Suppr超能文献

对拉塞尔瓦生物站哥斯达黎加两栖动物皮肤相关细菌群落的评估。

Assessment of Bacterial Communities Associated With the Skin of Costa Rican Amphibians at La Selva Biological Station.

作者信息

Abarca Juan G, Vargas Gabriel, Zuniga Ibrahim, Whitfield Steven M, Woodhams Douglas C, Kerby Jacob, McKenzie Valerie J, Murillo-Cruz Catalina, Pinto-Tomás Adrián A

机构信息

Centro de Investigación en Estructuras Microscópicas, Universidad de Costa Rica, San Pedro, Costa Rica.

Department of the Geophysical Sciences, University of Chicago, Chicago, IL, United States.

出版信息

Front Microbiol. 2018 Sep 3;9:2001. doi: 10.3389/fmicb.2018.02001. eCollection 2018.

Abstract

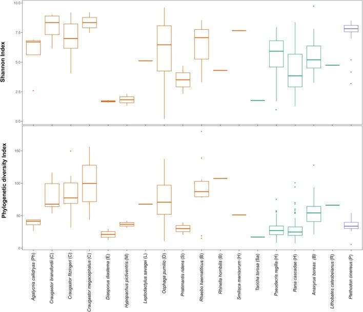
Amphibian skin is a suitable environment for rich communities of microorganisms, both beneficial and detrimental to the host. The amphibian cutaneous microbiota has been hypothesized to play an important role as symbionts, protecting their hosts against disease. Costa Rica has one of the most diverse assemblages of amphibians in the world and we know very little about the microbiota of these tropical animals. For comparison with other studies, we explore the diversity of the skin bacterial communities employing16S rRNA amplicon sequencing of swab samples from twelve species of frogs at La Selva Biological Station in Sarapiquí, Heredia province. The predominant phylum detected in our studies was Proteobacteria, followed by Bacteroidetes and Actinobacteria, with these three phyla representing 89.9% of the total bacterial taxa. At the family level, Sphingobacteriaceae and Comamonadaceae were highly represented among samples. Our results suggest that host species and host family are significant predictors of the variation in microbiota composition. This study helps set the foundation for future research about microbiota composition and resilience to unfavorable conditions, leading to improvement in managing strategies for endangered amphibian species.

摘要

两栖动物的皮肤是微生物丰富群落的适宜生存环境,这些微生物对宿主既有益处也有损害。两栖动物的皮肤微生物群被认为作为共生体发挥着重要作用,保护其宿主免受疾病侵害。哥斯达黎加拥有世界上最多样化的两栖动物种群之一,但我们对这些热带动物的微生物群了解甚少。为了与其他研究进行比较,我们采用16S rRNA扩增子测序技术,对来自埃雷迪亚省萨拉皮卡的拉塞尔瓦生物站的12种青蛙的拭子样本进行分析,以探究皮肤细菌群落的多样性。在我们的研究中检测到的主要菌门是变形菌门,其次是拟杆菌门和放线菌门,这三个菌门占细菌总分类群的89.9%。在科的水平上,鞘脂杆菌科和丛毛单胞菌科在样本中占比很高。我们的结果表明,宿主物种和宿主科是微生物群组成变化的重要预测因素。这项研究有助于为未来关于微生物群组成及其对不利条件的恢复力的研究奠定基础,从而改进濒危两栖动物物种的管理策略。

https://cdn.ncbi.nlm.nih.gov/pmc/blobs/f395/6129598/c8f4c51e05fa/fmicb-09-02001-g001.jpg

