Suppr超能文献

手性内酰胺醇原位生成的噁唑硼烷催化剂在酮的实用对映选择性还原中的应用。

Practical Enantioselective Reduction of Ketones Using Oxazaborolidine Catalysts Generated In Situ from Chiral Lactam Alcohols.

机构信息

Department of Applied Biological Science, Faculty of Agriculture, Kagawa University, Miki-cho, Kagawa 761-0795, Japan.

出版信息

Molecules. 2018 Sep 20;23(10):2408. doi: 10.3390/molecules23102408.

Abstract

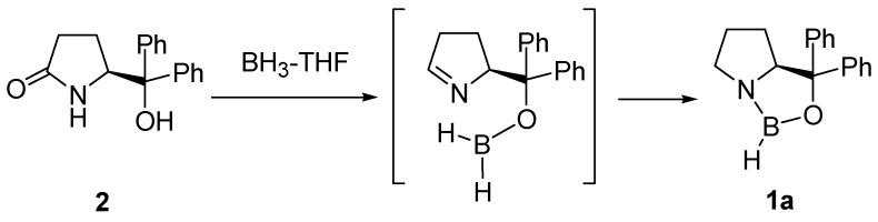
Oxazaborolidine catalyst (CBS catalyst) has been extensively used for catalytic borane reduction with a predictable absolute stereochemistry and high enantioselectivity. However, the use of isolated CBS catalyst sometimes has the drawback of low reproducibility due to the aging of the CBS catalyst during storage. Therefore, we investigated a more reliable and practical method for the reduction of a variety of ketones including challenging substrates, primary aliphatic ketones, α,β-enones, and trifluoromethyl ketones. This review surveys the developments in borane reduction using oxazaborolidine catalysts generated in situ from chiral lactam alcohols and borane.

摘要

噁唑硼烷催化剂(CBS 催化剂)已广泛用于催化硼烷还原反应,具有可预测的绝对立体化学和高对映选择性。然而,由于 CBS 催化剂在储存过程中的老化,使用分离的 CBS 催化剂有时会存在重现性低的缺点。因此,我们研究了一种更可靠和实用的方法,用于还原包括具有挑战性的底物、伯脂肪族酮、α,β-烯酮和三氟甲基酮在内的各种酮。本综述调查了使用手性内酰胺醇和硼烷原位生成的噁唑硼烷催化剂进行硼烷还原的发展。

https://cdn.ncbi.nlm.nih.gov/pmc/blobs/c458/6222374/780aa2f418f1/molecules-23-02408-g001.jpg

文献AI研究员

20分钟写一篇综述,助力文献阅读效率提升50倍。

立即体验

用中文搜PubMed

大模型驱动的PubMed中文搜索引擎

马上搜索

文档翻译

学术文献翻译模型,支持多种主流文档格式。

立即体验