• 文献检索
  • 文档翻译
  • 深度研究
  • 学术资讯
  • Suppr Zotero 插件Zotero 插件
  • 邀请有礼
  • 套餐&价格
  • 历史记录
应用&插件
Suppr Zotero 插件Zotero 插件浏览器插件Mac 客户端Windows 客户端微信小程序
定价
高级版会员购买积分包购买API积分包
服务
文献检索文档翻译深度研究API 文档MCP 服务
关于我们
关于 Suppr公司介绍联系我们用户协议隐私条款
关注我们

Suppr 超能文献

核心技术专利:CN118964589B侵权必究
粤ICP备2023148730 号-1Suppr @ 2026

文献检索

告别复杂PubMed语法,用中文像聊天一样搜索,搜遍4000万医学文献。AI智能推荐,让科研检索更轻松。

立即免费搜索

文件翻译

保留排版,准确专业,支持PDF/Word/PPT等文件格式,支持 12+语言互译。

免费翻译文档

深度研究

AI帮你快速写综述,25分钟生成高质量综述,智能提取关键信息,辅助科研写作。

立即免费体验

袖状胃切除术对 GK 大鼠糖代谢及胰高血糖素样肽 1 的影响

The Effects of Sleeve Gastrectomy on Glucose Metabolism and Glucagon-Like Peptide 1 in Goto-Kakizaki Rats.

机构信息

Department of Colorectal Surgery, The Sixth Affiliated Hospital of Sun Yat-sen University, Guangzhou, China.

Guangdong Institute of Gastroenterology, Guangdong Provincial Key Laboratory of Colorectal and Pelvic Floor Disease, Guangzhou, China.

出版信息

J Diabetes Res. 2018 Feb 18;2018:1082561. doi: 10.1155/2018/1082561. eCollection 2018.

DOI:10.1155/2018/1082561
PMID:29670912
原文链接:https://pmc.ncbi.nlm.nih.gov/articles/PMC5835276/
Abstract

PURPOSE

To investigate the effects of sleeve gastrectomy (SG) on glucose metabolism and changes in glucagon-like peptide 1 (GLP-1) in Goto-Kakizaki (GK) rats.

METHODS

GK rats were randomly assigned to one of three groups: SG, SG pair-fed plus sham surgery (PF-sham), and ad libitum-fed no surgery (control). Food intake, body weight, blood glucose, GLP-1 and insulin levels, and GLP-1 expression in the jejunum and ileum were compared.

RESULTS

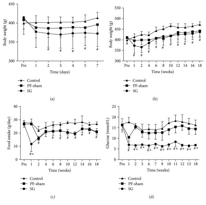
The SG rats exhibited lower postoperative food intake, body weight, and fasting glucose than did the control rats ( < 0.05). SG significantly improved glucose and insulin tolerance ( < 0.05). Plasma GLP-1 levels were higher in SG rats than in control or PF-sham rats in the oral glucose tolerance test (OGTT) ( < 0.05). Blood glucose levels expressed as a percentage of baseline were higher in SG rats than in control rats after exendin (9-39) administration ( < 0.05). The levels of GLP-1 expression in the jejunum and ileum were higher in SG rats than in PF-sham and control rats ( < 0.05).

CONCLUSIONS

Improvement of glucose metabolism by SG was associated with increased GLP-1 secretion. SG contributes to an increase in plasma GLP-1 levels via increased GLP-1 expression in the mucosa of the jejunum and/or ileum.

