• 文献检索
  • 文档翻译
  • 深度研究
  • 学术资讯
  • Suppr Zotero 插件Zotero 插件
  • 邀请有礼
  • 套餐&价格
  • 历史记录
应用&插件
Suppr Zotero 插件Zotero 插件浏览器插件Mac 客户端Windows 客户端微信小程序
定价
高级版会员购买积分包购买API积分包
服务
文献检索文档翻译深度研究API 文档MCP 服务
关于我们
关于 Suppr公司介绍联系我们用户协议隐私条款
关注我们

Suppr 超能文献

核心技术专利:CN118964589B侵权必究
粤ICP备2023148730 号-1Suppr @ 2026

文献检索

告别复杂PubMed语法,用中文像聊天一样搜索,搜遍4000万医学文献。AI智能推荐,让科研检索更轻松。

立即免费搜索

文件翻译

保留排版,准确专业,支持PDF/Word/PPT等文件格式,支持 12+语言互译。

免费翻译文档

深度研究

AI帮你快速写综述,25分钟生成高质量综述,智能提取关键信息,辅助科研写作。

立即免费体验

当代更新的总体预后和列线图,以预测中国眼睑皮脂腺癌患者的个体化生存。

Contemporary update of overall prognosis and nomogram to predict individualized survival for Chinese patients with eyelid sebaceous carcinoma.

机构信息

Department of Ophthalmology, Ninth People's Hospital, Shanghai Jiao Tong University School of Medicine, Shanghai Key Laboratory of Orbital Diseases and Ocular Oncology, Shanghai, China.

Department of Pathology, Ninth People's Hospital, Shanghai Jiao Tong University School of Medicine, Shanghai, China.

出版信息

EBioMedicine. 2018 Oct;36:221-228. doi: 10.1016/j.ebiom.2018.09.011. Epub 2018 Sep 17.

DOI:10.1016/j.ebiom.2018.09.011
PMID:30236450
原文链接:https://pmc.ncbi.nlm.nih.gov/articles/PMC6197575/
Abstract

BACKGROUND

The prognosis of Chinese patients with eyelid sebaceous carcinoma (SC) has not been updated for >3 decades. The prognostic predictors are multifactorial, and there is no validated prognostic model for eyelid SC.

METHODS

This study included 238 consecutive patients with eyelid SC. All eligible patients were followed up for metastasis and mortality. The predictors of tumor-related survival were explored by Cox analyses. A prognostic nomogram was developed and validated using bootstrap resampling. The predictive accuracy and discriminative ability were compared between the nomogram and the Tumor, Node, Metastasis (TNM) staging system.

FINDINGS

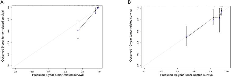
After a median follow-up period of 55.5 months, 27 (11.3%) patients died of metastatic SC, with a median survival time of 48.0 months. The 5-year and 10-year tumor-related survival rates were 88.1% and 77.9%, respectively. Orbital involvement (HR: 3.11, p = .022), the greatest tumor basal diameter (HR: 1.06, p = .003), the presence of pagetoid spread (HR: 2.90, p = .017), and having lymph node metastasis at initial diagnosis (HR: 13.66, p < .001) were independent risk factors for tumor-related death. A nomogram integrating these 4 factors was developed with a C-index of 0.887, which is significantly better than that of the TNM staging system (p = .002). The risk groups stratified by nomogram scores (p < .001 (low vs intermediate risk); p = .001 (intermediate vs high risk)) displayed better discrimination ability than TNM staging (T1 vs T2: p = .358; T2 vs T3: p = .171; T3 vs T4: p < .001) in patients at an early stage.

INTERPRETATION

The prognosis of Chinese patients with eyelid SC has improved over the last 3 decades, and it is comparable to that of patients from other countries. This nomogram provides more accurate individualized estimates of survival for eyelid SC patients and may guide clinicians in their therapeutic decisions.

