions.
胸液中的肿瘤标志物:诊断准确性的综合研究
Diagnostics (Basel). 2025 Jan 17;15(2):204. doi: 10.3390/diagnostics15020204.
4
Diagnostic accuracy of pleural fluid to serum carcinoembryonic antigen ratio and delta value for malignant pleural effusion: findings from two cohorts.胸腔积液与血清癌胚抗原比值及差值对恶性胸腔积液的诊断准确性:来自两个队列的研究结果。
Ther Adv Respir Dis. 2023 Jan-Dec;17:17534666231155745. doi: 10.1177/17534666231155745.
5
Diagnostic Value of Six Tumor Markers for Malignant Pleural Effusion in 1,230 Patients: A Single-Center Retrospective Study.1,230 例患者中六种肿瘤标志物对恶性胸腔积液的诊断价值:一项单中心回顾性研究。
Pathol Oncol Res. 2022 Apr 20;28:1610280. doi: 10.3389/pore.2022.1610280. eCollection 2022.
6
Development of risk prediction models for lung cancer based on tumor markers and radiological signs.基于肿瘤标志物和影像学特征的肺癌风险预测模型的建立。
J Clin Lab Anal. 2021 Mar;35(3):e23682. doi: 10.1002/jcla.23682. Epub 2020 Dec 16.
7
The diagnostic value of pleural fluid homocysteine in malignant pleural effusion.胸腔积液同型半胱氨酸对恶性胸腔积液的诊断价值。
PLoS One. 2019 Sep 24;14(9):e0222616. doi: 10.1371/journal.pone.0222616. eCollection 2019.
结核性胸腔积液中的非典型胸腔积液特征:与肺炎旁胸腔积液和恶性胸腔积液相比的序贯变化
Intern Med. 2016;55(13):1713-9. doi: 10.2169/internalmedicine.55.5803. Epub 2016 Jul 1.
4
Malignant pleural effusion: from bench to bedside.恶性胸腔积液:从实验台到病床边
Eur Respir Rev. 2016 Jun;25(140):189-98. doi: 10.1183/16000617.0019-2016.
5
ROC-ing along: Evaluation and interpretation of receiver operating characteristic curves.一路前行:接收器操作特性曲线的评估与解读
Surgery. 2016 Jun;159(6):1638-1645. doi: 10.1016/j.surg.2015.12.029. Epub 2016 Mar 5.
6
Clinical Value of Tumor Markers for Determining Cause of Pleural Effusion.肿瘤标志物在确定胸腔积液病因中的临床价值
Chin Med J (Engl). 2016 Feb 5;129(3):253-8. doi: 10.4103/0366-6999.174501.
7
The diagnostic accuracy of carcinoembryonic antigen to detect colorectal cancer recurrence - A systematic review.癌胚抗原对结直肠癌复发的诊断准确性 - 系统评价。
Int J Surg. 2016 Jan;25:134-44. doi: 10.1016/j.ijsu.2015.11.065. Epub 2015 Dec 15.
8
Blood CEA levels for detecting recurrent colorectal cancer.用于检测复发性结直肠癌的血液癌胚抗原水平。
Cochrane Database Syst Rev. 2015 Dec 10;2015(12):CD011134. doi: 10.1002/14651858.CD011134.pub2.
9
The Role of CA 125 as Tumor Marker: Biochemical and Clinical Aspects.CA 125作为肿瘤标志物的作用:生化及临床方面
Adv Exp Med Biol. 2015;867:229-44. doi: 10.1007/978-94-017-7215-0_14.
10
Neuron-Specific Enolase as a Biomarker: Biochemical and Clinical Aspects.神经元特异性烯醇化酶作为一种生物标志物:生化与临床方面
Adv Exp Med Biol. 2015;867:125-43. doi: 10.1007/978-94-017-7215-0_9.