Team of Environmental Epidemiology applied to Reproduction and Respiratory Health, U1209, Inserm (Institut national de la santé et de la recherché médicale), IAB (Institute for Advanced Biosciences), CNRS (Centre national de la recherche scientifique), University Grenoble Alpes, Grenoble, France.
Organic Analytical Toxicology Branch, Division of Laboratory Sciences, Centers for Disease Control and Prevention, Atlanta, Georgia, USA.
Environ Health Perspect. 2018 Mar 16;126(3):037005. doi: 10.1289/EHP1994.
Toxicology studies have shown adverse effects of developmental exposure to industrial phenols. Evaluation in humans is challenged by potentially marked within-subject variability of phenol biomarkers in pregnant women, which is poorly characterized.
We aimed to characterize within-day, between-day, and between-week variability of phenol urinary biomarker concentrations during pregnancy.
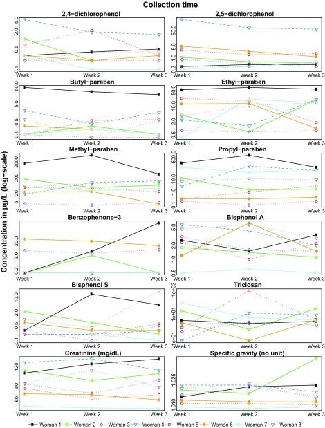
In eight French pregnant women, we collected all urine voids over a 1-wk period (average, 60 samples per week per woman) at three occasions (15±2, 24±2, and 32±1 gestational weeks) in 2012-2013. Aliquots of each day and of the whole week were pooled within-subject. We assayed concentrations of 10 phenols in these pools, and, for two women, in all spot (unpooled) samples collected during a 1-wk period. We characterized variability using intraclass correlation coefficients (ICCs) with spot samples (within-day variability), daily pools (between-day variability), and weekly pools (between-week variability).
For most biomarkers, the within-day variability was high (ICCs between 0.03 and 0.50). The between-day variability, based on samples pooled within each day, was much lower, with ICCs >0.60 except for bisphenol S (0.14, 95% confidence interval [CI]: 0.00, 0.39). The between-week variability differed between compounds, with triclosan and bisphenol S having the lowest ICCs (<0.3) and 2,5-dichlorophenol the highest (ICC >0.9).
During pregnancy, phenol biomarkers showed a strong within-day variability, while the variability between days of a given week was more limited. One biospecimen is not enough to efficiently characterize exposure; collecting biospecimens during a single week may be enough to represent well the whole pregnancy exposure for some but not all phenols. https://doi.org/10.1289/EHP1994.
毒理学研究表明,发育过程中接触工业酚会产生不良影响。由于孕妇体内酚类生物标志物的个体内变异性可能很大,因此对人类进行评估具有挑战性,而这种变异性的特征描述很差。
我们旨在描述怀孕期间酚类尿生物标志物浓度的日内、日间和周间变异性。
2012-2013 年,我们在法国的 8 名孕妇中,在三个时间点(15±2、24±2 和 32±1 孕周)收集了 1 周内(平均每位女性每周 60 个样本)的所有尿液,并在每个时间点收集 1 周内的所有(未混合)点样尿液。我们对每个样本进行了 10 种酚类物质的浓度检测,对于两名女性,还对 1 周内采集的所有点样尿液进行了检测。我们使用个体内相关系数(ICC)来描述变异性,使用点样样本(日内变异性)、每日样本(日间变异性)和每周样本(周间变异性)。
对于大多数生物标志物,日内变异性较高(ICC 在 0.03 到 0.50 之间)。基于每天内混合的样本,日间变异性要低得多,除了双酚 S(0.14,95%置信区间[CI]:0.00,0.39)之外,ICC 均大于 0.60。周间变异性因化合物而异,三氯生和双酚 S 的 ICC 最低(<0.3),2,5-二氯苯酚的 ICC 最高(>0.9)。
在怀孕期间,酚类生物标志物表现出很强的日内变异性,而一周内某一天的变异性则更为有限。一个生物样本不足以有效地描述暴露情况;对于某些但不是所有酚类物质,收集单个星期的生物样本可能足以很好地代表整个孕期的暴露情况。https://doi.org/10.1289/EHP1994.