摘要

背景

中国眼睑皮脂癌(SC)患者的预后已有 30 多年未更新。预后预测因素是多因素的,目前尚无眼睑 SC 的验证预后模型。

方法

本研究纳入了 238 例连续的眼睑 SC 患者。所有符合条件的患者均接受了转移和死亡随访。通过 Cox 分析探讨了肿瘤相关生存的预测因素。使用 bootstrap 重采样开发并验证了一个预后列线图。比较了列线图和肿瘤、淋巴结、转移(TNM)分期系统之间的预测准确性和区分能力。

结果

在中位随访 55.5 个月后,27 例(11.3%)患者死于转移性 SC,中位生存时间为 48.0 个月。5 年和 10 年肿瘤相关生存率分别为 88.1%和 77.9%。眼眶受累(HR:3.11,p =.022)、最大肿瘤基底直径(HR:1.06,p =.003)、存在 paget 样扩散(HR:2.90,p =.017)和初诊时存在淋巴结转移(HR:13.66,p <.001)是肿瘤相关死亡的独立危险因素。整合这 4 个因素的列线图具有 0.887 的 C 指数,明显优于 TNM 分期系统(p =.002)。根据列线图评分分层的风险组(p <.001(低与中危组);p =.001(中与高危组))在早期患者中的区分能力优于 TNM 分期(T1 与 T2:p =.358;T2 与 T3:p =.171;T3 与 T4:p <.001)。

结论

过去 30 年来,中国眼睑 SC 患者的预后有所改善,与其他国家的患者相当。该列线图为眼睑 SC 患者提供了更准确的个体化生存估计,可能有助于指导临床医生的治疗决策。

https://cdn.ncbi.nlm.nih.gov/pmc/blobs/dcb1/6197575/35455783ee09/gr4.jpg
https://cdn.ncbi.nlm.nih.gov/pmc/blobs/dcb1/6197575/512aa90170cf/gr1.jpg
https://cdn.ncbi.nlm.nih.gov/pmc/blobs/dcb1/6197575/2cf3d3a10c6c/gr2.jpg
https://cdn.ncbi.nlm.nih.gov/pmc/blobs/dcb1/6197575/43363048ae93/gr3.jpg
https://cdn.ncbi.nlm.nih.gov/pmc/blobs/dcb1/6197575/35455783ee09/gr4.jpg
https://cdn.ncbi.nlm.nih.gov/pmc/blobs/dcb1/6197575/512aa90170cf/gr1.jpg
https://cdn.ncbi.nlm.nih.gov/pmc/blobs/dcb1/6197575/2cf3d3a10c6c/gr2.jpg
https://cdn.ncbi.nlm.nih.gov/pmc/blobs/dcb1/6197575/43363048ae93/gr3.jpg
https://cdn.ncbi.nlm.nih.gov/pmc/blobs/dcb1/6197575/35455783ee09/gr4.jpg

