• 文献检索
  • 文档翻译
  • 深度研究
  • 学术资讯
  • Suppr Zotero 插件Zotero 插件
  • 邀请有礼
  • 套餐&价格
  • 历史记录
应用&插件
Suppr Zotero 插件Zotero 插件浏览器插件Mac 客户端Windows 客户端微信小程序
定价
高级版会员购买积分包购买API积分包
服务
文献检索文档翻译深度研究API 文档MCP 服务
关于我们
关于 Suppr公司介绍联系我们用户协议隐私条款
关注我们

Suppr 超能文献

核心技术专利:CN118964589B侵权必究
粤ICP备2023148730 号-1Suppr @ 2026

文献检索

告别复杂PubMed语法,用中文像聊天一样搜索,搜遍4000万医学文献。AI智能推荐,让科研检索更轻松。

立即免费搜索

文件翻译

保留排版,准确专业,支持PDF/Word/PPT等文件格式,支持 12+语言互译。

免费翻译文档

深度研究

AI帮你快速写综述,25分钟生成高质量综述,智能提取关键信息,辅助科研写作。

立即免费体验

随机森林有多随机?用于阿尔茨海默病结构成像生物标志物的随机森林算法:来自阿尔茨海默病神经影像倡议(ADNI)数据库

How random is the random forest? Random forest algorithm on the service of structural imaging biomarkers for Alzheimer's disease: from Alzheimer's disease neuroimaging initiative (ADNI) database.

作者信息

Dimitriadis Stavros I, Liparas Dimitris

机构信息

Division of Psychological Medicine and Clinical Neurosciences, School of Medicine, Cardiff University; Cardiff University Brain Research Imaging Centre, School of Psychology; School of Psychology; Neuroinformatics Group, Cardiff University Brain Research Imaging Centre, School of Psychology; Neuroscience and Mental Health Research Institute; MRC Centre for Neuropsychiatric Genetics and Genomics, School of Medicine, Cardiff, UK.

High Performance Computing Center Stuttgart (HLRS), University of Stuttgart, Stuttgart, Germany; Department of Informatics, Aristotle University of Thessaloniki, Thessaloniki, Greece.

出版信息

Neural Regen Res. 2018 Jun;13(6):962-970. doi: 10.4103/1673-5374.233433.

DOI:10.4103/1673-5374.233433
PMID:29926817
原文链接:https://pmc.ncbi.nlm.nih.gov/articles/PMC6022472/
Abstract

