Suppr超能文献

了解医生对患有肠病毒感染的儿童开具抗生素处方的行为。

Understanding physician antibiotic prescribing behavior for children with enterovirus infection.

机构信息

Department of Pediatrics, Kaohsiung Chang Gung Memorial Hospital and Chang Gung University College of Medicine, Kaohsiung, Taiwan.

Department of Psychiatry, Kaohsiung Medical University Hospital, Department of Psychiatry, Faculty of Medicine, Graduate Institute of Medicine, College of Medicine, Kaohsiung Medical University, Kaohsiung, Taiwan.

出版信息

PLoS One. 2018 Sep 7;13(9):e0202316. doi: 10.1371/journal.pone.0202316. eCollection 2018.

Abstract

BACKGROUND

Our previous study demonstrated that pediatricians prescribe antibiotics without proper clinical justification to patients with enterovirus infection, although antibiotics are not effective in treating the infections caused by these viruses. To improve the quality of healthcare, we aim to evaluate the association of clinical and demographic characteristics of patients and further to identify the determining factors for prescribing antibiotics to children experiencing enterovirus infection.

METHODS

We retrospectively reviewed the medical records of children who were hospitalized between January 2008 and December 2016 with a diagnosis of herpangina or hand-foot-mouth disease (HFMD). We identified those children who were prescribed antibiotics for at least 24 hours during admission. We conducted a retrospective descriptive study to analyze data in order to determine the factors associated with pediatrician antibiotics prescribing for enterovirus infection.

RESULTS

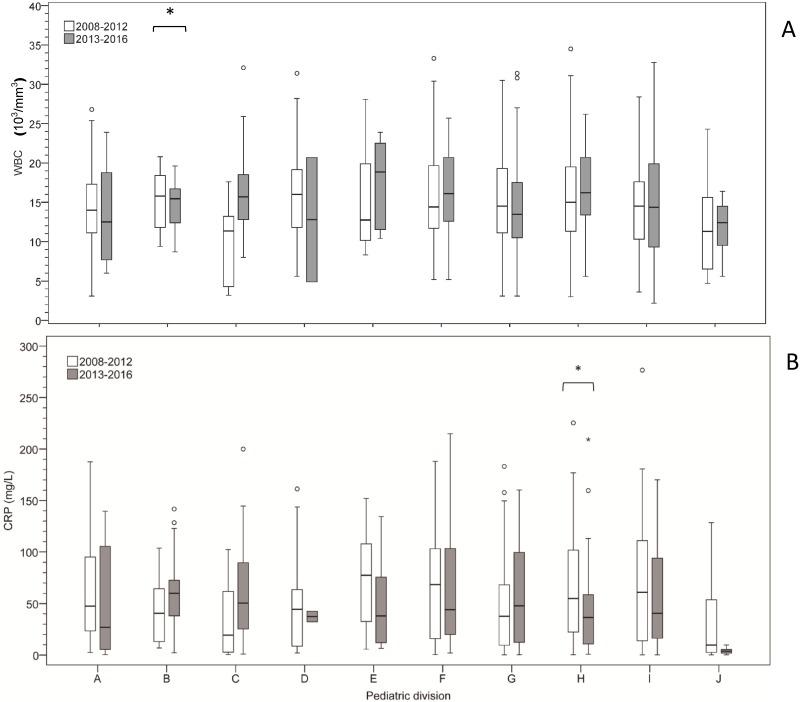
In the nine years of study period, the rate of antibiotics use was about 13% in these patients. A total of 3659 patients were enrolled during 2008~2012 and analyzed in detail. Elevated levels of C-reactive protein (CRP) and presence of leukocytosis in blood (WBC) were both significantly associated with pediatrician antibiotic prescribing for enterovirus infection (p<0.001). Between different specialistic devisions, there was significantly different proportion of antibiotics utilization for patients. In further analysis of antibiotics prescribing by Receiver operating characteristic (ROC) curve method, the level of CRP significantly had more the area under curve (0.708) compared with the count of WBC (p<0.05).

CONCLUSIONS

The present study indicates that higher serum level of CRP is strongly associated with pediatricians prescribing antibiotics for children experiencing herpangina or HFMD. Antibiotic prescribing is a complex process. Pediatricians should be more judicious in decision-making time by their specialistics. Our findings would shed new light on process and allay the concern about inappropriate antibiotics.

