Suppr超能文献

胰岛素下调心脏来源的H9c2细胞中的心脏保护蛋白SUR2A:胰岛素治疗某些不良反应的一种可能解释。

Insulin down-regulates cardioprotective SUR2A in the heart-derived H9c2 cells: A possible explanation for some adverse effects of insulin therapy.

作者信息

Du Qingyou, Jovanović Sofija, Sukhodub Andriy, Ngoi Yong Shi, Lal Aashray, Zheleva Marina, Jovanović Aleksandar

机构信息

Division of Molecular and Clinical Medicine, Medical School, University of Dundee, United Kingdom.

University of Nicosia Medical School, Cyprus.

出版信息

Biochem Biophys Rep. 2018 Sep 6;16:12-18. doi: 10.1016/j.bbrep.2018.08.005. eCollection 2018 Dec.

Abstract

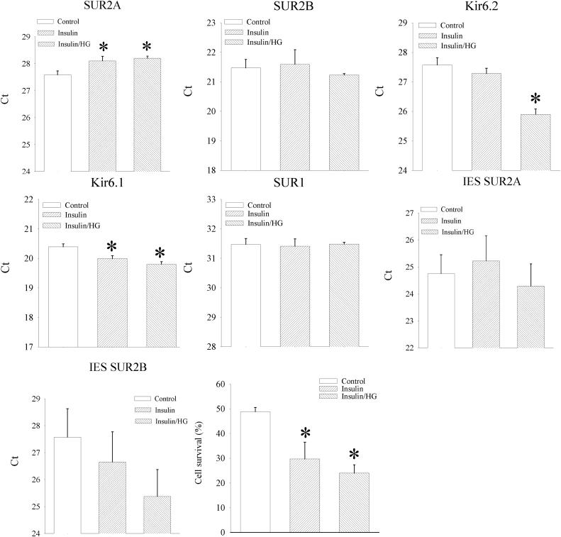
Some recent studies associated insulin therapy with negative cardiovascular events and shorter lifespan. SUR2A, a K channel subunit, regulate cardioprotection and cardiac ageing. Here, we have tested whether glucose and insulin regulate expression of SUR2A/K channel subunits and resistance to metabolic stress in heart H9c2 cells. Absence of glucose in culture media decreased SUR2A mRNA, while mRNAs of Kir6.2, Kir6.1, SUR1 and IES SUR2B were increased. 2-deoxyglucose (50 mM) decreased mRNAs of SUR2A, SUR2B and SUR1, did not affect IES SUR2A and IES SUR2B mRNAs and increased Kir6.2 mRNA. No glucose and 2-deoxyglucose (50 mM) decreased resistance to an inhibitor of oxidative phosphorylation, DNP (10 mM). 50 mM glucose did not alter K channel subunits nor cellular resistance to DNP (10 mM). Insulin (20 ng/ml) in both physiological and high glucose (50 mM) down-regulated SUR2A while upregulating Kir6.1 and Kir6.2 (in high glucose only). Insulin (20 ng/ml) in physiological and high glucose decreased cell survival in DNP (10 mM). As opposed to Kir6.2, infection with SUR2A resulted in titre-dependent cytoprotection. We conclude that insulin decreases resistance to metabolic stress in H9c2 cells by decreasing SUR2A expression. Lower cardiac SUR2A levels underlie increased myocardial susceptibility to metabolic stress and shorter lifespan.

摘要

最近的一些研究将胰岛素治疗与负面心血管事件及较短寿命联系起来。SUR2A是一种钾通道亚基,可调节心脏保护作用和心脏衰老。在此,我们测试了葡萄糖和胰岛素是否调节心脏H9c2细胞中SUR2A/钾通道亚基的表达以及对代谢应激的抗性。培养基中缺乏葡萄糖会降低SUR2A mRNA水平,而Kir6.2、Kir6.1、SUR1和IES SUR2B的mRNA水平则会升高。2-脱氧葡萄糖(50 mM)会降低SUR2A、SUR2B和SUR1的mRNA水平,不影响IES SUR2A和IES SUR2B的mRNA水平,并增加Kir6.2 mRNA水平。无葡萄糖和2-脱氧葡萄糖(50 mM)会降低对氧化磷酸化抑制剂DNP(10 mM)的抗性。50 mM葡萄糖不会改变钾通道亚基,也不会改变细胞对DNP(10 mM)的抗性。生理浓度和高葡萄糖(50 mM)条件下的胰岛素(20 ng/ml)会下调SUR2A,同时上调Kir6.1和Kir6.2(仅在高葡萄糖条件下)。生理浓度和高葡萄糖条件下的胰岛素(20 ng/ml)会降低细胞在DNP(10 mM)中的存活率。与Kir6.2相反,感染SUR2A会导致滴度依赖性细胞保护作用。我们得出结论,胰岛素通过降低SUR2A表达来降低H9c2细胞对代谢应激的抗性。心脏SUR2A水平降低是心肌对代谢应激易感性增加和寿命缩短的基础。

https://cdn.ncbi.nlm.nih.gov/pmc/blobs/ff3f/6132176/f428e7bafe27/gr1.jpg

文献检索

告别复杂PubMed语法,用中文像聊天一样搜索,搜遍4000万医学文献。AI智能推荐,让科研检索更轻松。

立即免费搜索

文件翻译

保留排版,准确专业,支持PDF/Word/PPT等文件格式,支持 12+语言互译。

免费翻译文档

深度研究

AI帮你快速写综述,25分钟生成高质量综述,智能提取关键信息,辅助科研写作。

立即免费体验