Suppr超能文献

预测恶性卵巢上皮性肿瘤患者伴有 CA-125 标志物转移的方程。

Predictive equation of metastasis in patients with malignant ovarian epithelial tumors with the Ca-125 marker.

机构信息

Rural Doctor Ministry of Public Health of Ecuador, Zone 6, Cuenca, Ecuador.

Department of Pathology of the Institute for the Fight against Cancer Society -SOLCA-Cuenca, Cuenca, Ecuador.

出版信息

BMC Cancer. 2018 May 24;18(1):587. doi: 10.1186/s12885-018-4499-y.

Abstract

BACKGROUND

Cancer antigen (CA) 125 (CA-125) is used in ovarian cancer detection and monitoring, whose serum level has a positive correlation with tumor stage. The aim of this study was to obtain a prediction metastasis equation in a group of patients with ovarian cancer based on Ca-125.

METHODS

A 2-group comparative observational study was conducted at a single oncologic institution (SOLCA) in Cuenca-Ecuador. All patients who were diagnosed with ovarian cancer between January 1996 and December 2016 were included in the current study. Group 1 (G1) patients with the I and II International Federation of Gynecology and Obstetrics (FIGO) stage and Metastasis Group (MG), with III and IV stage, were subdivided. A logistic regression equation was performed to predict metastasis based on Logarithm of serum Ca-125 levels.

RESULTS

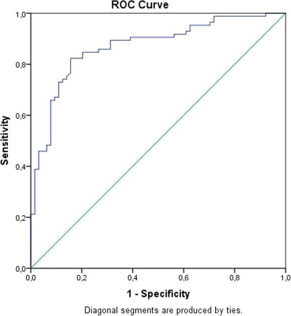
We included 85 cases in G1 and 64 patients in MG, with 47.8 ± 15 years (G1) and 57.5 ± 13.6 years (MG) of age (P < 0.001). Mortality in G1 was 2 cases (3.1%) and 53 cases (62.4%) in MG (P < 0.001). The CA-125 serum level was 163.5 ± 236 in G1 and 1220.9 ± 1940 u / ml in MG (P < 0.001). The equation to predict metastasis = (Age*0.053) + [(Logarithm Ca-125 value) * 1.078] - 8.163 with an OR 2.940 (CI 95% 2.046-4.223) P < 0.001. The sensitivity of the equation was 82.4% and the specificity was 79.7%.

CONCLUSIONS

It is possible to predict the presence of metastasis in a group of patients with ovarian cancer based on Ca-125.

摘要

背景

癌抗原(CA)125(CA-125)用于卵巢癌的检测和监测,其血清水平与肿瘤分期呈正相关。本研究的目的是基于 CA-125 为一组卵巢癌患者获得预测转移方程。

方法

在厄瓜多尔昆卡的一家单一肿瘤机构(SOLCA)进行了 2 组比较观察性研究。本研究纳入了 1996 年 1 月至 2016 年 12 月期间被诊断为卵巢癌的所有患者。根据国际妇产科联合会(FIGO)分期,将第 1 组(G1)患者分为 I 期和 II 期和转移组(MG),III 期和 IV 期。基于血清 CA-125 水平的对数,进行逻辑回归方程以预测转移。

结果

G1 组纳入 85 例,MG 组纳入 64 例,年龄分别为 47.8±15 岁(G1)和 57.5±13.6 岁(MG)(P<0.001)。G1 组死亡率为 2 例(3.1%),MG 组死亡率为 53 例(62.4%)(P<0.001)。G1 组血清 CA-125 水平为 163.5±236u/ml,MG 组为 1220.9±1940u/ml(P<0.001)。预测转移的方程为 =(年龄*0.053)+[(CA-125 值的对数)*1.078]-8.163,OR 为 2.940(95%CI 95%,2.046-4.223)P<0.001。该方程的敏感性为 82.4%,特异性为 79.7%。

结论

根据 CA-125,有可能预测一组卵巢癌患者是否存在转移。

https://cdn.ncbi.nlm.nih.gov/pmc/blobs/785e/5968491/839064173a9b/12885_2018_4499_Fig1_HTML.jpg

文献检索

告别复杂PubMed语法,用中文像聊天一样搜索,搜遍4000万医学文献。AI智能推荐,让科研检索更轻松。

立即免费搜索

文件翻译

保留排版,准确专业,支持PDF/Word/PPT等文件格式,支持 12+语言互译。

免费翻译文档

深度研究

AI帮你快速写综述,25分钟生成高质量综述,智能提取关键信息,辅助科研写作。

立即免费体验