相似文献

1
Contemporary update of overall prognosis and nomogram to predict individualized survival for Chinese patients with eyelid sebaceous carcinoma.当代更新的总体预后和列线图,以预测中国眼睑皮脂腺癌患者的个体化生存。
EBioMedicine. 2018 Oct;36:221-228. doi: 10.1016/j.ebiom.2018.09.011. Epub 2018 Sep 17.
2
Recurrence in Eyelid Sebaceous Carcinoma: A Multicentric Study of 418 Patients.眼睑皮脂腺癌的复发:418例患者的多中心研究
Invest Ophthalmol Vis Sci. 2024 Aug 1;65(10):4. doi: 10.1167/iovs.65.10.4.
3
Prognostic factors for local recurrence, metastasis and survival for sebaceous carcinoma of the eyelid: observations in 100 patients.眼睑皮脂腺癌局部复发、转移和生存的预后因素:100 例患者观察。
Br J Ophthalmol. 2019 Jul;103(7):980-984. doi: 10.1136/bjophthalmol-2018-312635. Epub 2018 Aug 21.
4
Prognosis of eyelid sebaceous gland carcinoma based on the tumor (T) category of the American Joint Committee on Cancer (AJCC) classification.基于美国癌症联合委员会(AJCC)分类的肿瘤(T)类别对眼睑皮脂腺癌的预后评估
Int Ophthalmol. 2016 Oct;36(5):681-90. doi: 10.1007/s10792-016-0187-6. Epub 2016 Feb 1.
5
Prognostic nomogram for patients with Nasopharyngeal Carcinoma incorporating hematological biomarkers and clinical characteristics.纳入血液学标志物和临床特征的鼻咽癌患者预后列线图。
Int J Biol Sci. 2018 Apr 5;14(5):549-556. doi: 10.7150/ijbs.24374. eCollection 2018.
6
Eyelid sebaceous carcinoma: Validation of the 8th edition of the American Joint Committee on cancer T staging system and the prognostic factors for local recurrence, nodal metastasis, and survival.眼睑皮脂腺癌:第 8 版美国癌症联合委员会 T 分期系统的验证及局部复发、淋巴结转移和生存的预后因素。
Eye (Lond). 2019 Jun;33(6):887-895. doi: 10.1038/s41433-019-0454-7. Epub 2019 May 31.
7
American Joint Committee on Cancer T category for eyelid sebaceous carcinoma correlates with nodal metastasis and survival.美国癌症联合委员会(AJCC)眼睑皮脂腺癌 T 分期与淋巴结转移和生存相关。
Ophthalmology. 2012 May;119(5):1078-82. doi: 10.1016/j.ophtha.2011.11.006. Epub 2012 Feb 11.
8
Diffuse pattern, orbital invasion, perineural invasion and Ki-67 are associated with nodal metastasis in patients with eyelid sebaceous carcinoma.弥漫型、眶侵犯、神经周围侵犯和 Ki-67 与眼睑皮脂腺癌患者的淋巴结转移相关。
Br J Ophthalmol. 2023 Jun;107(6):756-762. doi: 10.1136/bjophthalmol-2021-320547. Epub 2022 Jan 21.
9
Development and validation of a nomogram to predict the recurrence of eyelid sebaceous gland carcinoma.开发并验证一种列线图模型以预测眼睑皮脂腺癌的复发。
Cancer Med. 2023 Jul;12(14):14912-14921. doi: 10.1002/cam4.6126. Epub 2023 Jun 30.
10
Nomogram prediction of individual prognosis of patients with hepatocellular carcinoma.肝细胞癌患者个体预后的列线图预测
BMC Cancer. 2017 Jan 31;17(1):91. doi: 10.1186/s12885-017-3062-6.

引用本文的文献

1
Clinical presentation and prognostic factors of eyelid sebaceous carcinoma.眼睑皮脂腺癌的临床表现及预后因素
Jpn J Ophthalmol. 2025 May 25. doi: 10.1007/s10384-025-01187-2.
2
Recurrence in Eyelid Sebaceous Carcinoma: A Multicentric Study of 418 Patients.眼睑皮脂腺癌的复发:418例患者的多中心研究
Invest Ophthalmol Vis Sci. 2024 Aug 1;65(10):4. doi: 10.1167/iovs.65.10.4.
3
Sebaceous carcinoma: an updated review of pathogenesis, diagnosis, and treatment options.皮脂腺癌:发病机制、诊断和治疗选择的最新综述。