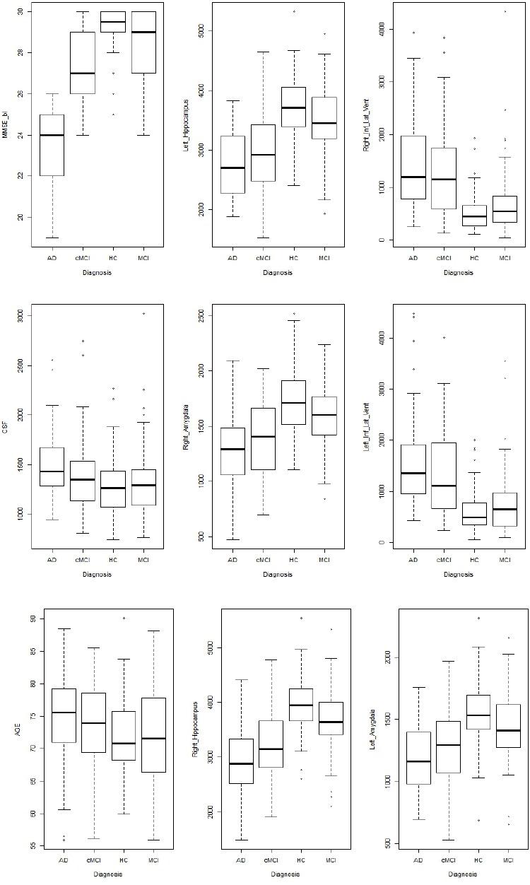
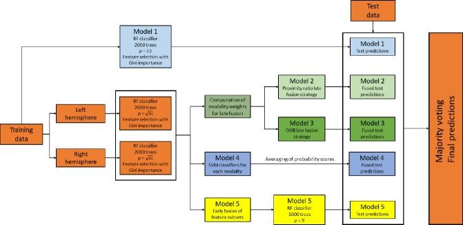
Neuroinformatics is a fascinating research field that applies computational models and analytical tools to high dimensional experimental neuroscience data for a better understanding of how the brain functions or dysfunctions in brain diseases. Neuroinformaticians work in the intersection of neuroscience and informatics supporting the integration of various sub-disciplines (behavioural neuroscience, genetics, cognitive psychology, etc.) working on brain research. Neuroinformaticians are the pathway of information exchange between informaticians and clinicians for a better understanding of the outcome of computational models and the clinical interpretation of the analysis. Machine learning is one of the most significant computational developments in the last decade giving tools to neuroinformaticians and finally to radiologists and clinicians for an automatic and early diagnosis-prognosis of a brain disease. Random forest (RF) algorithm has been successfully applied to high-dimensional neuroimaging data for feature reduction and also has been applied to classify the clinical label of a subject using single or multi-modal neuroimaging datasets. Our aim was to review the studies where RF was applied to correctly predict the Alzheimer's disease (AD), the conversion from mild cognitive impairment (MCI) and its robustness to overfitting, outliers and handling of non-linear data. Finally, we described our RF-based model that gave us the 1 position in an international challenge for automated prediction of MCI from MRI data.

摘要

神经信息学是一个引人入胜的研究领域,它将计算模型和分析工具应用于高维实验神经科学数据,以更好地理解大脑在脑部疾病中的功能或功能障碍。神经信息学家在神经科学和信息学的交叉领域工作,支持从事大脑研究的各个子学科(行为神经科学、遗传学、认知心理学等)的整合。神经信息学家是信息学家和临床医生之间信息交流的途径,以便更好地理解计算模型的结果和分析的临床解释。机器学习是过去十年中最重要的计算发展之一,它为神经信息学家提供了工具,最终也为放射科医生和临床医生提供了工具,用于脑部疾病的自动早期诊断和预后评估。随机森林(RF)算法已成功应用于高维神经影像数据的特征约简,也已应用于使用单模态或多模态神经影像数据集对受试者的临床标签进行分类。我们的目的是回顾那些应用RF来正确预测阿尔茨海默病(AD)、从轻度认知障碍(MCI)的转化及其对过拟合、异常值和非线性数据处理的稳健性的研究。最后,我们描述了我们基于RF的模型,该模型在一项从MRI数据自动预测MCI的国际挑战赛中使我们获得了第一名。

https://cdn.ncbi.nlm.nih.gov/pmc/blobs/b063/6022472/e8eee114701a/NRR-13-962-g005.jpg
https://cdn.ncbi.nlm.nih.gov/pmc/blobs/b063/6022472/1c191e0ae545/NRR-13-962-g001.jpg
https://cdn.ncbi.nlm.nih.gov/pmc/blobs/b063/6022472/2c0e694c16e0/NRR-13-962-g002.jpg
https://cdn.ncbi.nlm.nih.gov/pmc/blobs/b063/6022472/c0835877cd92/NRR-13-962-g004.jpg
https://cdn.ncbi.nlm.nih.gov/pmc/blobs/b063/6022472/e8eee114701a/NRR-13-962-g005.jpg
https://cdn.ncbi.nlm.nih.gov/pmc/blobs/b063/6022472/1c191e0ae545/NRR-13-962-g001.jpg
https://cdn.ncbi.nlm.nih.gov/pmc/blobs/b063/6022472/2c0e694c16e0/NRR-13-962-g002.jpg
https://cdn.ncbi.nlm.nih.gov/pmc/blobs/b063/6022472/c0835877cd92/NRR-13-962-g004.jpg
https://cdn.ncbi.nlm.nih.gov/pmc/blobs/b063/6022472/e8eee114701a/NRR-13-962-g005.jpg

