Suppr超能文献

蒿甲醚-本芴醇治疗小儿和孕妇疟疾的剂量:一项药代动力学-药效学的荟萃分析。

Artemether-lumefantrine dosing for malaria treatment in young children and pregnant women: A pharmacokinetic-pharmacodynamic meta-analysis.

机构信息

WorldWide Antimalarial Resistance Network, Bangkok, Thailand.

Centre for Tropical Medicine and Global Health, University of Oxford, Oxford, United Kingdom.

出版信息

PLoS Med. 2018 Jun 12;15(6):e1002579. doi: 10.1371/journal.pmed.1002579. eCollection 2018 Jun.

Abstract

BACKGROUND

The fixed dose combination of artemether-lumefantrine (AL) is the most widely used treatment for uncomplicated Plasmodium falciparum malaria. Relatively lower cure rates and lumefantrine levels have been reported in young children and in pregnant women during their second and third trimester. The aim of this study was to investigate the pharmacokinetic and pharmacodynamic properties of lumefantrine and the pharmacokinetic properties of its metabolite, desbutyl-lumefantrine, in order to inform optimal dosing regimens in all patient populations.

METHODS AND FINDINGS

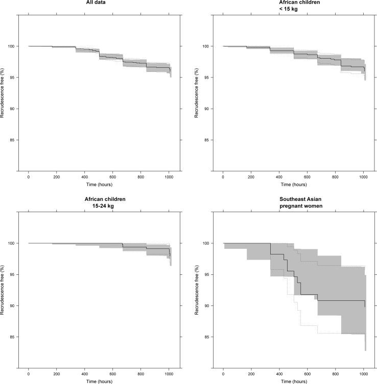
A search in PubMed, Embase, ClinicalTrials.gov, Google Scholar, conference proceedings, and the WorldWide Antimalarial Resistance Network (WWARN) pharmacology database identified 31 relevant clinical studies published between 1 January 1990 and 31 December 2012, with 4,546 patients in whom lumefantrine concentrations were measured. Under the auspices of WWARN, relevant individual concentration-time data, clinical covariates, and outcome data from 4,122 patients were made available and pooled for the meta-analysis. The developed lumefantrine population pharmacokinetic model was used for dose optimisation through in silico simulations. Venous plasma lumefantrine concentrations 7 days after starting standard AL treatment were 24.2% and 13.4% lower in children weighing <15 kg and 15-25 kg, respectively, and 20.2% lower in pregnant women compared with non-pregnant adults. Lumefantrine exposure decreased with increasing pre-treatment parasitaemia, and the dose limitation on absorption of lumefantrine was substantial. Simulations using the lumefantrine pharmacokinetic model suggest that, in young children and pregnant women beyond the first trimester, lengthening the dose regimen (twice daily for 5 days) and, to a lesser extent, intensifying the frequency of dosing (3 times daily for 3 days) would be more efficacious than using higher individual doses in the current standard treatment regimen (twice daily for 3 days). The model was developed using venous plasma data from patients receiving intact tablets with fat, and evaluations of alternative dosing regimens were consequently only representative for venous plasma after administration of intact tablets with fat. The absence of artemether-dihydroartemisinin data limited the prediction of parasite killing rates and recrudescent infections. Thus, the suggested optimised dosing schedule was based on the pharmacokinetic endpoint of lumefantrine plasma exposure at day 7.

CONCLUSIONS

Our findings suggest that revised AL dosing regimens for young children and pregnant women would improve drug exposure but would require longer or more complex schedules. These dosing regimens should be evaluated in prospective clinical studies to determine whether they would improve cure rates, demonstrate adequate safety, and thereby prolong the useful therapeutic life of this valuable antimalarial treatment.

摘要

背景

青蒿琥酯-咯萘啶(AL)固定剂量复方是治疗无并发症恶性疟原虫疟疾最广泛应用的疗法。在儿童和孕妇妊娠第二和第三孕期,报道的治愈率相对较低和青蒿琥酯浓度较低。本研究旨在调查青蒿琥酯的药代动力学和药效动力学特性及其代谢产物去氢青蒿琥酯的药代动力学特性,以便为所有患者人群提供最佳的给药方案。

方法和发现

通过在 PubMed、Embase、ClinicalTrials.gov、Google Scholar、会议记录和世界卫生组织疟疾耐药性网络(WWARN)药理学数据库进行检索,确定了 1990 年 1 月 1 日至 2012 年 12 月 31 日期间发表的 31 项相关临床研究,共有 4546 例患者测量了青蒿琥酯浓度。在 WWARN 的主持下,来自 4122 例患者的相关个体浓度-时间数据、临床协变量和结局数据被汇集并进行了荟萃分析。开发的青蒿琥酯群体药代动力学模型用于通过计算机模拟进行剂量优化。开始标准 AL 治疗后第 7 天,体重<15kg 和 15-25kg 的儿童的静脉血浆青蒿琥酯浓度分别降低了 24.2%和 13.4%,而与非妊娠成人相比,孕妇的青蒿琥酯浓度降低了 20.2%。青蒿琥酯的暴露随着预处理寄生虫血症的增加而降低,并且对青蒿琥酯吸收的剂量限制很大。使用青蒿琥酯药代动力学模型进行的模拟表明,在儿童和妊娠中期以后的孕妇中,延长疗程(5 天每天 2 次)和在一定程度上增加给药频率(3 天每天 3 次)比目前标准治疗方案(3 天每天 2 次)使用更高的个体剂量更有效。该模型是使用含有脂肪的完整片剂的患者的静脉血浆数据开发的,因此,替代给药方案的评估仅代表含有脂肪的完整片剂给药后的静脉血浆。缺乏青蒿素-双氢青蒿素的数据限制了寄生虫杀伤率和复发性感染的预测。因此,建议的优化给药方案是基于第 7 天青蒿琥酯血浆暴露的药代动力学终点。

结论

我们的研究结果表明,修订的儿童和孕妇 AL 给药方案将提高药物暴露,但需要更长或更复杂的方案。这些给药方案应在前瞻性临床研究中进行评估,以确定它们是否能提高治愈率、表现出足够的安全性,并延长这种有价值的抗疟治疗的使用期限。

https://cdn.ncbi.nlm.nih.gov/pmc/blobs/0341/5997317/d640485d4921/pmed.1002579.g001.jpg

文献检索

告别复杂PubMed语法,用中文像聊天一样搜索,搜遍4000万医学文献。AI智能推荐,让科研检索更轻松。

立即免费搜索

文件翻译

保留排版,准确专业,支持PDF/Word/PPT等文件格式,支持 12+语言互译。

免费翻译文档

深度研究

AI帮你快速写综述,25分钟生成高质量综述,智能提取关键信息,辅助科研写作。

立即免费体验