• 文献检索
  • 文档翻译
  • 深度研究
  • 学术资讯
  • Suppr Zotero 插件Zotero 插件
  • 邀请有礼
  • 套餐&价格
  • 历史记录
应用&插件
Suppr Zotero 插件Zotero 插件浏览器插件Mac 客户端Windows 客户端微信小程序
定价
高级版会员购买积分包购买API积分包
服务
文献检索文档翻译深度研究API 文档MCP 服务
关于我们
关于 Suppr公司介绍联系我们用户协议隐私条款
关注我们

Suppr 超能文献

核心技术专利:CN118964589B侵权必究
粤ICP备2023148730 号-1Suppr @ 2026

文献检索

告别复杂PubMed语法,用中文像聊天一样搜索,搜遍4000万医学文献。AI智能推荐,让科研检索更轻松。

立即免费搜索

文件翻译

保留排版,准确专业,支持PDF/Word/PPT等文件格式,支持 12+语言互译。

免费翻译文档

深度研究

AI帮你快速写综述,25分钟生成高质量综述,智能提取关键信息,辅助科研写作。

立即免费体验

基于噻唑的钴配合物作为新型群体感应淬灭剂、生物膜抑制剂和毒力减弱剂。

Cobalt Complex with Thiazole-Based Ligand as New Quorum Quencher, Biofilm Inhibitor and Virulence Attenuator.

机构信息

LEPABE, Department of Chemical Engineering, Faculty of Engineering, University of Porto, Rua Dr. Roberto Frias, s/n, Porto 4200-465, Portugal.

Faculty of Chemistry, University of Belgrade, Studentski trg 12⁻16, Belgrade 11000, Serbia.

出版信息

Molecules. 2018 Jun 8;23(6):1385. doi: 10.3390/molecules23061385.

DOI:10.3390/molecules23061385
PMID:29890626
原文链接:https://pmc.ncbi.nlm.nih.gov/articles/PMC6099793/
Abstract

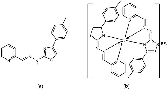
is one of the most dreaded human pathogens, because of its intrinsic resistance to a number of commonly used antibiotics and ability to form sessile communities (biofilms). Innovative treatment strategies are required and that can rely on the attenuation of the pathogenicity and virulence traits. The interruption of the mechanisms of intercellular communication in bacteria (quorum sensing) is one of such promising strategies. A cobalt coordination compound (Co()₂) synthesized from ()-2-(2-(pyridin-2-ylmethylene)hydrazinyl)-4-(p-tolyl)thiazole () is reported herein for the first time to inhibit 3-oxo-C12-HSL-dependent QS system (LasI/LasR system) and underling phenotypes (biofilm formation and virulence factors). Its interactions with a possible target, the transcriptional activator protein complex LasR-3-oxo-C12-HSL, was studied by molecular modeling with the coordination compound ligand having stronger predicted interactions than those of co-crystallized ligand 3-oxo-C12-HSL, as well as known-binder furvina. Transition metal group 9 coordination compounds may be explored in antipathogenic/antibacterial drug design.

摘要

铜绿假单胞菌是最可怕的人类病原体之一,因为它对许多常用抗生素具有固有耐药性,并且能够形成静止的群落(生物膜)。需要创新的治疗策略,这些策略可以依赖于降低致病性和毒力特征。中断细菌(群体感应)细胞间通讯的机制是一种很有前途的策略。本文首次报道了一种由()-2-(2-(吡啶-2-亚甲基)肼基)-4-(对甲苯基)噻唑()合成的钴配合物(Co()₂),用于抑制 3-氧代-C12-HSL 依赖性 QS 系统(LasI/LasR 系统)和潜在表型(生物膜形成和毒力因子)。通过分子建模研究了其与可能的靶标,即转录激活蛋白复合物 LasR-3-氧代-C12-HSL 的相互作用,预测配合物配体的相互作用比共结晶配体 3-氧代-C12-HSL 以及已知结合物 furvina 更强。过渡金属第 9 族配合物可用于抗病原体/抗菌药物设计。

