Suppr超能文献

用于量化外周动脉疾病中脉搏幅度和时间变异性特征的创新型多部位光电容积脉搏波描记术分析

Innovative Multi-Site Photoplethysmography Analysis for Quantifying Pulse Amplitude and Timing Variability Characteristics in Peripheral Arterial Disease.

作者信息

Bentham Michael, Stansby Gerard, Allen John

机构信息

Faculty of Medical Sciences, Newcastle University, Newcastle upon Tyne NE2 4HH, UK.

Northern Vascular Centre, Freeman Hospital, Newcastle upon Tyne NE7 7DN, UK.

出版信息

Diseases. 2018 Sep 17;6(3):81. doi: 10.3390/diseases6030081.

Abstract

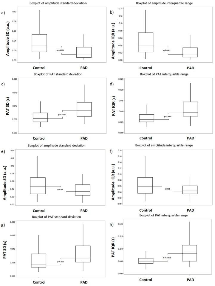
Photoplethysmography (PPG) is a simple-to-perform vascular optics measurement technique that can detect blood volume changes in the microvascular bed of tissue. Beat-to-beat analysis of the PPG waveform enables the study of the variability of pulse features, such as the amplitude and the pulse arrival time (PAT), and when quantified in the time and frequency domains, has considerable potential to shed light on perfusion changes associated with peripheral arterial disease (PAD). In this pilot study, innovative multi-site bilateral finger and toe PPG recordings from 43 healthy control subjects and 31 PAD subjects were compared (recordings each at least five minutes, collected in a warm temperature-controlled room). Beat-to-beat normalized amplitude variability and PAT variability were then quantified in the time-domain using two simple statistical measures and in the frequency-domain bilaterally using magnitude squared coherence (MSC). Significantly reduced normalized amplitude variability (healthy control 0.0384 (interquartile range 0.0217⁻0.0744) vs. PAD 0.0160 (0.0080⁻0.0338) ( < 0.0001)) and significantly increased PAT variability (healthy control 0.0063 (0.0052⁻0.0086) vs. PAD 0.0093 (0.0078⁻0.0144) ( < 0.0001)) was demonstrated for the toe site in PAD using the time-domain analysis. Frequency-domain analysis demonstrated significantly lower MSC values across a range of frequency bands for PAD patients. These changes suggest a loss of right-to-left body side coherence and cardiovascular control in PAD. This study has also demonstrated the feasibility of using these measurement and analysis methods in studies investigating multi-site PPG variability for a wide range of cardiac and vascular patient groups.

摘要

光电容积脉搏波描记法(PPG)是一种操作简单的血管光学测量技术,可检测组织微血管床中的血容量变化。对PPG波形进行逐搏分析能够研究脉搏特征的变异性,如振幅和脉搏到达时间(PAT),并且在时域和频域进行量化时,有很大潜力揭示与外周动脉疾病(PAD)相关的灌注变化。在这项初步研究中,对43名健康对照受试者和31名PAD受试者进行了创新的多部位双侧手指和脚趾PPG记录比较(记录时间至少5分钟,在温暖的温度控制室内采集)。然后使用两种简单的统计方法在时域中对逐搏归一化振幅变异性和PAT变异性进行量化,并在频域中使用双边幅度平方相干性(MSC)进行量化。使用时域分析表明,PAD患者脚趾部位的归一化振幅变异性显著降低(健康对照0.0384(四分位间距0.0217⁻0.0744)对PAD 0.0160(0.0080⁻0.0338)(<0.0001)),PAT变异性显著增加(健康对照0.0063(0.0052⁻0.0086)对PAD 0.0093(0.0078⁻0.0144)(<0.0001))。频域分析表明,PAD患者在一系列频带中的MSC值显著较低。这些变化表明PAD患者左右身体侧相干性和心血管控制丧失。这项研究还证明了在研究广泛的心脏和血管疾病患者群体的多部位PPG变异性时使用这些测量和分析方法的可行性。

https://cdn.ncbi.nlm.nih.gov/pmc/blobs/9eae/6165367/632b62c864ac/diseases-06-00081-g001.jpg

文献检索

告别复杂PubMed语法,用中文像聊天一样搜索,搜遍4000万医学文献。AI智能推荐,让科研检索更轻松。

立即免费搜索

文件翻译

保留排版,准确专业,支持PDF/Word/PPT等文件格式,支持 12+语言互译。

免费翻译文档

深度研究

AI帮你快速写综述,25分钟生成高质量综述,智能提取关键信息,辅助科研写作。

立即免费体验