Suppr超能文献

多囊卵巢综合征女性中应激相关因素与身体成分改变之间的潜在联系。

Possible Link Between Stress-related Factors and Altered Body Composition in Women with Polycystic Ovarian Syndrome.

作者信息

Basu Barnali Ray, Chowdhury Olivia, Saha Sudip Kumar

机构信息

Department of Physiology, Surendranath College, Kolkata, West Bengal, India.

Department of Gynecology and Obstetrics, IPGMER, SSKM Medical College and Hospital, Kolkata, West Bengal, India.

出版信息

J Hum Reprod Sci. 2018 Jan-Mar;11(1):10-18. doi: 10.4103/jhrs.JHRS_78_17.

Abstract

BACKGROUND

Stress is an invisible factor affecting modern day living and is strongly associated with many disease pathogenesis including polycystic ovarian syndrome (PCOS) in women. PCOS is the most frequent endocrinological disorder that affects women of reproductive age, leading to metabolic dysfunction and body composition alterations. Salivary amylase and cortisol are major stress mediators that have been implicated in PCOS. However, their role in altering body composition in PCOS is yet to be deciphered.

AIM

The present study aimed at understanding the relation between stress-associated factors and alterations in body composition among PCOS patients.

DESIGN

This study enrolled a total of 100 patients (PCOS) and 60 age-matched controls. The female patients were of ages between 13 and 30 years.

MATERIALS AND METHODS

Standard assay kits were used to evaluate the α-amylase activity and cortisol level in saliva. The participants were chosen on the basis of the Rotterdam American Society for Reproductive Medicine/European Society of Human Reproduction criteria. Saliva was collected from each participant as per the protocol of Salimetrics, USA.

STATISTICAL ANALYSIS

Statistical analysis was performed using SPSS version 20 for Windows. The quantitative variables are described as mean ± standard deviation. < 0.05 was considered significant.

RESULTS

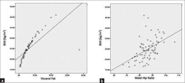
Increased salivary cortisol level and α-amylase activity were seen in the PCOS population as compared to age-matched controls suggesting patients a sustained stress scenario in their system. Moreover, overweight PCOS participants reflected higher amylase activity than the lean patients participants. Pulse rate, body mass index (BMI), visceral adiposity, and waist-hip ratio (WHR) was considerably higher in the PCOS patients participants compared to controls. A significant correlation could be drawn between the α-amylase activity and BMI or WHR, respectively, among PCOS patients. These observations indicate a strong link between the stress marker and alterations in the body composition parameters of PCOS patients participants.

CONCLUSION

Higher prevalence of stress in PCOS patients participants has a critical role in their altered body composition.

摘要

背景

压力是影响现代生活的一个无形因素,与包括女性多囊卵巢综合征(PCOS)在内的许多疾病发病机制密切相关。PCOS是影响育龄女性最常见的内分泌疾病,会导致代谢功能障碍和身体成分改变。唾液淀粉酶和皮质醇是与PCOS相关的主要应激介质。然而,它们在PCOS患者身体成分改变中的作用尚待阐明。

目的

本研究旨在了解PCOS患者应激相关因素与身体成分改变之间的关系。

设计

本研究共纳入100例患者(PCOS)和60例年龄匹配的对照。女性患者年龄在13至30岁之间。

材料与方法

使用标准检测试剂盒评估唾液中α-淀粉酶活性和皮质醇水平。根据鹿特丹美国生殖医学学会/欧洲人类生殖与胚胎学会标准选择参与者。按照美国Salimetrics公司的方案从每位参与者收集唾液。

统计分析

使用Windows版SPSS 20进行统计分析。定量变量以均值±标准差描述。P < 0.05被认为具有统计学意义。

结果

与年龄匹配的对照相比,PCOS患者唾液皮质醇水平和α-淀粉酶活性升高,提示患者体内存在持续的应激状态。此外,超重的PCOS参与者的淀粉酶活性高于体型瘦的患者参与者。与对照组相比,PCOS患者的脉搏率、体重指数(BMI)、内脏脂肪含量和腰臀比(WHR)显著更高。在PCOS患者中,α-淀粉酶活性分别与BMI或WHR之间存在显著相关性。这些观察结果表明应激标志物与PCOS患者身体成分参数改变之间存在密切联系。

结论

PCOS患者中较高的应激发生率在其身体成分改变中起关键作用。

https://cdn.ncbi.nlm.nih.gov/pmc/blobs/6f38/5892097/fe8ea3e2ff05/JHRS-11-10-g003.jpg

文献AI研究员

20分钟写一篇综述,助力文献阅读效率提升50倍。

立即体验

用中文搜PubMed

大模型驱动的PubMed中文搜索引擎

马上搜索

文档翻译

学术文献翻译模型,支持多种主流文档格式。

立即体验