相似文献

1
Assessment of Bacterial Communities Associated With the Skin of Costa Rican Amphibians at La Selva Biological Station.
Front Microbiol. 2018 Sep 3;9:2001. doi: 10.3389/fmicb.2018.02001. eCollection 2018.
2
Characterization of the Skin Microbiota of the Cane Toad in Puerto Rico and Costa Rica.
Front Microbiol. 2018 Jan 5;8:2624. doi: 10.3389/fmicb.2017.02624. eCollection 2017.
3
Genotyping and differential bacterial inhibition of in threatened amphibians in Costa Rica.
Microbiology (Reading). 2021 Mar;167(3). doi: 10.1099/mic.0.001017. Epub 2021 Feb 2.
4
Moving Beyond the Host: Unraveling the Skin Microbiome of Endangered Costa Rican Amphibians.
Front Microbiol. 2019 Sep 12;10:2060. doi: 10.3389/fmicb.2019.02060. eCollection 2019.
5
Panamanian frog species host unique skin bacterial communities.
Front Microbiol. 2015 Oct 27;6:1171. doi: 10.3389/fmicb.2015.01171. eCollection 2015.
6
Temporal variation in skin microbiota of cohabitating amphibians.
Can J Microbiol. 2022 Sep 1;68(9):583-593. doi: 10.1139/cjm-2021-0390. Epub 2022 Aug 18.
8
Inhibition of Batrachochytrium dendrobatidis Infection by Skin Bacterial Communities in Wild Amphibian Populations.
Microb Ecol. 2021 Oct;82(3):666-676. doi: 10.1007/s00248-021-01706-x. Epub 2021 Feb 18.
9
Skin bacterial community differences among three species of co-occurring Ranid frogs.
PeerJ. 2023 Jul 14;11:e15556. doi: 10.7717/peerj.15556. eCollection 2023.

引用本文的文献

2
Microbiome and climate: skin microbial diversity and community functions of (Anura: Rhacophoridae) associated with bioclimate.
Microbiol Spectr. 2025 Apr;13(4):e0235824. doi: 10.1128/spectrum.02358-24. Epub 2025 Mar 5.
3
Skin bacterial community differences among three species of co-occurring Ranid frogs.
PeerJ. 2023 Jul 14;11:e15556. doi: 10.7717/peerj.15556. eCollection 2023.
4
Neotropical Frog Foam Nest's Microbiomes.
Microorganisms. 2023 Mar 30;11(4):900. doi: 10.3390/microorganisms11040900.
5
Interspecific and intraspecific Taylor's laws for frog skin microbes.
Comput Struct Biotechnol J. 2022 Dec 5;21:251-259. doi: 10.1016/j.csbj.2022.11.061. eCollection 2023.
6
Signatures of functional bacteriome structure in a tropical direct-developing amphibian species.
Anim Microbiome. 2022 Jun 7;4(1):40. doi: 10.1186/s42523-022-00188-7.
8
Inhibition of Batrachochytrium dendrobatidis Infection by Skin Bacterial Communities in Wild Amphibian Populations.
Microb Ecol. 2021 Oct;82(3):666-676. doi: 10.1007/s00248-021-01706-x. Epub 2021 Feb 18.
9
The skin microbiome of Xenopus laevis and the effects of husbandry conditions.
Anim Microbiome. 2021 Feb 5;3(1):17. doi: 10.1186/s42523-021-00080-w.
10
Bacterial Community in the Skin Microbiome of Frogs in a Coldspot of Chytridiomycosis Infection.
Microb Ecol. 2021 Aug;82(2):554-558. doi: 10.1007/s00248-020-01669-5. Epub 2021 Jan 13.

本文引用的文献

1
The Skin Microbiome of the Neotropical Frog : Inferring Potential Bacterial-Host-Pathogen Interactions From Metagenomic Data.
Front Microbiol. 2018 Mar 20;9:466. doi: 10.3389/fmicb.2018.00466. eCollection 2018.
2
Skin Microbiomes of California Terrestrial Salamanders Are Influenced by Habitat More Than Host Phylogeny.
Front Microbiol. 2018 Mar 14;9:442. doi: 10.3389/fmicb.2018.00442. eCollection 2018.
3
Environmental and Host Effects on Skin Bacterial Community Composition in Panamanian Frogs.
Front Microbiol. 2018 Feb 22;9:298. doi: 10.3389/fmicb.2018.00298. eCollection 2018.
4
Characterization of the Skin Microbiota of the Cane Toad in Puerto Rico and Costa Rica.
Front Microbiol. 2018 Jan 5;8:2624. doi: 10.3389/fmicb.2017.02624. eCollection 2017.
5
Probiotic consortia are not uniformly effective against different amphibian chytrid pathogen isolates.
Mol Ecol. 2018 Jan;27(2):577-589. doi: 10.1111/mec.14456. Epub 2018 Jan 8.
8
Effects of host species and environment on the skin microbiome of Plethodontid salamanders.
J Anim Ecol. 2018 Mar;87(2):341-353. doi: 10.1111/1365-2656.12726. Epub 2017 Aug 21.

文献AI研究员

20分钟写一篇综述,助力文献阅读效率提升50倍。

立即体验

用中文搜PubMed

大模型驱动的PubMed中文搜索引擎

马上搜索

文档翻译

学术文献翻译模型,支持多种主流文档格式。

立即体验