Suppr超能文献

一种用于卵巢扭转早期诊断的新型生物标志物:信号肽-CUB-EGF域包含蛋白1(SCUBE-1)

A new biomarker for the early diagnosis of ovarian torsion: SCUBE-1.

作者信息

Uyanikoglu Hacer, Hilali Nese Gul, Yardimciel Mesut, Koyuncu Ismail

机构信息

Department of Obstetrics and Gynecology, Faculty of Medicine, Harran University, Sanliurfa, Turkey.

Department of Clinical Biochemistry, Faculty of Medicine, Harran University, Sanliurfa, Turkey.

出版信息

Clin Exp Reprod Med. 2018 Jun;45(2):94-99. doi: 10.5653/cerm.2018.45.2.94. Epub 2018 Jun 29.

Abstract

OBJECTIVE

Prompt diagnosis and management are essential for saving the adnexal organs from infarction in cases of ovarian torsion (OT). This study aimed to determine the diagnostic significance of signal peptide, complement C1r/C1s, Uegf, and Bmp1 (CUB), and epidermal growth factor-like domain-containing protein-1 (SCUBE-1) levels in cases of OT, an emergent ischemic condition, and the relationship of SCUBE-1 with oxidative stress parameters.

METHODS

This prospective study was conducted among 15 OT patients and 20 age- and gravidity-matched healthy women. SCUBE-1 serum concentrations were determined by using enzyme-linked immunosorbent assays. In addition, oxidative stress was evaluated by measuring the serum levels of advanced oxidation protein products (AOPP), ferric reducing ability of plasma (FRAP), and glutathione (GSH).

RESULTS

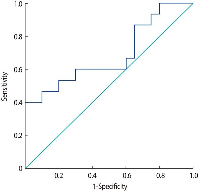
The SCUBE-1 titers were significantly higher in the patients with OT than in the controls (=0.008). In addition, serum FRAP and GSH levels were significantly lower in the OT patients than in the controls (<0.001 for both). Serum AOPP levels were higher in the OT patients, but this trend was not statistically significant (>0.05). Furthermore, there were no correlations between SCUBE-1 levels and age, gravidity, parity, cyst size, and AOPP, FRAP, or GSH levels (>0.05).

CONCLUSION

We believe that SCUBE-1 may be a promising biomarker for the early diagnosis of OT.

摘要

目的

对于卵巢扭转(OT)病例,迅速诊断和处理对于挽救附件器官免于梗死至关重要。本研究旨在确定信号肽、补体C1r/C1s、Uegf和Bmp1(CUB)以及含表皮生长因子样结构域蛋白-1(SCUBE-1)水平在OT(一种紧急缺血性疾病)病例中的诊断意义,以及SCUBE-1与氧化应激参数的关系。

方法

本前瞻性研究纳入了15例OT患者和20例年龄及妊娠次数匹配的健康女性。采用酶联免疫吸附测定法测定SCUBE-1血清浓度。此外,通过测量血清晚期氧化蛋白产物(AOPP)水平、血浆铁还原能力(FRAP)和谷胱甘肽(GSH)来评估氧化应激。

结果

OT患者的SCUBE-1滴度显著高于对照组(=0.008)。此外,OT患者的血清FRAP和GSH水平显著低于对照组(两者均<0.001)。OT患者的血清AOPP水平较高,但这一趋势无统计学意义(>0.05)。此外,SCUBE-1水平与年龄、妊娠次数、产次、囊肿大小以及AOPP、FRAP或GSH水平之间均无相关性(>0.05)。

结论

我们认为SCUBE-1可能是OT早期诊断的一种有前景的生物标志物。

https://cdn.ncbi.nlm.nih.gov/pmc/blobs/fc0a/6030614/73aa6dc595e2/cerm-45-94-g001.jpg

相似文献

1
A new biomarker for the early diagnosis of ovarian torsion: SCUBE-1.
Clin Exp Reprod Med. 2018 Jun;45(2):94-99. doi: 10.5653/cerm.2018.45.2.94. Epub 2018 Jun 29.
2
Diagnostic value of signal peptide-Complement C1r/C1s, Uegf, and Bmp1-epidermal growth factor domain-containing protein 1 on serum and tissue samples in non-small cell lung cancer.
Turk Gogus Kalp Damar Cerrahisi Derg. 2018 Apr 30;26(2):246-253. doi: 10.5606/tgkdc.dergisi.2018.14600. eCollection 2018 Apr.
3
The diagnostic potential of plasma SCUBE-1 concentration for pulmonary embolism: A pilot study.
Clin Respir J. 2023 Apr;17(4):263-269. doi: 10.1111/crj.13588. Epub 2023 Feb 7.
5
The biology of SCUBE.
J Biomed Sci. 2023 May 26;30(1):33. doi: 10.1186/s12929-023-00925-3.
7
Is SCUBE 1 a new biomarker for gastric cancer?
Cancer Biomark. 2012;11(5):191-5. doi: 10.3233/CBM-2012-00285.
8
Can signal peptide-CUB-EGF domain-containing protein (SCUBE) levels be a marker of angiogenesis in patients with psoriasis?
Arch Dermatol Res. 2017 Apr;309(3):203-207. doi: 10.1007/s00403-017-1722-7. Epub 2017 Feb 25.

引用本文的文献

4
Could SCUBE-1 be a marker for subclinical atherosclerosis other than carotid artery intima-media thickness in patients with psoriasis?
An Bras Dermatol. 2023 Sep-Oct;98(5):595-601. doi: 10.1016/j.abd.2022.08.012. Epub 2023 May 15.
6
Serum SCUBE-1 levels in patients with diabetic retinopathy.
Int Ophthalmol. 2020 Apr;40(4):859-865. doi: 10.1007/s10792-019-01249-8. Epub 2019 Dec 2.

本文引用的文献

1
The Protective Effect of Naringenin-Oxime on Cisplatin-Induced Toxicity in Rats.
Biochem Res Int. 2017;2017:9478958. doi: 10.1155/2017/9478958. Epub 2017 Aug 28.
2
Can adnexal torsion be predicted by measuring plasma heat shock protein 70 level? An experimental study.
Arch Gynecol Obstet. 2017 Nov;296(5):941-946. doi: 10.1007/s00404-017-4502-x. Epub 2017 Sep 2.
3
Diagnostic performance of diffusion-weighted MRI in the diagnosis of ovarian torsion: comparison of torsed and nonaffected ovaries.
Clin Imaging. 2016 Sep-Oct;40(5):1029-33. doi: 10.1016/j.clinimag.2016.06.003. Epub 2016 Jun 11.
8
Interleukin-6 for the diagnosis of ovarian torsion: a systematic review and meta-analysis.
J Obstet Gynaecol. 2013 Jul;33(5):438-41. doi: 10.3109/01443615.2013.788622.

文献AI研究员

20分钟写一篇综述,助力文献阅读效率提升50倍。

立即体验

用中文搜PubMed

大模型驱动的PubMed中文搜索引擎

马上搜索

文档翻译

学术文献翻译模型,支持多种主流文档格式。

立即体验