摘要

目的

研究袖状胃切除术(SG)对葡萄糖代谢和胰高血糖素样肽 1(GLP-1)变化的影响。

方法

GK 大鼠随机分为 3 组:SG 组、SG 配对喂养加假手术(PF-sham)组和自由喂养无手术(对照)组。比较食物摄入量、体重、血糖、GLP-1 和胰岛素水平以及空肠和回肠的 GLP-1 表达。

结果

SG 大鼠术后食物摄入量、体重和空腹血糖均低于对照组(<0.05)。SG 显著改善了葡萄糖和胰岛素耐量(<0.05)。在口服葡萄糖耐量试验(OGTT)中,SG 大鼠的血浆 GLP-1 水平高于对照组或 PF-sham 大鼠(<0.05)。给予外源性 GLP-1 类似物 exendin(9-39)后,SG 大鼠的血糖水平较对照组大鼠的血糖水平更高(<0.05)。SG 大鼠空肠和回肠的 GLP-1 表达水平高于 PF-sham 组和对照组大鼠(<0.05)。

结论

SG 改善葡萄糖代谢与 GLP-1 分泌增加有关。SG 通过增加空肠和回肠黏膜的 GLP-1 表达,导致血浆 GLP-1 水平升高。

https://cdn.ncbi.nlm.nih.gov/pmc/blobs/6d53/5835276/d0cb134f4ad2/JDR2018-1082561.006.jpg
https://cdn.ncbi.nlm.nih.gov/pmc/blobs/6d53/5835276/21d632493015/JDR2018-1082561.001.jpg
https://cdn.ncbi.nlm.nih.gov/pmc/blobs/6d53/5835276/901632d50592/JDR2018-1082561.002.jpg
https://cdn.ncbi.nlm.nih.gov/pmc/blobs/6d53/5835276/cbe50172fa47/JDR2018-1082561.003.jpg
https://cdn.ncbi.nlm.nih.gov/pmc/blobs/6d53/5835276/bb6f16781f4f/JDR2018-1082561.004.jpg
https://cdn.ncbi.nlm.nih.gov/pmc/blobs/6d53/5835276/118539aaed1c/JDR2018-1082561.005.jpg
https://cdn.ncbi.nlm.nih.gov/pmc/blobs/6d53/5835276/d0cb134f4ad2/JDR2018-1082561.006.jpg
https://cdn.ncbi.nlm.nih.gov/pmc/blobs/6d53/5835276/21d632493015/JDR2018-1082561.001.jpg
https://cdn.ncbi.nlm.nih.gov/pmc/blobs/6d53/5835276/901632d50592/JDR2018-1082561.002.jpg
https://cdn.ncbi.nlm.nih.gov/pmc/blobs/6d53/5835276/cbe50172fa47/JDR2018-1082561.003.jpg
https://cdn.ncbi.nlm.nih.gov/pmc/blobs/6d53/5835276/bb6f16781f4f/JDR2018-1082561.004.jpg
https://cdn.ncbi.nlm.nih.gov/pmc/blobs/6d53/5835276/118539aaed1c/JDR2018-1082561.005.jpg
https://cdn.ncbi.nlm.nih.gov/pmc/blobs/6d53/5835276/d0cb134f4ad2/JDR2018-1082561.006.jpg

