• 文献检索
  • 文档翻译
  • 深度研究
  • 学术资讯
  • Suppr Zotero 插件Zotero 插件
  • 邀请有礼
  • 套餐&价格
  • 历史记录
应用&插件
Suppr Zotero 插件Zotero 插件浏览器插件Mac 客户端Windows 客户端微信小程序
定价
高级版会员购买积分包购买API积分包
服务
文献检索文档翻译深度研究API 文档MCP 服务
关于我们
关于 Suppr公司介绍联系我们用户协议隐私条款
关注我们

Suppr 超能文献

核心技术专利:CN118964589B侵权必究
粤ICP备2023148730 号-1Suppr @ 2026

文献检索

告别复杂PubMed语法,用中文像聊天一样搜索,搜遍4000万医学文献。AI智能推荐,让科研检索更轻松。

立即免费搜索

文件翻译

保留排版,准确专业,支持PDF/Word/PPT等文件格式,支持 12+语言互译。

免费翻译文档

深度研究

AI帮你快速写综述,25分钟生成高质量综述,智能提取关键信息,辅助科研写作。

立即免费体验

体内水分中生物氧天然丰度的变化对使用双标记水时采用贝叶斯方法建模总能量消耗的启示。

Implications of the variation in biological O natural abundance in body water to inform use of Bayesian methods for modelling total energy expenditure when using doubly labelled water.

作者信息

Singh Priya A, Orford Elise R, Donkers Kevin, Bluck Leslie J C, Venables Michelle C

机构信息

Stable Isotope Facility, MRC Elsie Widdowson Laboratory, 120 Fulbourn Road, Cambridge, CB1 9NL, UK.

出版信息

Rapid Commun Mass Spectrom. 2018 Dec 30;32(24):2122-2128. doi: 10.1002/rcm.8291.

DOI:10.1002/rcm.8291
PMID:30252964
原文链接:https://pmc.ncbi.nlm.nih.gov/articles/PMC6283043/
Abstract

RATIONALE

Variation in O natural abundance can lead to errors in the calculation of total energy expenditure (TEE) when using the doubly labelled water (DLW) method. The use of Bayesian statistics allows a distribution to be assigned to O natural abundance, thus allowing a best-fit value to be used in the calculation. The aim of this study was to calculate within-subject variation in O natural abundance and apply this to our original working model for TEE calculation.

METHODS

Urine samples from a cohort of 99 women, dosed with 50 g of 20% H O, undertaking a 14-day breast milk intake protocol, were analysed for O. The within-subject variance was calculated and applied to a Bayesian model for the calculation of TEE in a separate cohort of 36 women. This cohort of 36 women had taken part in a DLW study and had been dosed with 80 mg/kg body weight H O and 150 mg/kg body weight H O.

RESULTS

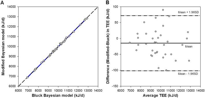
The average change in the δ O value from the 99 women was 1.14‰ (0.77) [0.99, 1.29], with the average within-subject O natural abundance variance being 0.13‰ (0.25) [0.08, 0.18]. There were no significant differences in TEE (9745 (1414), 9804 (1460) and 9789 (1455) kJ/day, non-Bayesian, Bluck Bayesian and modified Bayesian models, respectively) between methods.

CONCLUSIONS

Our findings demonstrate that using a reduced natural variation in O as calculated from a population does not impact significantly on the calculation of TEE in our model. It may therefore be more conservative to allow a larger variance to account for individual extremes.