本文引用的文献

1
Development and Validation of Nomograms Predictive of Overall and Progression-Free Survival in Patients With Oropharyngeal Cancer.口咽癌患者总生存和无进展生存预测列线图的开发与验证
J Clin Oncol. 2017 Dec 20;35(36):4057-4065. doi: 10.1200/JCO.2016.72.0748. Epub 2017 Aug 4.
2
Development and Internal Validation of a Novel Model to Identify the Candidates for Extended Pelvic Lymph Node Dissection in Prostate Cancer.开发并内部验证一种新型模型,以确定前列腺癌患者行扩大盆腔淋巴结清扫术的候选者。
Eur Urol. 2017 Oct;72(4):632-640. doi: 10.1016/j.eururo.2017.03.049. Epub 2017 Apr 12.
3
Nomogram prediction of individual prognosis of patients with hepatocellular carcinoma.
Arch Dermatol Res. 2023 Dec 19;316(1):55. doi: 10.1007/s00403-023-02747-7.
4
Development and validation of a nomogram to predict the recurrence of eyelid sebaceous gland carcinoma.开发并验证一种列线图模型以预测眼睑皮脂腺癌的复发。
Cancer Med. 2023 Jul;12(14):14912-14921. doi: 10.1002/cam4.6126. Epub 2023 Jun 30.
5
A nomogram for predicting overall survival of patients with sinonasal melanoma: A population-based study.预测鼻窦黑色素瘤患者总生存期的列线图:一项基于人群的研究。
Laryngoscope Investig Otolaryngol. 2022 Nov 22;7(6):1837-1848. doi: 10.1002/lio2.951. eCollection 2022 Dec.
6
Diffuse pattern, orbital invasion, perineural invasion and Ki-67 are associated with nodal metastasis in patients with eyelid sebaceous carcinoma.弥漫型、眶侵犯、神经周围侵犯和 Ki-67 与眼睑皮脂腺癌患者的淋巴结转移相关。
Br J Ophthalmol. 2023 Jun;107(6):756-762. doi: 10.1136/bjophthalmol-2021-320547. Epub 2022 Jan 21.
7
MicroRNA-3907 promotes the proliferation and migration of sebaceous gland carcinoma of the eyelid by targeting thrombospondin 1.微小RNA-3907通过靶向血小板反应蛋白1促进眼睑皮脂腺癌的增殖和迁移。
Oncol Lett. 2021 Dec;22(6):833. doi: 10.3892/ol.2021.13094. Epub 2021 Oct 14.
8
Upper eyelid reconstruction using a combination of a nasal septal chondromucosal graft and a Fricke flap: a case report.鼻中隔软骨黏膜移植联合弗里克皮瓣用于上睑重建:1例报告
Arch Craniofac Surg. 2021 Aug;22(4):204-208. doi: 10.7181/acfs.2021.00262. Epub 2021 Aug 20.
9
A NADE nomogram to predict the probability of 6-month unfavorable outcome in Chinese patients with ischemic stroke.NADE 列线图预测中国缺血性脑卒中患者 6 个月不良结局的概率。
BMC Neurol. 2019 Nov 7;19(1):274. doi: 10.1186/s12883-019-1464-6.
肝细胞癌患者个体预后的列线图预测
BMC Cancer. 2017 Jan 31;17(1):91. doi: 10.1186/s12885-017-3062-6.
4
Nomogram to predict pathologic complete response in HER2-positive breast cancer treated with neoadjuvant systemic therapy.用于预测接受新辅助全身治疗的HER2阳性乳腺癌病理完全缓解的列线图。
Br J Cancer. 2017 Feb 14;116(4):509-514. doi: 10.1038/bjc.2016.444. Epub 2017 Jan 12.
5
Identification of Site-specific Recurrence Following Primary Radiation Therapy for Prostate Cancer Using C-11 Choline Positron Emission Tomography/Computed Tomography: A Nomogram for Predicting Extrapelvic Disease.使用C-11胆碱正电子发射断层扫描/计算机断层扫描识别前列腺癌原发放疗后特定部位复发:预测盆腔外疾病的列线图
Eur Urol. 2017 Mar;71(3):340-348. doi: 10.1016/j.eururo.2016.08.055. Epub 2016 Sep 3.
6
Risk Factors for Local Recurrence or Metastasis of Eyelid Sebaceous Gland Carcinoma After Wide Excision With Paraffin Section Control.睑板腺癌广泛切除并行石蜡切片检查后局部复发或转移的危险因素
Am J Ophthalmol. 2016 Nov;171:67-74. doi: 10.1016/j.ajo.2016.08.028. Epub 2016 Aug 31.
7
Prognosis of eyelid sebaceous gland carcinoma based on the tumor (T) category of the American Joint Committee on Cancer (AJCC) classification.基于美国癌症联合委员会(AJCC)分类的肿瘤(T)类别对眼睑皮脂腺癌的预后评估
Int Ophthalmol. 2016 Oct;36(5):681-90. doi: 10.1007/s10792-016-0187-6. Epub 2016 Feb 1.
8
Sebaceous gland carcinoma of the eyelid: clinicopathological features and outcome in Asian Indians.眼睑皮脂腺癌:亚洲印度人的临床病理特征及预后
Eye (Lond). 2015 Jul;29(7):958-63. doi: 10.1038/eye.2015.79. Epub 2015 May 22.
9
Prognostic value of clinical and pathologic T stages defined by the American Joint Committee on Cancer for eyelid sebaceous carcinoma in Korea.美国癌症联合委员会定义的临床和病理T分期对韩国眼睑皮脂腺癌的预后价值。
Jpn J Ophthalmol. 2014 Jul;58(4):327-33. doi: 10.1007/s10384-014-0321-9. Epub 2014 Apr 25.
10
Periocular sebaceous gland carcinoma: A comprehensive review.眼周皮脂腺癌:一项全面综述。
Saudi J Ophthalmol. 2013 Jul;27(3):159-65. doi: 10.1016/j.sjopt.2013.05.002.