Suppr超能文献

氮化铝和氮化硼共填充加成固化液态硅橡胶复合材料的热导率和介电性能研究

Research on the thermal conductivity and dielectric properties of AlN and BN co-filled addition-cure liquid silicone rubber composites.

作者信息

Ou Zhenzhen, Gao Feng, Zhao Huaijun, Dang Shumeng, Zhu Lingjian

机构信息

Xi'an University of Technology Xi'an 710048 Shaanxi China

出版信息

RSC Adv. 2019 Sep 13;9(49):28851-28856. doi: 10.1039/c9ra04771a. eCollection 2019 Sep 9.

Abstract

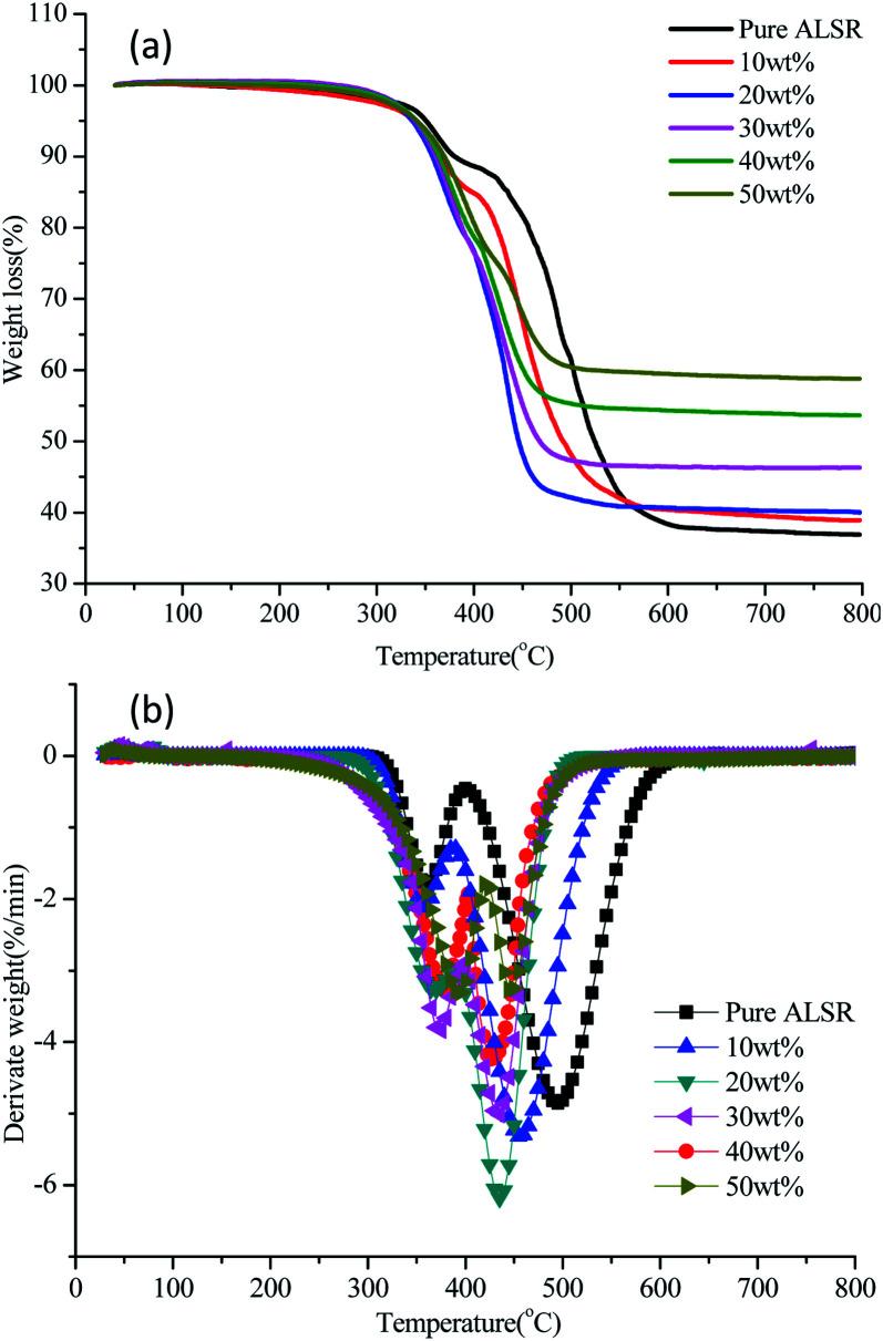
The present work aims at studying the thermal and dielectric properties of addition-cure liquid silicone rubber (ALSR) matrix composites using boron nitride (BN) and aluminum nitride (AlN) as a hybrid thermal conductive filler. Composite samples with different filler contents were fabricated, and the density, thermal conductivity, thermal stability, dielectric properties, and volume resistivity of the samples were measured. According to the experimental results, the density, thermal conductivity, dielectric constant and dielectric loss tangent values all increased with the increasing addition of filler. When the weight fraction of hBN filler was 50 wt%, the thermal conductivity of composites was 0.554 W (m K), which is 3.4 times higher than that of pure ALSR. The corresponding relative permittivity and dielectric loss were 3.98 and 0.0085 at 1 MHz, respectively. Furthermore, TGA results revealed that the AlN/BN hybrid filler could also improve the thermal stability of ALSR. The volume resistivity of ALSR composites was higher than that of pure ALSR. The addition of fillers improved the thermal properties of ALSR and had little effect on its insulation properties. This characteristic makes ALSR composites attractive in the field of insulating materials.

摘要

本工作旨在研究以氮化硼(BN)和氮化铝(AlN)作为混合导热填料的加成型液体硅橡胶(ALSR)基复合材料的热性能和介电性能。制备了具有不同填料含量的复合样品,并测量了样品的密度、热导率、热稳定性、介电性能和体积电阻率。根据实验结果,密度、热导率、介电常数和介电损耗正切值均随填料添加量的增加而增大。当六方氮化硼(hBN)填料的质量分数为50 wt%时,复合材料的热导率为0.554 W/(m·K),比纯ALSR高3.4倍。在1 MHz时,相应的相对介电常数和介电损耗分别为3.98和0.0085。此外,热重分析(TGA)结果表明,AlN/BN混合填料还可以提高ALSR的热稳定性。ALSR复合材料的体积电阻率高于纯ALSR。填料的添加改善了ALSR的热性能,对其绝缘性能影响较小。这一特性使得ALSR复合材料在绝缘材料领域具有吸引力。

https://cdn.ncbi.nlm.nih.gov/pmc/blobs/b034/9071213/572fed92048b/c9ra04771a-f1.jpg

文献检索

告别复杂PubMed语法,用中文像聊天一样搜索,搜遍4000万医学文献。AI智能推荐,让科研检索更轻松。

立即免费搜索

文件翻译

保留排版,准确专业,支持PDF/Word/PPT等文件格式,支持 12+语言互译。

免费翻译文档

深度研究

AI帮你快速写综述,25分钟生成高质量综述,智能提取关键信息,辅助科研写作。

立即免费体验