摘要

原理

使用双标记水(DLW)法时,氧自然丰度的变化会导致总能量消耗(TEE)计算出现误差。贝叶斯统计方法允许为氧自然丰度分配一个分布,从而在计算中使用最佳拟合值。本研究的目的是计算个体内氧自然丰度的变化,并将其应用于我们最初的TEE计算工作模型。

方法

对99名女性组成的队列的尿液样本进行氧分析,这些女性摄入了50 g 20%的H₂¹⁸O,并遵循14天的母乳摄入方案。计算个体内方差,并将其应用于贝叶斯模型,以计算另一组36名女性的TEE。这36名女性参与了一项DLW研究,她们按体重每千克80 mg的H₂¹⁸O和每千克150 mg的H₂³H¹⁶O进行了剂量摄入。

结果

99名女性的δ¹⁸O值平均变化为1.14‰(0.77)[0.99,1.29],个体内氧自然丰度的平均方差为0.13‰(0.25)[0.08,0.18]。不同方法之间的TEE无显著差异(非贝叶斯模型、Bluck贝叶斯模型和改良贝叶斯模型分别为9745(1414)、9804(1460)和9789(1455)kJ/天)。

结论

我们的研究结果表明,在我们的模型中,使用根据群体计算得出的氧自然变化减少值对TEE的计算没有显著影响。因此,允许更大的方差以考虑个体极端情况可能更为保守。

https://cdn.ncbi.nlm.nih.gov/pmc/blobs/9dc1/6283043/c67b4fb4e6c2/RCM-32-2122-g002.jpg
https://cdn.ncbi.nlm.nih.gov/pmc/blobs/9dc1/6283043/44fa626df9e7/RCM-32-2122-g001.jpg
https://cdn.ncbi.nlm.nih.gov/pmc/blobs/9dc1/6283043/c67b4fb4e6c2/RCM-32-2122-g002.jpg
https://cdn.ncbi.nlm.nih.gov/pmc/blobs/9dc1/6283043/44fa626df9e7/RCM-32-2122-g001.jpg
https://cdn.ncbi.nlm.nih.gov/pmc/blobs/9dc1/6283043/c67b4fb4e6c2/RCM-32-2122-g002.jpg

相似文献

1
Implications of the variation in biological O natural abundance in body water to inform use of Bayesian methods for modelling total energy expenditure when using doubly labelled water.体内水分中生物氧天然丰度的变化对使用双标记水时采用贝叶斯方法建模总能量消耗的启示。
Rapid Commun Mass Spectrom. 2018 Dec 30;32(24):2122-2128. doi: 10.1002/rcm.8291.
2
Application of Bayesian analysis to the doubly labelled water method for total energy expenditure in humans.贝叶斯分析在人体总能量消耗双标记水法中的应用。
Rapid Commun Mass Spectrom. 2018 Jan 15;32(1):23-32. doi: 10.1002/rcm.8013.
3
Inter- and intraindividual correlations of background abundances of (2)H, (18)O and (17)O in human urine and implications for DLW measurements.人体尿液中(2)H、(18)O和(17)O背景丰度的个体间和个体内相关性及其对双标记水测量的影响。
Eur J Clin Nutr. 2015 Oct;69(10):1091-8. doi: 10.1038/ejcn.2015.10. Epub 2015 Mar 25.
4
Doubly labelled water for determining total energy expenditure in adult critically ill and acute care hospitalized inpatients: A scoping review.应用双标水法测定成年危重症和急症住院患者的总能量消耗:系统评价。
Clin Nutr. 2022 Feb;41(2):424-432. doi: 10.1016/j.clnu.2021.12.017. Epub 2021 Dec 16.
5
Dilution space ratio of 2H and 18O of doubly labeled water method in humans.人体双标记水法中2H和18O的稀释空间比。
J Appl Physiol (1985). 2016 Jun 1;120(11):1349-54. doi: 10.1152/japplphysiol.01037.2015. Epub 2016 Mar 17.
6
Total energy expenditure assessed by salivary doubly labelled water analysis and its relevance for short-term energy balance in humans.通过唾液双标记水分析评估的总能量消耗及其与人类短期能量平衡的相关性。
Rapid Commun Mass Spectrom. 2016 Jan 15;30(1):143-50. doi: 10.1002/rcm.7412.
7
Total energy expenditure & physical activity level in chronically energy deficient Indian males measured by the doubly labelled water technique.通过双标水技术测量的长期能量不足的印度男性的总能量消耗和身体活动水平。
Indian J Med Res. 2000 Apr;111:138-46.
8
Validation of self-reported energy intake by a self-administered diet history questionnaire using the doubly labeled water method in 140 Japanese adults.在140名日本成年人中,使用双标水法通过自行填写的饮食史问卷对自我报告的能量摄入量进行验证。
Eur J Clin Nutr. 2008 Nov;62(11):1343-50. doi: 10.1038/sj.ejcn.1602858. Epub 2007 Aug 1.
9
The Assessment of Total Energy Expenditure During a 14-Day In-Season Period of Professional Rugby League Players Using the Doubly Labelled Water Method.使用双标记水法评估职业橄榄球联盟球员赛季中14天内的总能量消耗
Int J Sport Nutr Exerc Metab. 2016 Oct;26(5):464-472. doi: 10.1123/ijsnem.2015-0335. Epub 2016 Aug 24.
10
Relationship between physical activity measured using accelerometers and energy expenditure measured using doubly labelled water in Indian children.使用加速度计测量的身体活动与使用双标记水测量的能量消耗在印度儿童中的关系。
Eur J Clin Nutr. 2009 Nov;63(11):1313-9. doi: 10.1038/ejcn.2009.95. Epub 2009 Aug 19.

