• 文献检索
  • 文档翻译
  • 深度研究
  • 学术资讯
  • Suppr Zotero 插件Zotero 插件
  • 邀请有礼
  • 套餐&价格
  • 历史记录
应用&插件
Suppr Zotero 插件Zotero 插件浏览器插件Mac 客户端Windows 客户端微信小程序
定价
高级版会员购买积分包购买API积分包
服务
文献检索文档翻译深度研究API 文档MCP 服务
关于我们
关于 Suppr公司介绍联系我们用户协议隐私条款
关注我们

Suppr 超能文献

核心技术专利:CN118964589B侵权必究
粤ICP备2023148730 号-1Suppr @ 2026

文献检索

告别复杂PubMed语法,用中文像聊天一样搜索,搜遍4000万医学文献。AI智能推荐,让科研检索更轻松。

立即免费搜索

文件翻译

保留排版,准确专业,支持PDF/Word/PPT等文件格式,支持 12+语言互译。

免费翻译文档

深度研究

AI帮你快速写综述,25分钟生成高质量综述,智能提取关键信息,辅助科研写作。

立即免费体验

牙龈卟啉单胞菌可绕过上皮屏障并调节体外 3D 球体模型中的成纤维细胞炎症反应。

Porphyromonas gingivalis bypasses epithelial barrier and modulates fibroblastic inflammatory response in an in vitro 3D spheroid model.

机构信息

INSERM (French National Institute of Health and Medical Research), UMR 1260, Regenerative Nanomedicine (RNM), Fédération de Médecine Translationnelle de Strasbourg (FMTS), 11 rue Humann, Strasbourg, 67000, France.

Université de Strasbourg (UDS), Faculté de Chirurgie-dentaire, 8 rue Sainte-Elisabeth, Strasbourg, 67000, France.

出版信息

Sci Rep. 2018 Oct 8;8(1):14914. doi: 10.1038/s41598-018-33267-4.

DOI:10.1038/s41598-018-33267-4
PMID:30297793
原文链接:https://pmc.ncbi.nlm.nih.gov/articles/PMC6175856/
Abstract

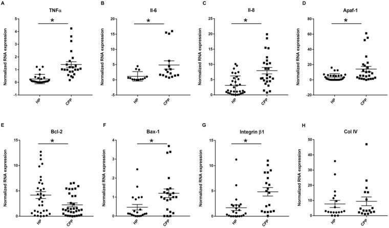
Porphyromonas gingivalis-induced inflammatory effects are mostly investigated in monolayer cultured cells. The aim of this study was to develop a 3D spheroid model of gingiva to take into account epithelio-fibroblastic interactions. Human gingival epithelial cells (ECs) and human oral fibroblasts (FBs) were cultured by hanging drop method to generate 3D microtissue (MT) whose structure was analyzed on histological sections and the cell-to-cell interactions were observed by scanning and transmission electron microscopy (SEM and TEM). MTs were infected by P. gingivalis and the impact on cell death (Apaf-1, caspase-3), inflammatory markers (TNF-α, IL-6, IL-8) and extracellular matrix components (Col-IV, E-cadherin, integrin β1) was evaluated by immunohistochemistry and RT-qPCR. Results were compared to those observed in situ in experimental periodontitis and in human gingival biopsies. MTs exhibited a well-defined spatial organization where ECs were organized in an external cellular multilayer, while, FBs constituted the core. The infection of MT demonstrated the ability of P. gingivalis to bypass the epithelial barrier in order to reach the fibroblastic core and induce disorganization of the spheroid structure. An increased cell death was observed in fibroblastic core. The development of such 3D model may be useful to define the role of EC-FB interactions on periodontal host-immune response and to assess the efficacy of new therapeutics.

摘要

牙龈卟啉单胞菌诱导的炎症反应主要在单层培养细胞中进行研究。本研究旨在建立一种考虑上皮-成纤维细胞相互作用的牙龈 3D 球体模型。通过悬滴法培养人牙龈上皮细胞(ECs)和人口腔成纤维细胞(FBs),生成 3D 微组织(MT),对其结构进行组织学切片分析,并通过扫描和透射电子显微镜(SEM 和 TEM)观察细胞间相互作用。用牙龈卟啉单胞菌感染 MT,通过免疫组织化学和 RT-qPCR 评估细胞死亡(凋亡相关因子 1(Apaf-1)、半胱天冬酶-3)、炎症标志物(肿瘤坏死因子-α(TNF-α)、白细胞介素-6(IL-6)、白细胞介素-8(IL-8))和细胞外基质成分(IV 型胶原(Col-IV)、E-钙黏蛋白、整合素β1)的变化。并将结果与实验性牙周炎和人牙龈活检中的观察结果进行比较。MT 显示出明确的空间组织,EC 排列在外层细胞的多层中,而 FB 构成核心。MT 的感染表明牙龈卟啉单胞菌能够绕过上皮屏障,到达成纤维细胞核心,并诱导球体结构的紊乱。在成纤维细胞核心观察到细胞死亡增加。这种 3D 模型的发展可能有助于确定 EC-FB 相互作用在牙周宿主免疫反应中的作用,并评估新疗法的疗效。