https://cdn.ncbi.nlm.nih.gov/pmc/blobs/0242/6099793/b0b08cd5364e/molecules-23-01385-g007.jpg
https://cdn.ncbi.nlm.nih.gov/pmc/blobs/0242/6099793/8cd5929a846c/molecules-23-01385-sch001.jpg
https://cdn.ncbi.nlm.nih.gov/pmc/blobs/0242/6099793/e4997940bfc7/molecules-23-01385-g001.jpg
https://cdn.ncbi.nlm.nih.gov/pmc/blobs/0242/6099793/f6de273cd9bc/molecules-23-01385-g002.jpg
https://cdn.ncbi.nlm.nih.gov/pmc/blobs/0242/6099793/25b49e7de15a/molecules-23-01385-g003.jpg
https://cdn.ncbi.nlm.nih.gov/pmc/blobs/0242/6099793/36085040135b/molecules-23-01385-g004.jpg
https://cdn.ncbi.nlm.nih.gov/pmc/blobs/0242/6099793/88e610b652ce/molecules-23-01385-g005.jpg
https://cdn.ncbi.nlm.nih.gov/pmc/blobs/0242/6099793/a3e6c7459e5f/molecules-23-01385-g006.jpg
https://cdn.ncbi.nlm.nih.gov/pmc/blobs/0242/6099793/b0b08cd5364e/molecules-23-01385-g007.jpg
https://cdn.ncbi.nlm.nih.gov/pmc/blobs/0242/6099793/8cd5929a846c/molecules-23-01385-sch001.jpg
https://cdn.ncbi.nlm.nih.gov/pmc/blobs/0242/6099793/e4997940bfc7/molecules-23-01385-g001.jpg
https://cdn.ncbi.nlm.nih.gov/pmc/blobs/0242/6099793/f6de273cd9bc/molecules-23-01385-g002.jpg
https://cdn.ncbi.nlm.nih.gov/pmc/blobs/0242/6099793/25b49e7de15a/molecules-23-01385-g003.jpg
https://cdn.ncbi.nlm.nih.gov/pmc/blobs/0242/6099793/36085040135b/molecules-23-01385-g004.jpg
https://cdn.ncbi.nlm.nih.gov/pmc/blobs/0242/6099793/88e610b652ce/molecules-23-01385-g005.jpg
https://cdn.ncbi.nlm.nih.gov/pmc/blobs/0242/6099793/a3e6c7459e5f/molecules-23-01385-g006.jpg
https://cdn.ncbi.nlm.nih.gov/pmc/blobs/0242/6099793/b0b08cd5364e/molecules-23-01385-g007.jpg

