Suppr超能文献

愈合性与裂开性创伤性伤口的愈合前光谱学差异。

Preclosure spectroscopic differences between healed and dehisced traumatic wounds.

机构信息

Department of Surgery, Uniformed Services University of the Health Sciences and Walter Reed National Military Medical Center (USUHS-Walter Reed Surgery), Bethesda, Maryland, United States of America.

Orthopaedics, USUHS-Walter Reed Surgery, Walter Reed National Military Medical Center, Bethesda, Maryland, United States of America.

出版信息

PLoS One. 2018 Sep 27;13(9):e0204453. doi: 10.1371/journal.pone.0204453. eCollection 2018.

Abstract

BACKGROUND

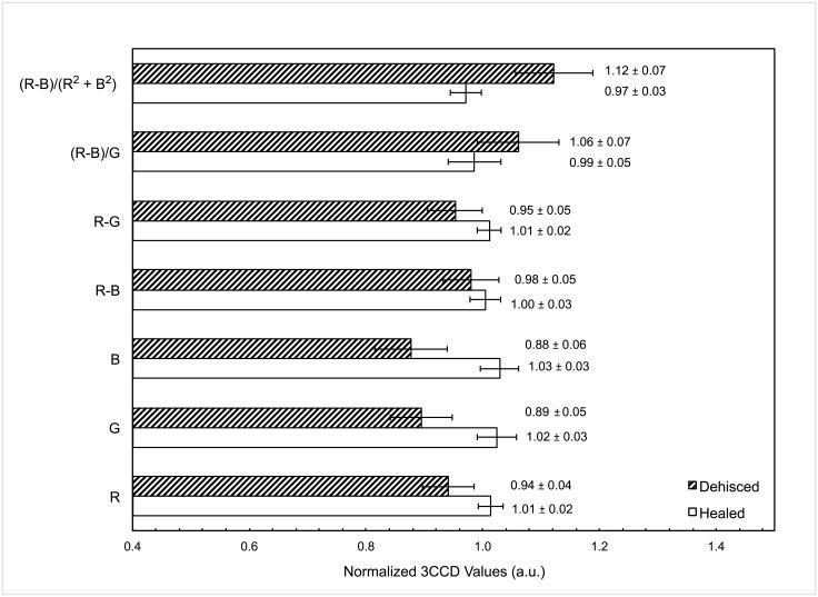
The complexity and severity of traumatic wounds in military and civilian trauma demands improved wound assessment, before, during, and after treatment. Here, we explore the potential of 3 charge-coupled device (3CCD) imaging values to distinguish between traumatic wounds that heal following closure and those that fail. Previous studies demonstrate that normalized 3CCD imaging values exhibit a high correlation with oxygen saturation and allow for comparison of values between diverse clinical settings, including utilizing different equipment and lighting.

METHODS

We screened 119 patients at Walter Reed National Military Medical Center and at Grady Memorial Hospital with at least one traumatic extremity wound of ≥ 75 cm2. We collected images of each wound during each débridement surgery for a total of 66 patients. An in-house written computer application selected a region of interest in the images, separated the pixel color values, calculated relative values, and normalized them. We followed patients until the enrolled wounds were surgically closed, quantifying the number of wounds that dehisced (defined as wound failure or infection requiring return to the operating room after closure) or healed.

RESULTS

Wound failure occurred in 20% (19 of 96) of traumatic wounds. Normalized intensity values for patients with wounds that healed successfully were, on average, significantly different from values for patients with wounds that failed (p ≤ 0.05). Simple thresholding models and partial least squares discriminant analysis models performed poorly. However, a hierarchical cluster analysis model created with 17 variables including 3CCD data, wound surface area, and time from injury predicts wound failure with 76.9% sensitivity, 76.5% specificity, 76.6% accuracy, and a diagnostic odds ratio of 10.8 (95% confidence interval: 2.6-45.9).

CONCLUSIONS

Imaging using 3CCD technology may provide a non-invasive and cost-effective method of aiding surgeons in deciding if wounds are ready for closure and could potentially decrease the number of required débridements and hospital days. The process may be automated to provide real-time feedback in the operating room and clinic. The low cost and small size of the cameras makes this technology attractive for austere and shipboard environments where space and weight are at a premium.