https://cdn.ncbi.nlm.nih.gov/pmc/blobs/192e/6175856/129de53a5d2d/41598_2018_33267_Fig8_HTML.jpg
https://cdn.ncbi.nlm.nih.gov/pmc/blobs/192e/6175856/64c9745b51f8/41598_2018_33267_Fig1_HTML.jpg
https://cdn.ncbi.nlm.nih.gov/pmc/blobs/192e/6175856/098a73d7aa43/41598_2018_33267_Fig2_HTML.jpg
https://cdn.ncbi.nlm.nih.gov/pmc/blobs/192e/6175856/3295b9dfda01/41598_2018_33267_Fig3_HTML.jpg
https://cdn.ncbi.nlm.nih.gov/pmc/blobs/192e/6175856/14526d152ff8/41598_2018_33267_Fig4_HTML.jpg
https://cdn.ncbi.nlm.nih.gov/pmc/blobs/192e/6175856/06017939331f/41598_2018_33267_Fig5_HTML.jpg
https://cdn.ncbi.nlm.nih.gov/pmc/blobs/192e/6175856/dcc70cf86a99/41598_2018_33267_Fig6_HTML.jpg
https://cdn.ncbi.nlm.nih.gov/pmc/blobs/192e/6175856/f289d13a9c1c/41598_2018_33267_Fig7_HTML.jpg
https://cdn.ncbi.nlm.nih.gov/pmc/blobs/192e/6175856/129de53a5d2d/41598_2018_33267_Fig8_HTML.jpg
https://cdn.ncbi.nlm.nih.gov/pmc/blobs/192e/6175856/64c9745b51f8/41598_2018_33267_Fig1_HTML.jpg
https://cdn.ncbi.nlm.nih.gov/pmc/blobs/192e/6175856/098a73d7aa43/41598_2018_33267_Fig2_HTML.jpg
https://cdn.ncbi.nlm.nih.gov/pmc/blobs/192e/6175856/3295b9dfda01/41598_2018_33267_Fig3_HTML.jpg
https://cdn.ncbi.nlm.nih.gov/pmc/blobs/192e/6175856/14526d152ff8/41598_2018_33267_Fig4_HTML.jpg
https://cdn.ncbi.nlm.nih.gov/pmc/blobs/192e/6175856/06017939331f/41598_2018_33267_Fig5_HTML.jpg
https://cdn.ncbi.nlm.nih.gov/pmc/blobs/192e/6175856/dcc70cf86a99/41598_2018_33267_Fig6_HTML.jpg
https://cdn.ncbi.nlm.nih.gov/pmc/blobs/192e/6175856/f289d13a9c1c/41598_2018_33267_Fig7_HTML.jpg
https://cdn.ncbi.nlm.nih.gov/pmc/blobs/192e/6175856/129de53a5d2d/41598_2018_33267_Fig8_HTML.jpg

