Department of Pediatrics, University at Buffalo, Buffalo, NY, USA.
Department of Pediatrics, UC Davis, Sacramento, CA, USA.
Pediatr Res. 2018 Nov;84(5):743-750. doi: 10.1038/s41390-018-0085-x. Epub 2018 Jun 2.
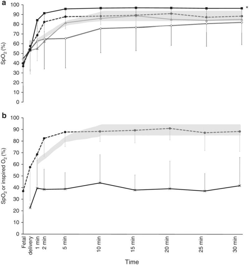
The Neonatal Resuscitation Program recommends initial resuscitation of preterm infants with low oxygen (O) followed by titration to target preductal saturations (SpO). We studied the effect of resuscitation with titrated O on gas exchange, pulmonary, and systemic hemodynamics.
Twenty-nine preterm lambs (127 d gestation) were randomized to resuscitation with 21% O (n = 7), 100% O (n = 6), or initiation at 21% and titrated to target SpO (n = 16). Seven healthy term control lambs were ventilated with 21% O.
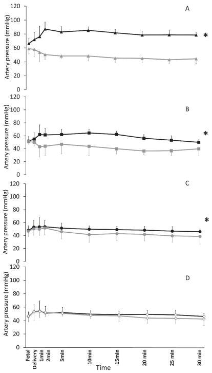
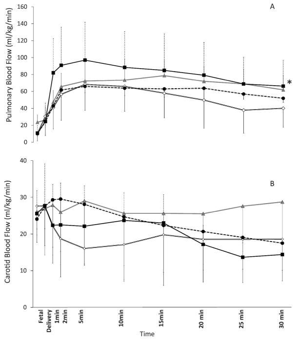
Preductal SpO achieved by titrating O was within the desired range similar to term lambs in 21% O. Resuscitation of preterm lambs with 21% and 100% O resulted in SpO below and above the target, respectively. Ventilation of preterm lambs with 100% O and term lambs with 21% O effectively decreased pulmonary vascular resistance (PVR). In contrast, preterm lambs with 21% O and titrated O demonstrated significantly higher PVR than term lambs on 21% O.
CONCLUSION(S): Initial resuscitation with 21% O followed by titration of O led to suboptimal pulmonary vascular transition at birth in preterm lambs. Ventilation with 100% O in preterm lambs caused hyperoxia but reduced PVR similar to term lambs on 21% O. Studies evaluating the initiation of resuscitation at a higher O concentration followed by titration based on SpO in preterm neonates are needed.
新生儿复苏计划建议对低氧的早产儿进行初始氧复苏,然后滴定至目标经皮氧饱和度(SpO)。我们研究了氧滴定复苏对气体交换、肺和全身血液动力学的影响。
29 只早产羔羊(127 天妊娠)随机分为 21%氧组(n=7)、100%氧组(n=6)或起始时 21%氧并滴定至目标 SpO 组(n=16)。7 只健康足月对照羔羊用 21%氧通气。
通过滴定氧达到的经皮 SpO 与 21%氧的足月羔羊相似,处于所需范围内。用 21%和 100%氧复苏早产儿,分别导致 SpO 低于和高于目标值。用 100%氧通气的早产儿和用 21%氧通气的足月羔羊有效地降低了肺血管阻力(PVR)。相比之下,用 21%氧的早产儿和滴定氧的早产儿与用 21%氧的足月羔羊相比,PVR 显著升高。
用 21%氧初始复苏,然后根据 SpO 滴定氧,导致早产羔羊在出生时肺血管过渡不理想。用 100%氧通气的早产儿会导致高氧血症,但与用 21%氧通气的足月羔羊相似,可降低 PVR。需要评估在早产儿中以更高的氧浓度开始复苏,然后根据 SpO 滴定的研究。