Suppr超能文献

三lncRNA特征是胰腺腺癌潜在的预后生物标志物。

Three-lncRNA signature is a potential prognostic biomarker for pancreatic adenocarcinoma.

作者信息

Shi Xiuhui, Zhao Yan, He Ruizhi, Zhou Min, Pan Shutao, Yu Shuo, Xie Yu, Li Xu, Wang Min, Guo Xingjun, Qin Renyi

机构信息

Department of Biliary-Pancreatic Surgery, Affiliated Tongji Hospital, Tongji Medical College, Huazhong University of Science and Technology, Wuhan, China.

出版信息

Oncotarget. 2018 Feb 8;9(36):24248-24259. doi: 10.18632/oncotarget.24443. eCollection 2018 May 11.

Abstract

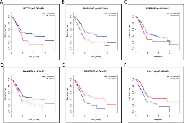
Pancreatic adenocarcinoma (PAAD) is a highly aggressive and metastatic cancer characterized by poor survival rates. Long non-coding RNAs (lncRNAs) play important roles in various biological processes, including cancer and PAAD. To identify the specific lncRNAs associated with PAAD and analyze their function, we constructed a global triple network based on the competitive endogenous RNA (ceRNA) theory and RNA-seq data from The Cancer Genome Atlas. Using 182 PAAD cases, we established a lncRNA-miRNA-mRNA co-expression network, which was composed of 43 lncRNA nodes, 253 mRNA nodes, 11 miRNA nodes, and 475 edges. Six lncRNAs in the ceRNA network were closely related to overall survival, and a three-lncRNA signature predicted survival of PAAD patients. Protein-protein interaction network data revealed that five genes were associated with overall survival. These results provide novel insight into the function of a lncRNA-associated ceRNA network in the pathogenesis of PAAD, and indicate that the identified three-lncRNA signature may serve as an independent prognostic marker in PAAD.

摘要

胰腺腺癌(PAAD)是一种侵袭性和转移性很强的癌症,其生存率很低。长链非编码RNA(lncRNA)在包括癌症和PAAD在内的各种生物学过程中发挥重要作用。为了鉴定与PAAD相关的特定lncRNA并分析其功能,我们基于竞争性内源RNA(ceRNA)理论和来自癌症基因组图谱的RNA测序数据构建了一个全局三重网络。利用182例PAAD病例,我们建立了一个lncRNA- miRNA- mRNA共表达网络,该网络由43个lncRNA节点、253个mRNA节点、11个miRNA节点和475条边组成。ceRNA网络中的6个lncRNA与总生存期密切相关,一个由三个lncRNA组成的特征可预测PAAD患者的生存期。蛋白质-蛋白质相互作用网络数据显示,有5个基因与总生存期相关。这些结果为lncRNA相关ceRNA网络在PAAD发病机制中的功能提供了新的见解,并表明所鉴定的由三个lncRNA组成的特征可能作为PAAD的一个独立预后标志物。

https://cdn.ncbi.nlm.nih.gov/pmc/blobs/7579/5966255/b3023529e971/oncotarget-09-24248-g001.jpg

文献检索

告别复杂PubMed语法,用中文像聊天一样搜索,搜遍4000万医学文献。AI智能推荐,让科研检索更轻松。

立即免费搜索

文件翻译

保留排版,准确专业,支持PDF/Word/PPT等文件格式,支持 12+语言互译。

免费翻译文档

深度研究

AI帮你快速写综述,25分钟生成高质量综述,智能提取关键信息,辅助科研写作。

立即免费体验