相似文献

1
How random is the random forest? Random forest algorithm on the service of structural imaging biomarkers for Alzheimer's disease: from Alzheimer's disease neuroimaging initiative (ADNI) database.随机森林有多随机?用于阿尔茨海默病结构成像生物标志物的随机森林算法:来自阿尔茨海默病神经影像倡议(ADNI)数据库
Neural Regen Res. 2018 Jun;13(6):962-970. doi: 10.4103/1673-5374.233433.
2
Random Forest Algorithm for the Classification of Neuroimaging Data in Alzheimer's Disease: A Systematic Review.用于阿尔茨海默病神经影像数据分类的随机森林算法:一项系统综述
Front Aging Neurosci. 2017 Oct 6;9:329. doi: 10.3389/fnagi.2017.00329. eCollection 2017.
3
Random forest feature selection, fusion and ensemble strategy: Combining multiple morphological MRI measures to discriminate among healhy elderly, MCI, cMCI and alzheimer's disease patients: From the alzheimer's disease neuroimaging initiative (ADNI) database.随机森林特征选择、融合和集成策略:结合多种形态磁共振成像指标对健康老年人、MCI、cMCI 和阿尔茨海默病患者进行分类:来自阿尔茨海默病神经影像学倡议(ADNI)数据库。
J Neurosci Methods. 2018 May 15;302:14-23. doi: 10.1016/j.jneumeth.2017.12.010. Epub 2017 Dec 18.
4
Machine learning framework for early MRI-based Alzheimer's conversion prediction in MCI subjects.用于基于磁共振成像(MRI)早期预测轻度认知障碍(MCI)患者向阿尔茨海默病转化的机器学习框架。
Neuroimage. 2015 Jan 1;104:398-412. doi: 10.1016/j.neuroimage.2014.10.002. Epub 2014 Oct 12.
5
A parameter-efficient deep learning approach to predict conversion from mild cognitive impairment to Alzheimer's disease.一种参数高效的深度学习方法,用于预测轻度认知障碍向阿尔茨海默病的转化。
Neuroimage. 2019 Apr 1;189:276-287. doi: 10.1016/j.neuroimage.2019.01.031. Epub 2019 Jan 14.
6
A Machine Learning-Based Holistic Approach to Predict the Clinical Course of Patients within the Alzheimer's Disease Spectrum.基于机器学习的阿尔茨海默病谱患者临床病程预测的整体方法。
J Alzheimers Dis. 2022;85(4):1639-1655. doi: 10.3233/JAD-210573.
7
Multi-modal neuroimaging feature selection with consistent metric constraint for diagnosis of Alzheimer's disease.多模态神经影像学特征选择与一致度量约束相结合,用于阿尔茨海默病的诊断。
Med Image Anal. 2020 Feb;60:101625. doi: 10.1016/j.media.2019.101625. Epub 2019 Dec 2.
8
Comparing different algorithms for the course of Alzheimer's disease using machine learning.使用机器学习比较阿尔茨海默病病程的不同算法。
Ann Palliat Med. 2021 Sep;10(9):9715-9724. doi: 10.21037/apm-21-2013.
9
Diagnostic Classification and Biomarker Identification of Alzheimer's Disease with Random Forest Algorithm.基于随机森林算法的阿尔茨海默病诊断分类与生物标志物识别
Brain Sci. 2021 Apr 2;11(4):453. doi: 10.3390/brainsci11040453.
10
Graph Convolutional Network for AD and MCI Diagnosis Utilizing Peripheral DNA Methylation: Réseau de neurones en graphes pour le diagnostic de la MA et du TCL à l'aide de la méthylation de l'ADN périphérique.利用外周血DNA甲基化的阿尔茨海默病和轻度认知障碍诊断的图卷积网络:使用外周血DNA甲基化进行阿尔茨海默病和轻度认知障碍诊断的图神经网络
Can J Psychiatry. 2024 Dec;69(12):869-879. doi: 10.1177/07067437241300947. Epub 2024 Nov 25.