相似文献

1
The Effects of Sleeve Gastrectomy on Glucose Metabolism and Glucagon-Like Peptide 1 in Goto-Kakizaki Rats.袖状胃切除术对 GK 大鼠糖代谢及胰高血糖素样肽 1 的影响
J Diabetes Res. 2018 Feb 18;2018:1082561. doi: 10.1155/2018/1082561. eCollection 2018.
2
Effect of sleeve gastrectomy on body weight, food intake, glucose tolerance, and metabolic hormone level in two different rat models: Goto-Kakizaki and diet-induced obese rat.袖状胃切除术对两种不同大鼠模型(Goto-Kakizaki 大鼠和饮食诱导肥胖大鼠)的体重、摄食量、葡萄糖耐量和代谢激素水平的影响。
J Surg Res. 2013 Nov;185(1):159-65. doi: 10.1016/j.jss.2013.05.019. Epub 2013 May 28.
3
Therapeutic Effects of Sleeve Gastrectomy and Ileal Transposition on Type 2 Diabetes in a Non-Obese Rat Model by Regulating Blood Glucose and Reducing Ghrelin Levels.袖状胃切除术和回肠转位术通过调节血糖和降低胃饥饿素水平对非肥胖型 2 型糖尿病大鼠模型的治疗作用。
Med Sci Monit. 2019 May 9;25:3417-3424. doi: 10.12659/MSM.913705.
4
Type 2 diabetes control in a nonobese rat model using sleeve gastrectomy with duodenal-jejunal bypass (SGDJB).使用袖状胃旁路吻合术(SGDJB)控制非肥胖大鼠 2 型糖尿病模型中的血糖。
Obes Surg. 2012 Dec;22(12):1865-73. doi: 10.1007/s11695-012-0744-7.
5
Effect of Sleeve Gastrectomy Plus Side-to-Side Jejunoileal Anastomosis for Type 2 Diabetes Control in an Obese Rat Model.袖状胃切除术联合空肠回肠侧侧吻合术对肥胖大鼠模型2型糖尿病控制的影响
Obes Surg. 2016 Apr;26(4):797-804. doi: 10.1007/s11695-015-1811-7.
6
Weight-independent changes in blood glucose homeostasis after gastric bypass or vertical sleeve gastrectomy in rats.大鼠胃旁路或垂直袖状胃切除术后血糖稳态的体重独立变化。
Gastroenterology. 2011 Sep;141(3):950-8. doi: 10.1053/j.gastro.2011.05.050. Epub 2011 Jul 12.
7
Intestinal electrical stimulation attenuates hyperglycemia and prevents loss of pancreatic β cells in type 2 diabetic Goto-Kakizaki rats.肠道电刺激可减轻 2 型糖尿病 Goto-Kakizaki 大鼠的高血糖,并防止胰岛 β 细胞丢失。
Nutr Diabetes. 2019 Feb 6;9(1):4. doi: 10.1038/s41387-019-0072-2.
8
A Comparative Study of the Effect of Gastric Bypass, Sleeve Gastrectomy, and Duodenal-Jejunal Bypass on Type-2 Diabetes in non-Obese Rats.胃旁路术、袖状胃切除术和十二指肠空肠旁路术对非肥胖大鼠2型糖尿病影响的比较研究
Obes Surg. 2015 Oct;25(10):1966-75. doi: 10.1007/s11695-015-1835-z.
9
Comparison of Great Curvature Plication with Duodenal-Jejunal Bypass (GCP-DJB) and Sleeve Gastrectomy (SG) on Metabolic Indices and Gut Hormones in Type 2 Diabetes Mellitus Rats.对比 2 型糖尿病大鼠的代谢指标和肠道激素,大弯折叠术(GCP-DJB)与胃旁路术(SG)的效果。
Obes Surg. 2018 Dec;28(12):4014-4021. doi: 10.1007/s11695-018-3459-6.
10
Sleeve gastrectomy, but not duodenojejunostomy, preserves total beta-cell mass in Goto-Kakizaki rats evaluated by three-dimensional optical projection tomography.在通过三维光学投影断层扫描评估的Goto-Kakizaki大鼠中,袖状胃切除术而非十二指肠空肠吻合术可保留胰岛β细胞总量。
Surg Endosc. 2016 Feb;30(2):532-542. doi: 10.1007/s00464-015-4236-4. Epub 2015 Jun 12.

引用本文的文献

1
State of art on the mechanisms of laparoscopic sleeve gastrectomy in treating type 2 diabetes mellitus.腹腔镜袖状胃切除术治疗2型糖尿病机制的研究现状
World J Diabetes. 2023 Jun 15;14(6):632-655. doi: 10.4239/wjd.v14.i6.632.
2
Study on the Hyperglycemic Effect of GLP-1 in by Oral Administration and Intraperitoneal Injection Methods.通过口服和腹腔注射方法研究胰高血糖素样肽-1(GLP-1)的升血糖作用。
Aquac Nutr. 2023 Apr 3;2023:9969406. doi: 10.1155/2023/9969406. eCollection 2023.
3
Meal patterns after bariatric surgery in mice and rats.

