Suppr超能文献

变异性分析技术在糖尿病患者连续血糖监测衍生时间序列中的应用

Applications of Variability Analysis Techniques for Continuous Glucose Monitoring Derived Time Series in Diabetic Patients.

作者信息

Kohnert Klaus-Dieter, Heinke Peter, Vogt Lutz, Augstein Petra, Salzsieder Eckhard

机构信息

Institute of Diabetes "Gerhardt Katsch", Karlsburg, Germany.

Diabetes Service Center, Karlsburg, Germany.

出版信息

Front Physiol. 2018 Sep 6;9:1257. doi: 10.3389/fphys.2018.01257. eCollection 2018.

Abstract

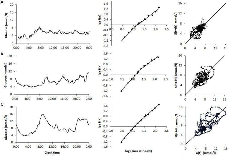
Methods from non-linear dynamics have enhanced understanding of functional dysregulation in various diseases but received less attention in diabetes. This retrospective cross-sectional study evaluates and compares relationships between indices of non-linear dynamics and traditional glycemic variability, and their potential application in diabetes control. Continuous glucose monitoring provided data for 177 subjects with type 1 ( = 22), type 2 diabetes ( = 143), and 12 non-diabetic subjects. Each time series comprised 576 glucose values. We calculated Poincaré plot measures (SD1, SD2), shape (SFE) and area of the fitting ellipse (AFE), multiscale entropy (MSE) index, and detrended fluctuation exponents (). The glycemic variability metrics were the coefficient of variation (%CV) and standard deviation. Time of glucose readings in the target range (TIR) defined the quality of glycemic control. The Poincaré plot indices and exponents were higher ( < 0.05) in type 1 than in the type 2 diabetes; SD1 (mmol/l): 1.64 ± 0.39 vs. 0.94 ± 0.35, SD2 (mmol/l): 4.06 ± 0.99 vs. 2.12 ± 1.04, AFE (mmol/l): 21.71 ± 9.82 vs. 7.25 ± 5.92, and α1: 1.94 ± 0.12 vs. 1.75 ± 0.12, : 1.38 ± 0.11 vs. 1.30 ± 0.15. The MSE index decreased consistently from the non-diabetic to the type 1 diabetic group (5.31 ± 1.10 vs. 3.29 ± 0.83, 0.001); higher indices correlated with lower %CV values ( -0.313, 0.001). In a subgroup of type 1 diabetes patients, insulin pump therapy significantly decreased SD1 (-0.85 mmol/l), SD2 (-1.90 mmol/l), and AFE (-16.59 mmol/l), concomitantly with %CV (-15.60). The MSE index declined from 3.09 ± 0.94 to 1.93 ± 0.40 ( = 0.001), whereas the exponents and did not. On multivariate regression analyses, SD1, SD2, SFE, and AFE emerged as dominant predictors of TIR ( = -0.78, -1.00, -0.29, and -0.58) but %CV as a minor one, though and MSE failed. In the regression models, including SFE, AFE, and ( = -0.32), %CV was not a significant predictor. Poincaré plot descriptors provide additional information to conventional variability metrics and may complement assessment of glycemia, but complexity measures produce mixed results.

摘要

非线性动力学方法增进了人们对各种疾病中功能失调的理解,但在糖尿病领域受到的关注较少。这项回顾性横断面研究评估并比较了非线性动力学指标与传统血糖变异性之间的关系,以及它们在糖尿病控制中的潜在应用。连续血糖监测为177名1型糖尿病患者(n = 22)、2型糖尿病患者(n = 143)和12名非糖尿病受试者提供了数据。每个时间序列包含576个血糖值。我们计算了庞加莱图测量值(SD1、SD2)、拟合椭圆的形状(SFE)和面积(AFE)、多尺度熵(MSE)指数以及去趋势波动指数(α1、α2)。血糖变异性指标为变异系数(%CV)和标准差。血糖读数处于目标范围内的时间(TIR)定义了血糖控制质量。1型糖尿病患者的庞加莱图指标和波动指数高于2型糖尿病患者(P < 0.05);SD1(mmol/l):1.64 ± 0.39 对比 0.94 ± 0.35,SD2(mmol/l):4.06 ± 0.99 对比 2.12 ± 1.04,AFE(mmol/l):21.71 ± 9.82 对比 7.25 ± 5.92,α1:1.94 ± 0.12 对比 1.75 ± 0.12,α2:1.38 ± 0.11 对比 1.30 ± 0.15。MSE指数从非糖尿病组到1型糖尿病组持续下降(5.31 ± 1.10 对比 3.29 ± 0.83,P < 0.001);较高的指数与较低的%CV值相关(r = -0.313,P < 0.001)。在1型糖尿病患者亚组中,胰岛素泵治疗显著降低了SD1(-0.85 mmol/l)、SD2(-1.90 mmol/l)和AFE(-16.59 mmol/l),同时%CV也降低了(-15.60)。MSE指数从3.09 ± 0.94降至1.93 ± 0.40(P = 0.001),而波动指数α1和α2没有变化。在多变量回归分析中,SD1、SD2、SFE和AFE成为TIR的主要预测指标(β = -0.78、-1.00、-0.29和-0.58),但%CV是次要指标,尽管α1和MSE未达到显著水平。在包含SFE、AFE和α2的回归模型中(β = -0.32),%CV不是显著预测指标。庞加莱图描述符为传统变异性指标提供了额外信息,可能补充血糖评估,但复杂性测量结果不一。

https://cdn.ncbi.nlm.nih.gov/pmc/blobs/a992/6136234/7f0513e89902/fphys-09-01257-g001.jpg

文献AI研究员

20分钟写一篇综述,助力文献阅读效率提升50倍。

立即体验

用中文搜PubMed

大模型驱动的PubMed中文搜索引擎

马上搜索

文档翻译

学术文献翻译模型,支持多种主流文档格式。

立即体验