引用本文的文献

1
Integrative machine learning and Mendelian randomization identify causal laboratory biomarkers for coronary artery lesions in Kawasaki disease: a prospective study.整合机器学习与孟德尔随机化方法确定川崎病冠状动脉病变的因果实验室生物标志物:一项前瞻性研究。
Front Genet. 2025 Aug 15;16:1646032. doi: 10.3389/fgene.2025.1646032. eCollection 2025.
2
Identification and predictive machine learning models construction of gut microbiota associated with lymph node metastasis in colorectal cancer.结直肠癌中与淋巴结转移相关的肠道微生物群的识别及预测性机器学习模型构建
mSystems. 2025 Jul 8:e0033925. doi: 10.1128/msystems.00339-25.
3

本文引用的文献

1
Ensemble support vector machine classification of dementia using structural MRI and mini-mental state examination.使用结构 MRI 和简易精神状态检查对痴呆进行集成支持向量机分类。
J Neurosci Methods. 2018 May 15;302:66-74. doi: 10.1016/j.jneumeth.2018.01.003. Epub 2018 Feb 3.
2
A wrapped multi-label classifier for the automatic diagnosis and prognosis of Alzheimer's disease.一种用于阿尔茨海默病自动诊断和预后的包裹式多标签分类器。
J Neurosci Methods. 2018 May 15;302:58-65. doi: 10.1016/j.jneumeth.2017.12.016. Epub 2018 Jan 9.
3
Deep learning reveals Alzheimer's disease onset in MCI subjects: Results from an international challenge.
Comparing machine learning classifier models in discriminating cognitively unimpaired older adults from three clinical cohorts in the Alzheimer's disease spectrum: demonstration analyses in the COMPASS-ND study.
在阿尔茨海默病谱系中区分来自三个临床队列的认知未受损老年人时比较机器学习分类模型:COMPASS-ND研究中的示范分析
Front Aging Neurosci. 2025 Mar 4;17:1542514. doi: 10.3389/fnagi.2025.1542514. eCollection 2025.
4
Recognition of Conus species using a combined approach of supervised learning and deep learning-based feature extraction.使用监督学习和基于深度学习的特征提取相结合的方法识别芋螺种类。
PLoS One. 2024 Dec 9;19(12):e0313329. doi: 10.1371/journal.pone.0313329. eCollection 2024.
5
Using Machine Learning to Study Factors Affecting Discharge Destination in Recovery Units.利用机器学习研究康复单元中影响出院目的地的因素。
Cureus. 2024 Oct 6;16(10):e70916. doi: 10.7759/cureus.70916. eCollection 2024 Oct.
6
Utilizing radiomics for differential diagnosis of inverted papilloma and chronic rhinosinusitis with polyps based on unenhanced CT scans.基于平扫 CT 影像的放射组学鉴别诊断内翻性乳头状瘤与伴有息肉的慢性鼻-鼻窦炎。
Sci Rep. 2024 Aug 20;14(1):19299. doi: 10.1038/s41598-024-70134-x.
7
Accurate detection of acute sleep deprivation using a metabolomic biomarker-A machine learning approach.利用代谢组学生物标志物准确检测急性睡眠剥夺——一种机器学习方法。
Sci Adv. 2024 Mar 8;10(10):eadj6834. doi: 10.1126/sciadv.adj6834.
8
GIRUS-net: A Multimodal Deep Learning Model Identifying Imaging and Genetic Biomarkers Linked to Alzheimer's Disease Severity.GIRUS-net:一种多模态深度学习模型,用于识别与阿尔茨海默病严重程度相关的影像学和遗传学生物标志物。