本文引用的文献

1
Bariatric Surgery versus Intensive Medical Therapy for Diabetes - 5-Year Outcomes.减肥手术与强化药物治疗糖尿病——5年结果
N Engl J Med. 2017 Feb 16;376(7):641-651. doi: 10.1056/NEJMoa1600869.
2
Short-term Effects of Laparoscopic Adjustable Gastric Banding Versus Roux-en-Y Gastric Bypass.腹腔镜可调节胃束带术与 Roux-en-Y 胃旁路术的短期效果比较。
Diabetes Care. 2016 Nov;39(11):1925-1931. doi: 10.2337/dc15-2823. Epub 2016 Aug 29.
3
Insulin Resistance, Microbiota, and Fat Distribution Changes by a New Model of Vertical Sleeve Gastrectomy in Obese Rats.
术后饮食模式在小鼠和大鼠中的研究。
Appetite. 2020 Mar 1;146:104340. doi: 10.1016/j.appet.2019.104340. Epub 2019 Jun 29.
4
Gastric Sleeve Surgery Alleviates Obesity-Associated Insulin Resistance and Suppresses Endoplasmic Reticulum Stress in Adipose Tissue of db/db Mice.胃袖状手术减轻肥胖相关胰岛素抵抗,并抑制 db/db 小鼠脂肪组织内质网应激。
Obes Surg. 2019 Oct;29(10):3220-3227. doi: 10.1007/s11695-019-03966-6.
新型垂直袖状胃切除术对肥胖大鼠胰岛素抵抗、微生物群和脂肪分布变化的影响。
Diabetes. 2016 Oct;65(10):2990-3001. doi: 10.2337/db16-0039. Epub 2016 Jul 18.
4
Worldwide trends in diabetes since 1980: a pooled analysis of 751 population-based studies with 4.4 million participants.1980年以来全球糖尿病趋势:对751项基于人群的研究进行的汇总分析,涉及440万参与者。
Lancet. 2016 Apr 9;387(10027):1513-1530. doi: 10.1016/S0140-6736(16)00618-8. Epub 2016 Apr 6.
5
Effects of Bariatric Surgery on Serum Bile Acid Composition and Conjugation in a Diabetic Rat Model.减肥手术对糖尿病大鼠模型血清胆汁酸组成及结合的影响。
Obes Surg. 2016 Oct;26(10):2384-92. doi: 10.1007/s11695-016-2087-2.
6
Improvements of Glucose and Lipid Metabolism After Jejuno-ileal Circuit Procedure in a Non-obese Diabetic Rat Model.非肥胖型糖尿病大鼠模型空肠回肠短路手术后葡萄糖和脂质代谢的改善
Obes Surg. 2016 Aug;26(8):1768-76. doi: 10.1007/s11695-015-1997-8.
7
Changes in insulin sensitivity and secretion after sleeve gastrectomy.袖状胃切除术后胰岛素敏感性和分泌的变化。
Br J Surg. 2016 Feb;103(3):242-8. doi: 10.1002/bjs.10039. Epub 2015 Nov 9.
8
Surgical models of Roux-en-Y gastric bypass surgery and sleeve gastrectomy in rats and mice.大鼠和小鼠的Roux-en-Y胃旁路手术和袖状胃切除术的手术模型。
Nat Protoc. 2015 Mar;10(3):495-507. doi: 10.1038/nprot.2015.027. Epub 2015 Feb 26.
9
Effects of meal size on the release of GLP-1 and PYY after Roux-en-Y gastric bypass surgery in obese subjects with or without type 2 diabetes.餐量对接受Roux-en-Y胃旁路手术的肥胖受试者(无论有无2型糖尿病)体内胰高血糖素样肽-1(GLP-1)和肽YY(PYY)释放的影响。
Obes Surg. 2014 Nov;24(11):1969-74. doi: 10.1007/s11695-014-1316-9.
10
Diabetic gastrointestinal motility disorders and the role of enteric nervous system: current status and future directions.糖尿病性胃肠动力障碍与肠神经系统的作用:现状与未来方向
Neurogastroenterol Motil. 2014 May;26(5):611-24. doi: 10.1111/nmo.12330. Epub 2014 Mar 24.