本文引用的文献

1
Application of Bayesian analysis to the doubly labelled water method for total energy expenditure in humans.贝叶斯分析在人体总能量消耗双标记水法中的应用。
Rapid Commun Mass Spectrom. 2018 Jan 15;32(1):23-32. doi: 10.1002/rcm.8013.
2
Inter- and intraindividual correlations of background abundances of (2)H, (18)O and (17)O in human urine and implications for DLW measurements.人体尿液中(2)H、(18)O和(17)O背景丰度的个体间和个体内相关性及其对双标记水测量的影响。
Eur J Clin Nutr. 2015 Oct;69(10):1091-8. doi: 10.1038/ejcn.2015.10. Epub 2015 Mar 25.
3
Bayesian hierarchical methods to interpret the (13)C-octanoic acid breath test for gastric emptying.
贝叶斯层次分析法解读(13)C-辛酸呼气试验用于胃排空。
Digestion. 2011;83(1-2):96-107. doi: 10.1159/000316823. Epub 2010 Nov 1.
4
Measurement of total carbon dioxide production by means of D2O18.通过D2O18测量总二氧化碳生成量。
J Appl Physiol. 1955 May;7(6):704-10. doi: 10.1152/jappl.1955.7.6.704.
5
Bayesian hierarchical approach to estimate insulin sensitivity by minimal model.基于最小模型的贝叶斯分层方法估计胰岛素敏感性
Clin Sci (Lond). 2003 Nov;105(5):551-60. doi: 10.1042/CS20030117.
6
Natural abundance deuterium and 18-oxygen effects on the precision of the doubly labeled water method.天然丰度氘和18-氧对双标记水法精度的影响。
Am J Physiol Endocrinol Metab. 2001 Jun;280(6):E965-72. doi: 10.1152/ajpendo.2001.280.6.E965.
7
The turnover of body water as an indicator of health.身体水分周转率作为健康指标
J Physiol Anthropol Appl Human Sci. 2000 Sep;19(5):207-12. doi: 10.2114/jpa.19.207.
8
Energy expenditure and balance during spaceflight on the space shuttle.航天飞机太空飞行期间的能量消耗与平衡
Am J Physiol. 1999 Jun;276(6 Pt 2):R1739-48. doi: 10.1152/ajpregu.1999.276.6.r1739.
9
Adaptation of the doubly labeled water method for subjects consuming isotopically enriched water.
J Appl Physiol (1985). 1997 Feb;82(2):563-70. doi: 10.1152/jappl.1997.82.2.563.
10
Precision of DLW energy expenditure measurements: contribution of natural abundance variations.双标记水法能量消耗测量的精度:自然丰度变化的影响
Am J Physiol. 1996 Jan;270(1 Pt 1):E164-9. doi: 10.1152/ajpendo.1996.270.1.E164.