相似文献

1
Cobalt Complex with Thiazole-Based Ligand as New Quorum Quencher, Biofilm Inhibitor and Virulence Attenuator.基于噻唑的钴配合物作为新型群体感应淬灭剂、生物膜抑制剂和毒力减弱剂。
Molecules. 2018 Jun 8;23(6):1385. doi: 10.3390/molecules23061385.
2
Furvina inhibits the 3-oxo-C12-HSL-based quorum sensing system of Pseudomonas aeruginosa and QS-dependent phenotypes.弗维纳抑制铜绿假单胞菌基于3-氧代-C12-高丝氨酸内酯的群体感应系统及群体感应依赖性表型。
Biofouling. 2017 Feb;33(2):156-168. doi: 10.1080/08927014.2017.1280732. Epub 2017 Jan 31.
3
Baicalin inhibits biofilm formation, attenuates the quorum sensing-controlled virulence and enhances Pseudomonas aeruginosa clearance in a mouse peritoneal implant infection model.黄芩苷在小鼠腹腔植入感染模型中抑制生物膜形成,减弱群体感应控制的毒力并增强铜绿假单胞菌清除能力。
PLoS One. 2017 Apr 28;12(4):e0176883. doi: 10.1371/journal.pone.0176883. eCollection 2017.
4
Inhibition of biofilm formation, quorum sensing activity and molecular docking study of isolated 3, 5, 7-Trihydroxyflavone from Alstonia scholaris leaf against P.aeruginosa.从裂果金花叶子中分离得到的 3,5,7-三羟基黄酮对铜绿假单胞菌的生物膜形成抑制、群体感应活性及分子对接研究。
Bioorg Chem. 2019 Jun;87:291-301. doi: 10.1016/j.bioorg.2019.03.050. Epub 2019 Mar 18.
5
Sodium ascorbate as a quorum sensing inhibitor of Pseudomonas aeruginosa.抗坏血酸钠作为铜绿假单胞菌群体感应抑制剂
J Appl Microbiol. 2014 Nov;117(5):1388-99. doi: 10.1111/jam.12631. Epub 2014 Oct 3.
6
Harmine acts as a quorum sensing inhibitor decreasing the virulence and antibiotic resistance of Pseudomonas aeruginosa.哈尔明作为一种群体感应抑制剂,可降低铜绿假单胞菌的毒力和抗生素耐药性。
BMC Infect Dis. 2024 Jul 31;24(1):760. doi: 10.1186/s12879-024-09639-9.
7
Attenuation of quorum sensing controlled virulence factors and biofilm formation in Pseudomonas aeruginosa by pentacyclic triterpenes, betulin and betulinic acid.五环三萜类化合物、白桦脂醇和白桦脂酸对铜绿假单胞菌群体感应控制的毒力因子和生物膜形成的抑制作用。
Microb Pathog. 2018 May;118:48-60. doi: 10.1016/j.micpath.2018.03.012. Epub 2018 Mar 8.
8
Mosloflavone attenuates the quorum sensing controlled virulence phenotypes and biofilm formation in Pseudomonas aeruginosa PAO1: In vitro, in vivo and in silico approach.莫斯巴黄酮可减弱铜绿假单胞菌 PAO1 群体感应控制的毒力表型和生物膜形成:体外、体内和计算方法。
Microb Pathog. 2019 Jun;131:128-134. doi: 10.1016/j.micpath.2019.04.005. Epub 2019 Apr 5.
9
Attenuation of quorum sensing regulated virulence and biofilm development in Pseudomonas aeruginosa PAO1 by Diaporthe phaseolorum SSP12.尖孢镰刀菌 SSP12 对铜绿假单胞菌 PAO1 群体感应调控毒力和生物膜形成的抑制作用。
Microb Pathog. 2018 May;118:177-189. doi: 10.1016/j.micpath.2018.03.031. Epub 2018 Mar 20.
10
Inhibition of Microbial Quorum Sensing Mediated Virulence Factors by .通过. 抑制微生物群体感应介导的毒力因子。
J Microbiol Biotechnol. 2020 Apr 28;30(4):571-582. doi: 10.4014/jmb.1907.07030.

引用本文的文献

1
Molecular simulation-based investigation of thiazole derivatives as potential LasR inhibitors of Pseudomonas aeruginosa.基于分子模拟对噻唑衍生物作为铜绿假单胞菌潜在LasR抑制剂的研究。
PLoS One. 2025 Apr 22;20(4):e0320841. doi: 10.1371/journal.pone.0320841. eCollection 2025.
2
Innovative application of ceftriaxone as a quorum sensing inhibitor in Pseudomonas aeruginosa.头孢曲松作为群体感应抑制剂在铜绿假单胞菌中的创新应用。
Sci Rep. 2025 Feb 11;15(1):5022. doi: 10.1038/s41598-025-87609-0.
3
It is the time for quorum sensing inhibition as alternative strategy of antimicrobial therapy.

