Streitparth Tina, Schumacher Denis, Damm Robert, Friebe Bjoern, Mohnike Konrad, Kosiek Ortrud, Pech Maciej, Ricke Jens, Streitparth Florian
Department of Radiology, University Hospital Munich, Munich, Germany.
Department of Neurology, Clinic of Magdeburg, Magdeburg, Germany.
Oncotarget. 2018 Jan 18;9(14):11722-11733. doi: 10.18632/oncotarget.24270. eCollection 2018 Feb 20.
The purpose of this study was to evaluate the efficacy, safety and predictive factors of RFA of primary and secondary lung malignancies.
79 patients with 129 primary and secondary lung malignancies were enrolled in a retrospective study. We treated 74 pulmonary metastases of colorectal cancer, 13 malignant melanoma lesions, 13 renal cancer metastases, 5 primary lung malignancies and 24 tumors of other different entities. All patients were considered to be unsuitable candidates for surgery, radiotherapy or chemotherapy. The primary endpoint was local tumor control, secondary endpoints were overall survival, safety and predictive factors, e.g. distance to pleura, vessels and bronchi.
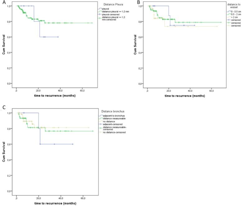
The median tumor size was 1.2 cm (0.5-3.0 cm). After a median follow-up of 14 months (3-81 months), the LTC was 85.3 %. There were 34 lesions (26.4%) with complete remission, 48 (37.2 %) partial remission, 28 (21.7%) stable disease and 19 lesions (14.7%) with progressive disease. We evaluated an OS of 27 months. Pneumothorax in 19 cases (14.7%) and pleural effusion in 2 cases (1.6 %) were the leading complications (CTCAE, 5 grade III adverse events). The only significant influence regarding the outcome after RFA was the initial tumor size ( = 0.01). Distance to vessel, bronchi, and pleura showed no significant effect ( = 0.81; = 0.82; = 0.80).
本研究旨在评估原发性和继发性肺恶性肿瘤射频消融(RFA)的疗效、安全性及预测因素。
79例患有129处原发性和继发性肺恶性肿瘤的患者纳入一项回顾性研究。我们治疗了74例结直肠癌肺转移、13处恶性黑色素瘤病灶、13例肾癌转移、5例原发性肺恶性肿瘤以及24例其他不同类型的肿瘤。所有患者均被认为不适合手术、放疗或化疗。主要终点为局部肿瘤控制,次要终点为总生存期、安全性及预测因素,如距胸膜、血管和支气管的距离。
肿瘤中位大小为1.2厘米(0.5 - 3.0厘米)。中位随访14个月(3 - 81个月)后,局部肿瘤控制率为85.3%。有34处病灶(26.4%)完全缓解,48处(37.2%)部分缓解,28处(21.7%)病情稳定,19处病灶(14.7%)病情进展。我们评估的总生存期为27个月。19例(14.7%)发生气胸,2例(1.6%)发生胸腔积液,为主要并发症(美国国立癌症研究所通用不良反应事件评价标准,5级III级不良事件)。RFA术后结果的唯一显著影响因素是初始肿瘤大小(P = 0.01)。距血管、支气管和胸膜的距离未显示出显著影响(P = 0.81;P = 0.82;P = 0.80)。