摘要

背景

我们之前的研究表明,儿科医生会在没有适当临床依据的情况下给患有肠病毒感染的患者开抗生素,尽管抗生素对治疗这些病毒引起的感染没有效果。为了提高医疗保健质量,我们旨在评估患者的临床和人口统计学特征与开抗生素处方之间的关系,并进一步确定儿科医生给患有肠病毒感染的儿童开抗生素的决定因素。

方法

我们回顾性地审查了 2008 年 1 月至 2016 年 12 月期间因疱疹性咽峡炎或手足口病(HFMD)住院的儿童的病历。我们确定了那些在住院期间至少开了 24 小时抗生素的儿童。我们进行了一项回顾性描述性研究来分析数据,以确定与儿科医生因肠病毒感染开抗生素处方相关的因素。

结果

在研究的九年期间,这些患者中抗生素的使用率约为 13%。在 2008~2012 年期间共纳入了 3659 名患者,并进行了详细分析。C 反应蛋白(CRP)水平升高和白细胞计数(WBC)升高均与儿科医生因肠病毒感染开抗生素处方显著相关(p<0.001)。在不同的专科部门之间,患者使用抗生素的比例存在显著差异。在通过接受者操作特征(ROC)曲线法对抗生素处方进行进一步分析时,CRP 水平的曲线下面积(0.708)明显高于 WBC 计数(p<0.05)。

结论

本研究表明,血清 CRP 水平较高与儿科医生给患有疱疹性咽峡炎或手足口病的儿童开抗生素密切相关。抗生素的使用是一个复杂的过程。儿科医生在做出决策时应该根据自己的专业知识更加慎重。我们的发现将为决策过程提供新的视角,并缓解对抗生素使用不当的担忧。

https://cdn.ncbi.nlm.nih.gov/pmc/blobs/af5d/6128467/f91e7e3b9c0a/pone.0202316.g001.jpg

相似文献

1
Understanding physician antibiotic prescribing behavior for children with enterovirus infection.
PLoS One. 2018 Sep 7;13(9):e0202316. doi: 10.1371/journal.pone.0202316. eCollection 2018.
2
Are antibiotics beneficial to children suffering from enterovirus infection complicated with a high C-reactive protein level?
Int J Infect Dis. 2014 Aug;25:100-3. doi: 10.1016/j.ijid.2014.04.010. Epub 2014 Jun 3.
8
An epidemic of enterovirus 71 infection in Taiwan. Taiwan Enterovirus Epidemic Working Group.
N Engl J Med. 1999 Sep 23;341(13):929-35. doi: 10.1056/NEJM199909233411301.

本文引用的文献

2
Determinants of physician antibiotic prescribing behavior: a 3 year cohort study in Portugal.
Curr Med Res Opin. 2016 May;32(5):949-57. doi: 10.1185/03007995.2016.1154520. Epub 2016 Mar 4.
4
Collateral damage: balancing the risks and the benefits of antimicrobial prophylaxis.
Orthopedics. 2015 May;38(5):281-2. doi: 10.3928/01477447-20150504-02.
5
Antibiotic exposure in the first year of life and later treated asthma, a population based birth cohort study of 143,000 children.
Eur J Epidemiol. 2016 Jan;31(1):85-94. doi: 10.1007/s10654-015-0038-1. Epub 2015 May 9.
6
Reducing collateral damage associated with antibiotic treatment: do less harm.
Clin Infect Dis. 2015 May 15;60 Suppl 2:S65. doi: 10.1093/cid/civ176.
7
9
Collateral damage: microbiota-derived metabolites and immune function in the antibiotic era.
Cell Host Microbe. 2014 Aug 13;16(2):156-163. doi: 10.1016/j.chom.2014.07.009.
10
Are antibiotics beneficial to children suffering from enterovirus infection complicated with a high C-reactive protein level?
Int J Infect Dis. 2014 Aug;25:100-3. doi: 10.1016/j.ijid.2014.04.010. Epub 2014 Jun 3.

文献AI研究员

20分钟写一篇综述,助力文献阅读效率提升50倍。

立即体验

用中文搜PubMed

大模型驱动的PubMed中文搜索引擎

马上搜索

文档翻译

学术文献翻译模型,支持多种主流文档格式。

立即体验