相似文献

1
Porphyromonas gingivalis bypasses epithelial barrier and modulates fibroblastic inflammatory response in an in vitro 3D spheroid model.牙龈卟啉单胞菌可绕过上皮屏障并调节体外 3D 球体模型中的成纤维细胞炎症反应。
Sci Rep. 2018 Oct 8;8(1):14914. doi: 10.1038/s41598-018-33267-4.
2
Porphyromonas gingivalis Differentially Modulates Apoptosome Apoptotic Peptidase Activating Factor 1 in Epithelial Cells and Fibroblasts.牙龈卟啉单胞菌差异调节上皮细胞和成纤维细胞中的凋亡体凋亡肽激活因子 1。
Am J Pathol. 2018 Feb;188(2):404-416. doi: 10.1016/j.ajpath.2017.10.014. Epub 2017 Nov 15.
3
BET Bromodomain Inhibitors Suppress Inflammatory Activation of Gingival Fibroblasts and Epithelial Cells From Periodontitis Patients.BET 溴结构域抑制剂抑制牙周炎患者牙龈成纤维细胞和上皮细胞的炎症激活。
Front Immunol. 2019 Apr 30;10:933. doi: 10.3389/fimmu.2019.00933. eCollection 2019.
4
Healthy and Inflamed Gingival Fibroblasts Differ in Their Inflammatory Response to Porphyromonas gingivalis Lipopolysaccharide.健康和炎症牙龈成纤维细胞在对牙龈卟啉单胞菌脂多糖的炎症反应上存在差异。
Inflammation. 2016 Oct;39(5):1842-52. doi: 10.1007/s10753-016-0421-4.
5
Periodontal ligament and gingival fibroblasts from periodontitis patients are more active in interaction with Porphyromonas gingivalis.牙周炎患者的牙周韧带和牙龈成纤维细胞与牙龈卟啉单胞菌的相互作用更为活跃。
J Periodontal Res. 2011 Aug;46(4):407-16. doi: 10.1111/j.1600-0765.2011.01353.x. Epub 2011 Feb 17.
6
Increased citrullination and expression of peptidylarginine deiminases independently of P. gingivalis and A. actinomycetemcomitans in gingival tissue of patients with periodontitis.在牙周炎患者的牙龈组织中,瓜氨酸化和肽基精氨酸脱亚氨酶的表达增加,与牙龈卟啉单胞菌和伴放线放线杆菌无关。
J Transl Med. 2018 Jul 31;16(1):214. doi: 10.1186/s12967-018-1588-2.
7
Cellular motility of Down syndrome gingival fibroblasts is susceptible to impairment by Porphyromonas gingivalis invasion.唐氏综合征牙龈成纤维细胞的细胞运动性易受牙龈卟啉单胞菌入侵的损害。
J Periodontol. 2008 Apr;79(4):721-7. doi: 10.1902/jop.2008.070400.
8
Infection of primary human gingival fibroblasts by Porphyromonas gingivalis and Prevotella intermedia.牙龈卟啉单胞菌和中间普氏菌对原代人牙龈成纤维细胞的感染
Clin Oral Investig. 2000 Mar;4(1):35-41. doi: 10.1007/s007840050111.
9
Porphyromonas gingivalis-mediated shedding of extracellular matrix metalloproteinase inducer (EMMPRIN) by oral epithelial cells: a potential role in inflammatory periodontal disease.牙龈卟啉单胞菌介导的口腔上皮细胞细胞外基质金属蛋白酶诱导因子(EMMPRIN)的脱落:在炎症性牙周病中的潜在作用。
Microbes Infect. 2011 Dec;13(14-15):1261-9. doi: 10.1016/j.micinf.2011.07.009. Epub 2011 Jul 28.
10
Dual lifestyle of Porphyromonas gingivalis in biofilm and gingival cells.牙龈卟啉单胞菌在生物膜和牙龈细胞中的双重生活方式。
Microb Pathog. 2016 May;94:42-7. doi: 10.1016/j.micpath.2015.10.003. Epub 2015 Oct 9.

引用本文的文献

1
Vitamin D Modulates Inflammatory and Antimicrobial Responses in Oral Epithelial Cells Exposed to Periodontitis-Associated Bacteria.维生素D调节暴露于牙周炎相关细菌的口腔上皮细胞中的炎症和抗菌反应。
Int J Mol Sci. 2025 Jul 21;26(14):7001. doi: 10.3390/ijms26147001.
2
Porphyromonas gingivalis infection of oral keratinocytes drives the release of pro-inflammatory extracellular vesicles.牙龈卟啉单胞菌感染口腔角质形成细胞会促使促炎性细胞外囊泡的释放。
Sci Rep. 2025 Jul 9;15(1):24704. doi: 10.1038/s41598-025-10078-y.
3
Physiologically relevant coculture model for oral microbial-host interactions.