Annu Int Conf IEEE Eng Med Biol Soc. 2023 Jul;2023:1-4. doi: 10.1109/EMBC40787.2023.10341000.
9
Machine learning analyses identify multi-modal frailty factors that selectively discriminate four cohorts in the Alzheimer's disease spectrum: a COMPASS-ND study.机器学习分析确定了多模式脆弱性因素,这些因素可选择性地区分阿尔茨海默病谱中的四个队列:COMPASS-ND 研究。
BMC Geriatr. 2023 Dec 11;23(1):837. doi: 10.1186/s12877-023-04546-1.
10
Brain entropy changes in classical trigeminal neuralgia.经典三叉神经痛中的脑熵变化
Front Neurol. 2023 Nov 23;14:1273336. doi: 10.3389/fneur.2023.1273336. eCollection 2023.
深度学习揭示轻度认知障碍患者阿尔茨海默病的发病:一项国际挑战赛的结果。
J Neurosci Methods. 2018 May 15;302:3-9. doi: 10.1016/j.jneumeth.2017.12.011. Epub 2017 Dec 26.
4
Random forest feature selection, fusion and ensemble strategy: Combining multiple morphological MRI measures to discriminate among healhy elderly, MCI, cMCI and alzheimer's disease patients: From the alzheimer's disease neuroimaging initiative (ADNI) database.随机森林特征选择、融合和集成策略:结合多种形态磁共振成像指标对健康老年人、MCI、cMCI 和阿尔茨海默病患者进行分类:来自阿尔茨海默病神经影像学倡议(ADNI)数据库。
J Neurosci Methods. 2018 May 15;302:14-23. doi: 10.1016/j.jneumeth.2017.12.010. Epub 2017 Dec 18.
5
Ensemble of random forests One vs. Rest classifiers for MCI and AD prediction using ANOVA cortical and subcortical feature selection and partial least squares.基于 ANOVA 皮质和皮质下特征选择和偏最小二乘法的随机森林与 One vs. Rest 分类器集成用于 MCI 和 AD 预测。
J Neurosci Methods. 2018 May 15;302:47-57. doi: 10.1016/j.jneumeth.2017.12.005. Epub 2017 Dec 11.
6
Ensemble based on static classifier selection for automated diagnosis of Mild Cognitive Impairment.基于静态分类器选择的用于轻度认知障碍自动诊断的集成方法。
J Neurosci Methods. 2018 May 15;302:42-46. doi: 10.1016/j.jneumeth.2017.11.002. Epub 2017 Nov 2.
7
Random Forest Algorithm for the Classification of Neuroimaging Data in Alzheimer's Disease: A Systematic Review.用于阿尔茨海默病神经影像数据分类的随机森林算法:一项系统综述
Front Aging Neurosci. 2017 Oct 6;9:329. doi: 10.3389/fnagi.2017.00329. eCollection 2017.
8
Pypes: Workflows for Processing Multimodal Neuroimaging Data.派普斯:处理多模态神经影像数据的工作流程。
Front Neuroinform. 2017 Apr 11;11:25. doi: 10.3389/fninf.2017.00025. eCollection 2017.
9
A review on neuroimaging-based classification studies and associated feature extraction methods for Alzheimer's disease and its prodromal stages.基于神经影像学的阿尔茨海默病及其前驱期分类研究及相关特征提取方法综述。
Neuroimage. 2017 Jul 15;155:530-548. doi: 10.1016/j.neuroimage.2017.03.057. Epub 2017 Apr 13.
10
Structural and functional connectional fingerprints in mild cognitive impairment and Alzheimer's disease patients.轻度认知障碍和阿尔茨海默病患者的结构和功能连接指纹图谱
PLoS One. 2017 Mar 23;12(3):e0173426. doi: 10.1371/journal.pone.0173426. eCollection 2017.