Suppr超能文献

用于高压直流电缆附件绝缘的SiC/LSR纳米复合材料的制备及其介电性能

Preparation and Dielectric Properties of SiC/LSR Nanocomposites for Insulation of High Voltage Direct Current Cable Accessories.

作者信息

Shang Nanqiang, Chen Qingguo, Wei Xinzhe

机构信息

Key Laboratory of Engineering Dielectric and its Application, Ministry of Education, Harbin University of Science and Technology, Harbin 150040, China.

出版信息

Materials (Basel). 2018 Mar 8;11(3):403. doi: 10.3390/ma11030403.

Abstract

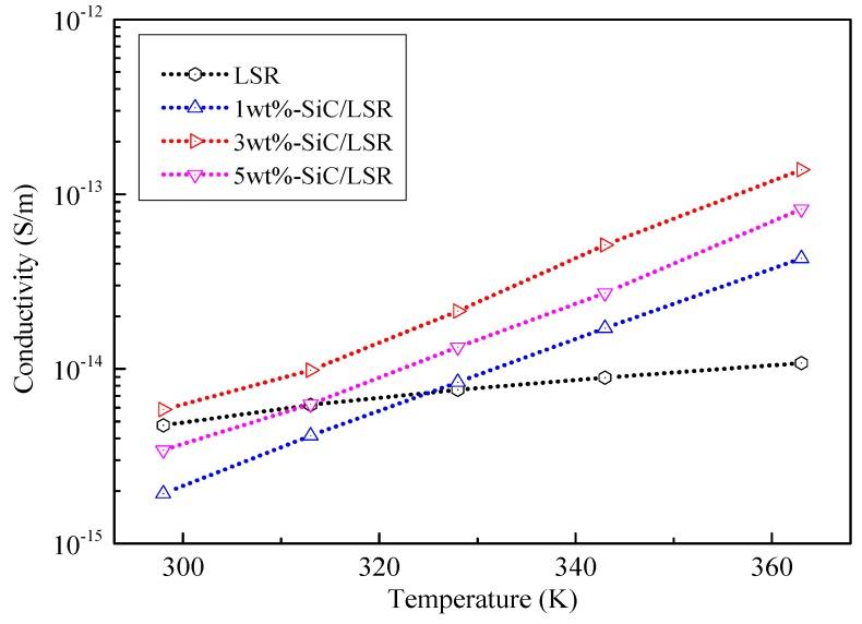
The conductivity mismatch in the composite insulation of high voltage direct current (HVDC) cable accessories causes electric field distribution distortion and even insulation breakdown. Therefore, a liquid silicone rubber (LSR) filled with SiC nanoparticles is prepared for the insulation of cable accessories. The micro-morphology of the SiC/LSR nanocomposites is observed by scanning electron microscopy, and their trap parameters are characterized using thermal stimulated current (TSC) tests. Moreover, the dielectric properties of SiC/LSR nanocomposites with different SiC concentrations are tested. The results show that the 3 wt % SiC/LSR sample has the best nonlinear conductivity, more than one order of magnitude higher than that of pure LSR with improved temperature and nonlinear conductivity coefficients. The relative permittivity increased 0.2 and dielectric loss factor increased 0.003, while its breakdown strength decreased 5 kV/mm compared to those of pure LSR. Moreover, the TSC results indicate the introduction of SiC nanoparticles reduced the trap level and trap density. Furthermore, the SiC nanoparticles filling significantly increased the sensitivity of LSR to electric field stress and temperature changes, enhancing the conductivity and electric field distribution within the HVDC cable accessories, thus improving the reliability of the HVDC cable accessories.

摘要

高压直流(HVDC)电缆附件复合绝缘中的电导率失配会导致电场分布畸变,甚至绝缘击穿。因此,制备了一种填充有碳化硅(SiC)纳米颗粒的液体硅橡胶(LSR)用于电缆附件的绝缘。通过扫描电子显微镜观察SiC/LSR纳米复合材料的微观形态,并使用热刺激电流(TSC)测试对其陷阱参数进行表征。此外,还测试了不同SiC浓度的SiC/LSR纳米复合材料的介电性能。结果表明,3 wt% SiC/LSR样品具有最佳的非线性电导率,比纯LSR高出一个多数量级,同时温度和非线性导电系数也有所提高。与纯LSR相比,其相对介电常数增加了0.2,介电损耗因数增加了0.003,而击穿强度降低了5 kV/mm。此外,TSC结果表明SiC纳米颗粒的引入降低了陷阱能级和陷阱密度。此外,SiC纳米颗粒的填充显著提高了LSR对电场应力和温度变化的敏感性,增强了高压直流电缆附件内的电导率和电场分布,从而提高了高压直流电缆附件的可靠性。

https://cdn.ncbi.nlm.nih.gov/pmc/blobs/809d/5872982/5db7df575b5e/materials-11-00403-g001.jpg

文献AI研究员

20分钟写一篇综述,助力文献阅读效率提升50倍。

立即体验

用中文搜PubMed

大模型驱动的PubMed中文搜索引擎

马上搜索

文档翻译

学术文献翻译模型,支持多种主流文档格式。

立即体验