本文引用的文献

1
A new classification scheme for periodontal and peri-implant diseases and conditions - Introduction and key changes from the 1999 classification.牙周病和种植体周围病及状况的新分类系统——1999 年分类的介绍和主要变化
J Periodontol. 2018 Jun;89 Suppl 1:S1-S8. doi: 10.1002/JPER.18-0157.
2
Reduction of Articular and Systemic Inflammation by Kava-241 in a Porphyromonas gingivalis-Induced Arthritis Murine Model.卡瓦-241 对牙龈卟啉单胞菌诱导关节炎小鼠模型关节和全身炎症的抑制作用。
Infect Immun. 2018 Aug 22;86(9). doi: 10.1128/IAI.00356-18. Print 2018 Sep.
3
Use and application of 3D-organoid technology.
用于口腔微生物与宿主相互作用的生理相关共培养模型。
Int J Oral Sci. 2025 May 27;17(1):42. doi: 10.1038/s41368-025-00365-9.
4
Advances in modeling periodontal host-microbe interactions: insights from organotypic and organ-on-chip systems.牙周宿主-微生物相互作用建模的进展:来自器官型和芯片器官系统的见解。
Lab Chip. 2025 Feb 25;25(5):1342-1371. doi: 10.1039/d4lc00871e.
5
Nanostructured Implant-Tissue Interface Assessment Using a Three-Dimensional Gingival Tissue Equivalent.使用三维牙龈组织等效物评估纳米结构植入物与组织的界面
ACS Omega. 2024 Jul 3;9(28):30534-30543. doi: 10.1021/acsomega.4c02253. eCollection 2024 Jul 16.
6
Organotypic model of the gingiva for studying bacterial and viral pathogens implicated in periodontitis.用于研究与牙周炎相关的细菌和病毒病原体的牙龈组织工程模型。
J Oral Microbiol. 2023 Dec 12;16(1):2292382. doi: 10.1080/20002297.2023.2292382. eCollection 2024.
7
Experimental Modeling of Host-Bacterial Interactions in Head and Neck Squamous Cell Carcinoma.头颈部鳞状细胞癌宿主-细菌相互作用的实验模型
Cancers (Basel). 2023 Dec 12;15(24):5810. doi: 10.3390/cancers15245810.
8
An organotypic oral mucosal infection model to study host-pathogen interactions.一种用于研究宿主-病原体相互作用的器官型口腔黏膜感染模型。
J Tissue Eng. 2023 Oct 21;14:20417314231197310. doi: 10.1177/20417314231197310. eCollection 2023 Jan-Dec.
9
The Three-Dimensional In Vitro Cell Culture Models in the Study of Oral Cancer Immune Microenvironment.口腔癌免疫微环境研究中的三维体外细胞培养模型
Cancers (Basel). 2023 Aug 25;15(17):4266. doi: 10.3390/cancers15174266.
10
in the Development of Periodontitis: Impact on Dysbiosis and Inflammation.在牙周炎的发展过程中:对菌群失调和炎症的影响。
Arch Razi Inst. 2022 Oct 31;77(5):1539-1551. doi: 10.22092/ARI.2021.356596.1875. eCollection 2022 Oct.
3D 类器官技术的使用与应用。
Hum Mol Genet. 2018 Aug 1;27(R2):R99-R107. doi: 10.1093/hmg/ddy187.
4
Phenotypic markers of oral keratinocytes seeded on two distinct 3D oral mucosa models.在两种不同的 3D 口腔黏膜模型上接种的口腔角质形成细胞的表型标志物。
Toxicol In Vitro. 2018 Sep;51:34-39. doi: 10.1016/j.tiv.2018.04.015. Epub 2018 May 1.
5
Three-dimensional Inflammatory Human Tissue Equivalents of Gingiva.牙龈的三维炎症性人体组织等效物
J Vis Exp. 2018 Apr 3(134):57157. doi: 10.3791/57157.
6
Analysis of differential expression of tight junction proteins in cultured oral epithelial cells altered by Porphyromonas gingivalis, Porphyromonas gingivalis lipopolysaccharide, and extracellular adenosine triphosphate.分析牙龈卟啉单胞菌、牙龈卟啉单胞菌脂多糖和细胞外三磷酸腺苷改变培养的口腔上皮细胞紧密连接蛋白表达的差异。
Int J Oral Sci. 2018 Jan 10;10(1):e8. doi: 10.1038/ijos.2017.51.
7
Porphyromonas gingivalis Differentially Modulates Apoptosome Apoptotic Peptidase Activating Factor 1 in Epithelial Cells and Fibroblasts.牙龈卟啉单胞菌差异调节上皮细胞和成纤维细胞中的凋亡体凋亡肽激活因子 1。
Am J Pathol. 2018 Feb;188(2):404-416. doi: 10.1016/j.ajpath.2017.10.014. Epub 2017 Nov 15.
8
Characterization of Multilayered Tissue-Engineered Human Alveolar Bone and Gingival Mucosa.多层组织工程化人牙槽骨和牙龈黏膜的表征。
Tissue Eng Part C Methods. 2018 Feb;24(2):99-107. doi: 10.1089/ten.TEC.2017.0370. Epub 2018 Jan 10.
9
Combining 2D angiogenesis and 3D osteosarcoma microtissues to improve vascularization.结合二维血管生成和三维骨肉瘤微组织以改善血管化。
Exp Cell Res. 2017 Nov 15;360(2):138-145. doi: 10.1016/j.yexcr.2017.08.035. Epub 2017 Sep 1.
10
Application of standard cell cultures and 3D in vitro tissue models as an effective tool in drug design and development.标准细胞培养和 3D 体外组织模型在药物设计和开发中的应用作为一种有效的工具。
Pharmacol Rep. 2017 Oct;69(5):861-870. doi: 10.1016/j.pharep.2017.03.014. Epub 2017 Mar 23.