Suppr超能文献

超微剂量胸部 CT 扫描在小儿肺部疾病评估中的应用,无需麻醉。

Ultra-low-dose chest computed tomography without anesthesia in the assessment of pediatric pulmonary diseases.

机构信息

Universidade de Santa Cruz, Departamento de Cirurgia, Santa Cruz, RS, Brazil.

Universidade Federal de Ciências da Saúde de Porto Alegre, Porto Alegre, RS, Brazil; Universidade Federal de Ciências da Saúde de Porto Alegre, Laboratório de Pesquisa em Imagens Médicas, Porto Alegre, RS, Brazil.

出版信息

J Pediatr (Rio J). 2020 Jan-Feb;96(1):92-99. doi: 10.1016/j.jped.2018.07.010. Epub 2018 Sep 17.

Abstract

OBJECTIVE

To evaluate the feasibility of using ultra-low-dose computed tomography of the chest with iterative reconstruction without anesthesia for assessment of pulmonary diseases in children.

METHODS

This prospective study enrolled 86 consecutive pediatric patients (ranging from 1 month to 18 years) that underwent ultra-low-dose computed tomography due to suspicion of pulmonary diseases, without anesthesia and contrast. Parameters used were: 80kVp; 15-30mA; acquisition time, 0.5s; and pitch, 1.375. The adaptive statistical iterative reconstruction technique was used. Subjective visual evaluation and quantitative assessment of image quality were done using a 5-point scale in 12 different structures of the chest.

RESULTS

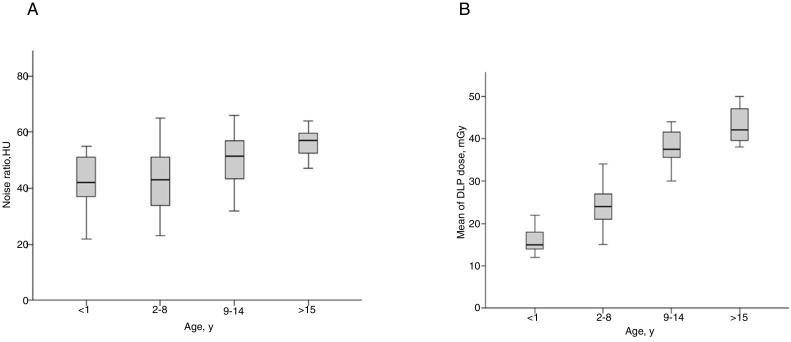
Mean age was 66 months (interquartile range, 16-147). Final diagnosis was performed in all exams, and 44 (51.2%) were diagnosed with cystic fibrosis, 27 (31.4%) with bronchiolitis obliterans, and 15 (17.4%) with congenital pulmonary airways malformations. Diagnostic quality was achieved in 98.9%, of which 82.6% were considered excellent and 16.3% were slightly blurred but did not interfere with image evaluation. Only one case (1.2%) presented moderate blurring that slightly compromised the image, and previous examinations demonstrated findings compatible with bronchiolitis obliterans. Mean effective radiation dose was 0.39±0.15mSv. Percentages of images with motion artifacts were 0.3% for cystic fibrosis, 1.3% for bronchiolitis obliterans, and 1.1% for congenital pulmonary airways malformations.

CONCLUSION

Chest ultra-low-dose computed tomography without sedation or anesthesia delivering a sub-millisievert dose can provide image quality to allow identification of common pulmonary anatomy and diseases.

摘要

目的

评估在不进行麻醉的情况下使用超低剂量胸部 CT 进行迭代重建以评估儿童肺部疾病的可行性。

方法

本前瞻性研究纳入了 86 例连续的儿科患者(年龄 1 个月至 18 岁),因怀疑患有肺部疾病而接受了超低剂量 CT 检查,未进行麻醉和造影。使用的参数为:80kVp;15-30mA;采集时间为 0.5s;螺距为 1.375。使用自适应统计迭代重建技术。采用 5 分制对胸部 12 个不同结构进行主观视觉评估和图像质量的定量评估。

结果

平均年龄为 66 个月(四分位距,16-147)。所有检查均做出了最终诊断,其中 44 例(51.2%)诊断为囊性纤维化,27 例(31.4%)诊断为闭塞性细支气管炎,15 例(17.4%)诊断为先天性肺气道畸形。诊断质量达到 98.9%,其中 82.6%被认为是极好的,16.3%稍微模糊但不影响图像评估。只有 1 例(1.2%)表现为中度模糊,稍微影响图像质量,而之前的检查结果显示与闭塞性细支气管炎相符。平均有效辐射剂量为 0.39±0.15mSv。囊性纤维化、闭塞性细支气管炎和先天性肺气道畸形的运动伪影图像比例分别为 0.3%、1.3%和 1.1%。

结论

不进行镇静或麻醉的胸部超低剂量 CT 可提供足以识别常见肺部解剖结构和疾病的图像质量,且剂量可低至亚毫希沃特。

https://cdn.ncbi.nlm.nih.gov/pmc/blobs/2e6e/9432340/dbc33e3a0501/gr1.jpg

文献AI研究员

20分钟写一篇综述,助力文献阅读效率提升50倍。

立即体验

用中文搜PubMed

大模型驱动的PubMed中文搜索引擎

马上搜索

文档翻译

学术文献翻译模型,支持多种主流文档格式。

立即体验