Duong-Quy Sy, Tran Van Huong, Vo Thi Kim Anh, Pham Huy Quyen, Craig Timothy J
Bio-Medical Research Center, Lam Dong Medical College, Dalat, Vietnam.
Division of Pulmonary, Allergy and Critical Care Medicine, Penn State College of Medicine, Hershey, PA, USA.
Can Respir J. 2018 Apr 1;2018:1732946. doi: 10.1155/2018/1732946. eCollection 2018.
Subjects with asthma-chronic obstructive pulmonary disease (COPD) overlap (ACO) share common features of patients with asthma and COPD. Our study was planned to describe the clinical and functional features of subjects with ACO compared to asthma and COPD patients.
Study subjects who met the inclusion criteria were classified into three different groups: asthma, COPD, and ACO groups. All study subjects underwent clinical examination and biological and functional testing. They were then followed for 6 months to evaluate the response to conventional treatment.
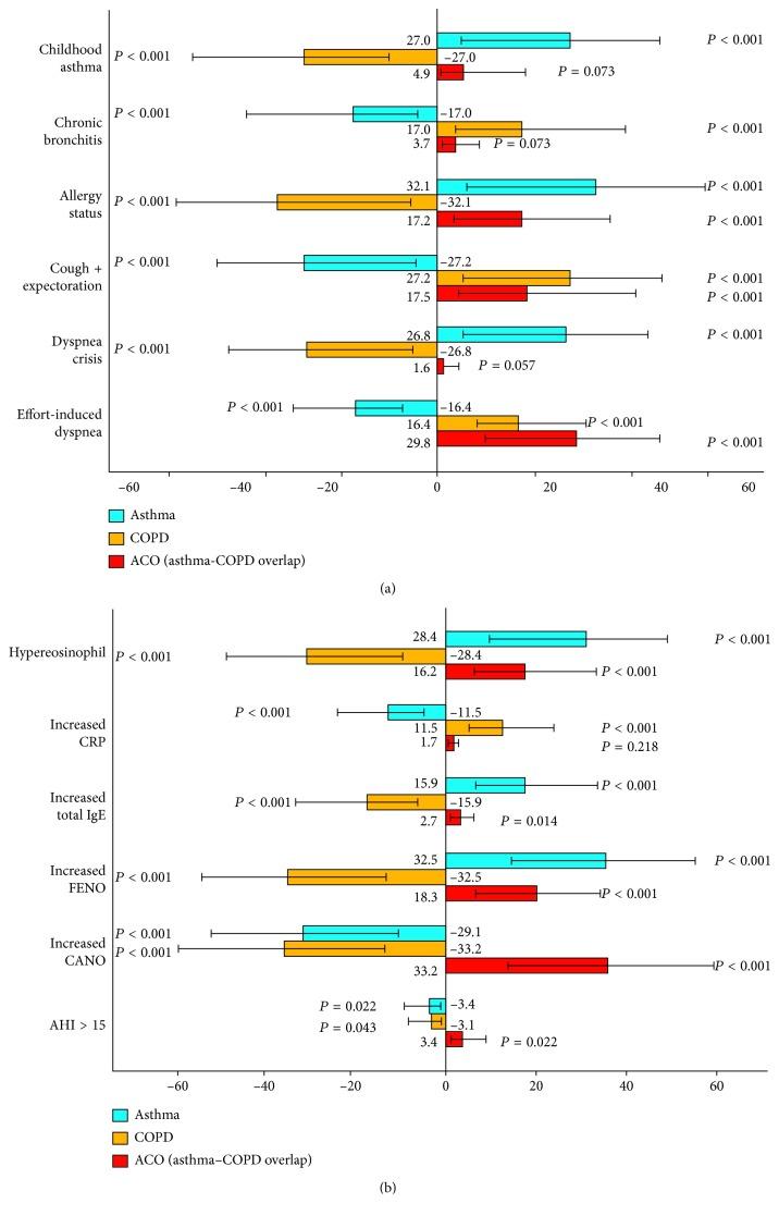
From March 2015 to March 2017, 76 asthmatic (mean age: 41 ± 22 years), 74 COPD (59 ± 13 years), and 59 ACO (52 ± 14 years) subjects were included. The percentage of subjects with dyspnea on excretion in the ACO group was higher than that in asthma and COPD groups ( < 0.001 and < 0.05, resp.). Subjects with COPD and ACO had significant airflow limitation (FEV) compared to asthma (64 ± 17% and 54 ± 14% versus 80 ± 22%; < 0.01 and < 0.01, resp.). The levels of FENO in subjects with asthma and ACO were significantly higher than those in subjects with COPD (46 ± 28 ppb and 34 ± 12 ppb versus 15 ± 8 ppb; < 0.001 and < 0.001, resp.). VO max and 6MWD were improved in study subjects after 6 months of treatment. Increased CANO and AHI > 15/hour had a significant probability of risk for ACO (OR = 33.2, < 0.001, and OR = 3.4, < 0.05, resp.).
Subjects with ACO share the common clinical and functional characteristics of asthma and COPD but are more likely to have sleep apnea. The majority of patients with ACO have a favourable response to combined treatment.
患有哮喘-慢性阻塞性肺疾病(COPD)重叠综合征(ACO)的患者兼具哮喘和COPD患者的共同特征。我们的研究旨在描述ACO患者相较于哮喘和COPD患者的临床及功能特征。
符合纳入标准的研究对象被分为三组:哮喘组、COPD组和ACO组。所有研究对象均接受了临床检查以及生物学和功能测试。随后对他们进行了6个月的随访,以评估对常规治疗的反应。
2015年3月至2017年3月,共纳入76例哮喘患者(平均年龄:41±22岁)、74例COPD患者(59±13岁)和59例ACO患者(52±14岁)。ACO组中出现运动性呼吸困难的患者比例高于哮喘组和COPD组(分别为P<0.001和P<0.05)。与哮喘患者相比,COPD和ACO患者存在显著的气流受限(FEV)(分别为64±17%和54±14%,而哮喘患者为80±22%;P<0.01和P<0.01)。哮喘和ACO患者的呼出一氧化氮(FENO)水平显著高于COPD患者(分别为46±28 ppb和34±12 ppb,而COPD患者为15±8 ppb;P<0.001和P<0.001)。治疗6个月后,研究对象的最大摄氧量(VO max)和6分钟步行距离(6MWD)有所改善。呼出一氧化氮增加和睡眠呼吸暂停低通气指数(AHI)>15次/小时有显著的ACO发病风险概率(OR分别为33.2,P<0.001,以及OR为3.4,P<0.05)。
ACO患者兼具哮喘和COPD的共同临床及功能特征,但更易出现睡眠呼吸暂停。大多数ACO患者对联合治疗反应良好。