摘要

背景

军事和民用创伤中的创伤复杂性和严重程度要求在治疗之前、期间和之后改善伤口评估。在这里,我们探讨了 3 电荷耦合器件 (3CCD) 成像值的潜力,以区分那些在闭合后愈合的创伤和那些失败的创伤。先前的研究表明,归一化的 3CCD 成像值与氧饱和度高度相关,并允许在不同的临床环境中比较值,包括使用不同的设备和照明。

方法

我们在 Walter Reed 国家军事医学中心和 Grady Memorial 医院筛选了 119 名至少有一个 ≥75cm2 的创伤性四肢伤口的患者。我们在每个清创手术期间收集每个伤口的图像,共 66 名患者。内部编写的计算机应用程序在图像中选择感兴趣的区域,分离像素颜色值,计算相对值,并对其进行归一化。我们跟踪患者,直到入组的伤口手术闭合,量化伤口裂开的数量(定义为伤口失败或感染,需要在闭合后返回手术室)或愈合。

结果

20%(96 例中的 19 例)的创伤性伤口发生伤口失败。成功愈合的患者的归一化强度值平均与伤口失败的患者的强度值显著不同(p≤0.05)。简单的阈值模型和偏最小二乘判别分析模型表现不佳。然而,使用包括 3CCD 数据、伤口表面积和受伤后时间在内的 17 个变量创建的层次聚类分析模型以 76.9%的灵敏度、76.5%的特异性、76.6%的准确性和 10.8 的诊断比值比(95%置信区间:2.6-45.9)预测伤口失败。

结论

使用 3CCD 技术进行成像可能提供一种非侵入性和经济有效的方法,帮助外科医生决定伤口是否准备好闭合,并可能减少所需的清创次数和住院天数。该过程可以自动化,以便在手术室和诊所中提供实时反馈。相机的低成本和小尺寸使其成为在空间和重量有限的简陋和舰船上环境中极具吸引力的技术。

https://cdn.ncbi.nlm.nih.gov/pmc/blobs/1b5c/6160065/b39926320b9f/pone.0204453.g001.jpg

相似文献

1
Preclosure spectroscopic differences between healed and dehisced traumatic wounds.
PLoS One. 2018 Sep 27;13(9):e0204453. doi: 10.1371/journal.pone.0204453. eCollection 2018.
2
Utilizing Precision Medicine to Estimate Timing for Surgical Closure of Traumatic Extremity Wounds.
Ann Surg. 2019 Sep;270(3):535-543. doi: 10.1097/SLA.0000000000003470.
4
Correlation of procalcitonin and cytokine expression with dehiscence of wartime extremity wounds.
J Bone Joint Surg Am. 2008 Mar;90(3):580-8. doi: 10.2106/JBJS.G.00265.
5
Metalloproteinase expression is associated with traumatic wound failure.
J Surg Res. 2010 Apr;159(2):633-9. doi: 10.1016/j.jss.2009.08.021. Epub 2009 Sep 15.
6
Frequency of debridements and time to heal: a retrospective cohort study of 312 744 wounds.
JAMA Dermatol. 2013 Sep;149(9):1050-8. doi: 10.1001/jamadermatol.2013.4960.
7
An improved automated type-based method for area assessment of wound surface.
Wound Repair Regen. 2017 Jan;25(1):150-158. doi: 10.1111/wrr.12495. Epub 2017 Jan 25.
9
Nonsteroidal anti-inflammatory drugs may affect cytokine response and benefit healing of combat-related extremity wounds.
Surgery. 2017 Apr;161(4):1164-1173. doi: 10.1016/j.surg.2016.10.011. Epub 2016 Dec 3.

本文引用的文献

1
Combined reflectance and Raman spectroscopy to assess degree of in vivo angiogenesis after tissue injury.
J Surg Res. 2017 Mar;209:174-177. doi: 10.1016/j.jss.2016.09.017. Epub 2016 Sep 19.
2
Critical Review of Noninvasive Optical Technologies for Wound Imaging.
Adv Wound Care (New Rochelle). 2016 Aug 1;5(8):349-359. doi: 10.1089/wound.2015.0678.
3
Cutaneous Imaging Technologies in Acute Burn and Chronic Wound Care.
Plast Reconstr Surg. 2016 Sep;138(3 Suppl):119S-128S. doi: 10.1097/PRS.0000000000002654.
5
Review of near-infrared methods for wound assessment.
J Biomed Opt. 2016 Sep;21(9):091304. doi: 10.1117/1.JBO.21.9.091304.
7
Lessons of War: Turning Data Into Decisions.
EBioMedicine. 2015 Jul 17;2(9):1235-42. doi: 10.1016/j.ebiom.2015.07.022. eCollection 2015 Sep.
8
Noninvasive Multimodal Imaging to Predict Recovery of Locomotion after Extended Limb Ischemia.
PLoS One. 2015 Sep 14;10(9):e0137430. doi: 10.1371/journal.pone.0137430. eCollection 2015.
9
Serum Inflammatory Cytokine Markers of Invasive Fungal Infection in Previously Immunocompetent Battle Casualties.
Surg Infect (Larchmt). 2015 Oct;16(5):526-32. doi: 10.1089/sur.2013.124. Epub 2015 Jun 25.
10
Noninvasive imaging technologies for cutaneous wound assessment: A review.
Wound Repair Regen. 2015 Mar-Apr;23(2):149-62. doi: 10.1111/wrr.12262.

文献AI研究员

20分钟写一篇综述,助力文献阅读效率提升50倍。

立即体验

用中文搜PubMed

大模型驱动的PubMed中文搜索引擎

马上搜索

文档翻译

学术文献翻译模型,支持多种主流文档格式。

立即体验