Suppr超能文献

基于离子液体的分散液液微萃取结合高效液相色谱法检测小麦中的有机磷农药

Detection of Organophosphorus Pesticides in Wheat by Ionic Liquid-Based Dispersive Liquid-Liquid Microextraction Combined with HPLC.

作者信息

Liu Wei, Quan Ji, Hu Zeshu

机构信息

School of Resources and Environmental Engineering, Wuhan University of Technology, No. 122 Luoshi Road, Wuhan 430070, China.

School of Management, Wuhan University of Technology, No. 122 Luoshi Road, Wuhan 430070, China.

出版信息

J Anal Methods Chem. 2018 May 2;2018:8916393. doi: 10.1155/2018/8916393. eCollection 2018.

Abstract

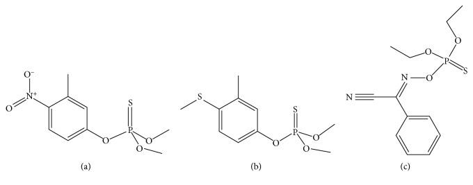
Food safety issues closely related to human health have always received widespread attention from the world society. As a basic food source, wheat is the fundamental support of human survival; therefore, the detection of pesticide residues in wheat is very necessary. In this work, the ultrasonic-assisted ionic liquid-dispersive liquid-liquid microextraction (DLLME) method was firstly proposed, and the extraction and analysis of three organophosphorus pesticides were carried out by combining high-performance liquid chromatography (HPLC). The extraction efficiencies of three ionic liquids with bis(trifluoromethylsulfonyl)imide (TfN) anion were compared by extracting organophosphorus in wheat samples. It was found that the use of 1-octyl-3-methylimidazolium bis(trifluoromethylsulfonyl)imide ([OMIM][TfN]) had both high enrichment efficiency and appropriate extraction recovery. Finally, the method was used for the determination of three wheat samples, and the recoveries of them were 74.8-112.5%, 71.8-104.5%, and 83.8-115.5%, respectively. The results show that the method proposed is simple, fast, and efficient, which can be applied to the extraction of organic matters in wheat samples.

摘要

与人类健康密切相关的食品安全问题一直受到国际社会的广泛关注。小麦作为一种基本的食物来源,是人类生存的根本保障;因此,检测小麦中的农药残留非常必要。在本研究中,首次提出了超声辅助离子液体分散液液微萃取(DLLME)方法,并结合高效液相色谱(HPLC)对三种有机磷农药进行了萃取和分析。通过萃取小麦样品中的有机磷,比较了三种含双(三氟甲基磺酰)亚胺(TfN)阴离子的离子液体的萃取效率。结果发现,使用1-辛基-3-甲基咪唑双(三氟甲基磺酰)亚胺([OMIM][TfN])具有较高的富集效率和合适的萃取回收率。最后,该方法用于测定三个小麦样品,其回收率分别为74.8-112.5%、71.8-104.5%和83.8-115.5%。结果表明,所提出的方法简单、快速、高效,可应用于小麦样品中有机物的萃取。

https://cdn.ncbi.nlm.nih.gov/pmc/blobs/99a9/5954885/ab8134fdfba5/JAMC2018-8916393.001.jpg

文献检索

告别复杂PubMed语法,用中文像聊天一样搜索,搜遍4000万医学文献。AI智能推荐,让科研检索更轻松。

立即免费搜索

文件翻译

保留排版,准确专业,支持PDF/Word/PPT等文件格式,支持 12+语言互译。

免费翻译文档

深度研究

AI帮你快速写综述,25分钟生成高质量综述,智能提取关键信息,辅助科研写作。

立即免费体验