Suppr超能文献

基于束路径空间统计学和概率束追踪技术测量抽动秽语综合征患儿和青少年脑白质微结构的改变。

Alterations in the microstructure of white matter in children and adolescents with Tourette syndrome measured using tract-based spatial statistics and probabilistic tractography.

机构信息

School of Psychology, University of Nottingham, UK.

Institute of Mental Health, School of Medicine, University of Nottingham, UK.

出版信息

Cortex. 2018 Jul;104:75-89. doi: 10.1016/j.cortex.2018.04.004. Epub 2018 Apr 12.

Abstract

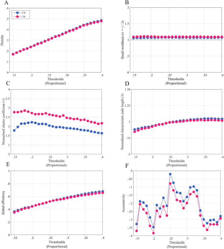
Tourette syndrome (TS) is a neurodevelopmental disorder characterised by repetitive and intermittent motor and vocal tics. TS is thought to reflect fronto-striatal dysfunction and the aetiology of the disorder has been linked to widespread alterations in the functional and structural integrity of the brain. The aim of this study was to assess white matter (WM) abnormalities in a large sample of young patients with TS in comparison to a sample of matched typically developing control individuals (CS) using diffusion MRI. The study included 35 patients with TS (3 females; mean age: 14.0 ± 3.3) and 35 CS (3 females; mean age: 13.9 ± 3.3). Diffusion MRI data was analysed using tract-based spatial statistics (TBSS) and probabilistic tractography. Patients with TS demonstrated both marked and widespread decreases in axial diffusivity (AD) together with altered WM connectivity. Moreover, we showed that tic severity and the frequency of premonitory urges (PU) were associated with increased connectivity between primary motor cortex (M1) and the caudate nuclei, and increased information transfer between M1 and the insula, respectively. This is to our knowledge the first study to employ both TBSS and probabilistic tractography in a sample of young patients with TS. Our results contribute to the limited existing literature demonstrating altered connectivity in TS and confirm previous results suggesting in particular, that altered insular function contributes to increased frequency of PU.

摘要

妥瑞氏症候群(TS)是一种神经发育障碍,其特征为重复且间歇性的运动和发声抽搐。TS 被认为反映了额纹状体功能障碍,并且该障碍的病因与大脑功能和结构完整性的广泛改变有关。本研究的目的是使用弥散 MRI 评估大量年轻 TS 患者与匹配的典型发育对照个体(CS)相比的白质(WM)异常。该研究包括 35 名 TS 患者(3 名女性;平均年龄:14.0±3.3)和 35 名 CS(3 名女性;平均年龄:13.9±3.3)。使用基于束的空间统计学(TBSS)和概率追踪分析来分析弥散 MRI 数据。TS 患者表现出明显的和广泛的轴突弥散率(AD)降低以及 WM 连接改变。此外,我们表明,抽搐严重程度和预感冲动(PU)的频率与初级运动皮层(M1)和尾状核之间的连接增加以及 M1 和岛叶之间的信息传递增加分别相关。据我们所知,这是首次在年轻 TS 患者样本中同时使用 TBSS 和概率追踪分析的研究。我们的结果有助于有限的现有文献证明 TS 中存在连接改变,并证实了先前的结果,即岛叶功能改变导致 PU 频率增加。

https://cdn.ncbi.nlm.nih.gov/pmc/blobs/93b2/6020130/c4f3ca4272dc/gr1.jpg

文献AI研究员

20分钟写一篇综述,助力文献阅读效率提升50倍。

立即体验

用中文搜PubMed

大模型驱动的PubMed中文搜索引擎

马上搜索

文档翻译

学术文献翻译模型,支持多种主流文档格式。

立即体验