本文引用的文献

1
Prevention, removal and inactivation of Escherichia coli and Staphylococcus aureus biofilms using selected monoterpenes of essential oils.使用精油中选定的单萜预防、去除和灭活大肠杆菌和金黄色葡萄球菌生物膜。
J Appl Microbiol. 2017 Jul;123(1):104-115. doi: 10.1111/jam.13490.
2
Co(iii) complexes of (1,3-selenazol-2-yl)hydrazones and their sulphur analogues.(1,3-硒唑-2-基)腙及其硫类似物的钴(III)配合物
Dalton Trans. 2017 Feb 28;46(9):2910-2924. doi: 10.1039/c6dt04785h.
3
New Perspectives on the Use of Phytochemicals as an Emergent Strategy to Control Bacterial Infections Including Biofilms.
现在是采用群体感应抑制作为抗菌治疗的替代策略的时候了。
Cell Commun Signal. 2023 Jun 14;21(1):133. doi: 10.1186/s12964-023-01154-9.
4
Metal Complexes-A Promising Approach to Target Biofilm Associated Infections.金属配合物——靶向生物膜相关感染的一种有前途的方法。
Molecules. 2022 Jan 24;27(3):758. doi: 10.3390/molecules27030758.
5
Quorum Sensing Inhibiting Activity of Cefoperazone and Its Metallic Derivatives on .头孢哌酮及其金属衍生物对. 的群体感应抑制活性
Front Cell Infect Microbiol. 2021 Sep 30;11:716789. doi: 10.3389/fcimb.2021.716789. eCollection 2021.
6
Growing emergence of drug-resistant and attenuation of its virulence using quorum sensing inhibitors: A critical review.利用群体感应抑制剂对抗生素耐药性的不断出现及其毒力减弱的研究:综述
Iran J Basic Med Sci. 2021 Jun;24(6):699-719. doi: 10.22038/IJBMS.2021.49151.11254.
7
Quantitative mapping of mRNA 3' ends in Pseudomonas aeruginosa reveals a pervasive role for premature 3' end formation in response to azithromycin.定量绘制铜绿假单胞菌 mRNA 3' 端图谱揭示了过早的 3' 端形成在对抗生素阿奇霉素的反应中普遍存在的作用。
PLoS Genet. 2021 Jul 12;17(7):e1009634. doi: 10.1371/journal.pgen.1009634. eCollection 2021 Jul.
8
Posttranslational chemical installation of azoles into translated peptides.将唑类化合物进行翻译后化学安装到翻译后的肽中。
Nat Commun. 2021 Jan 29;12(1):696. doi: 10.1038/s41467-021-20992-0.
植物化学物质作为控制包括生物膜在内的细菌感染的新兴策略的新视角。
Molecules. 2016 Jul 5;21(7):877. doi: 10.3390/molecules21070877.
4
Arginase Flavonoid Anti-Leishmanial in Silico Inhibitors Flagged against Anti-Targets.精氨酸酶类黄酮抗利什曼原虫的计算机模拟抑制剂与抗靶点的标记情况
Molecules. 2016 May 5;21(5):589. doi: 10.3390/molecules21050589.
5
Identification of an iridium(III) complex with anti-bacterial and anti-cancer activity.一种具有抗菌和抗癌活性的铱(III)配合物的鉴定。
Sci Rep. 2015 Sep 29;5:14544. doi: 10.1038/srep14544.
6
Complete genome sequence of Rhodococcus erythropolis BG43 (DSM 46869), a degrader of Pseudomonas aeruginosa quorum sensing signal molecules.红球菌 BG43(DSM 46869)的全基因组序列,该菌能够降解铜绿假单胞菌群体感应信号分子。
J Biotechnol. 2015 Oct 10;211:99-100. doi: 10.1016/j.jbiotec.2015.07.014. Epub 2015 Jul 22.
7
Insights on antimicrobial resistance, biofilms and the use of phytochemicals as new antimicrobial agents.关于抗菌素耐药性、生物膜以及植物化学物质作为新型抗菌剂的应用的见解。
Curr Med Chem. 2015;22(21):2590-614. doi: 10.2174/0929867322666150530210522.
8
Recent applications of 1,3-thiazole core structure in the identification of new lead compounds and drug discovery.1,3-噻唑核心结构在新型先导化合物鉴定和药物发现中的最新应用。
Eur J Med Chem. 2015 Jun 5;97:699-718. doi: 10.1016/j.ejmech.2015.04.015. Epub 2015 Apr 13.
9
Exploring the chemical space of ureidothiophene-2-carboxylic acids as inhibitors of the quorum sensing enzyme PqsD from Pseudomonas aeruginosa.探索脲基噻吩-2-羧酸作为铜绿假单胞菌群体感应酶PqsD抑制剂的化学空间。
Eur J Med Chem. 2015;96:14-21. doi: 10.1016/j.ejmech.2015.04.007. Epub 2015 Apr 6.
10
Triazole-containing N-acyl homoserine lactones targeting the quorum sensing system in Pseudomonas aeruginosa.靶向铜绿假单胞菌群体感应系统的含三唑N-酰基高丝氨酸内酯
Bioorg Med Chem. 2015 Apr 1;23(7):1638-50. doi: 10.1016/j.bmc.2015.01.038. Epub 2015 Jan 31.