Suppr超能文献

比较不同保存技术对用于开发噬菌体抗菌产品的工业用噬菌体的保存效果。

Comparative analysis of different preservation techniques for the storage of Staphylococcus phages aimed for the industrial development of phage-based antimicrobial products.

机构信息

Departamento de Tecnología y Biotecnología de Productos Lácteos, Instituto de Productos Lácteos de Asturias-Consejo Superior de Investigaciones Científicas (IPLA-CSIC), Villaviciosa, Asturias, Spain.

出版信息

PLoS One. 2018 Oct 11;13(10):e0205728. doi: 10.1371/journal.pone.0205728. eCollection 2018.

Abstract

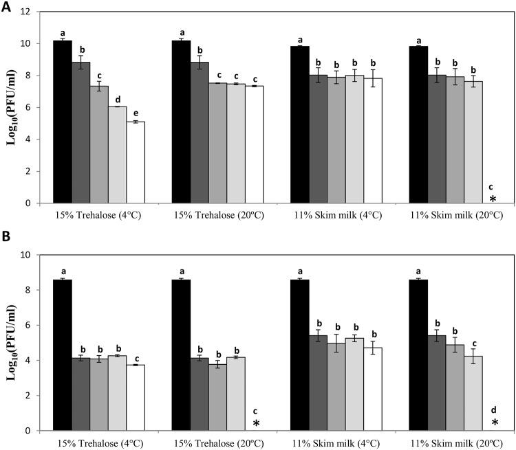
Bacteriophages have been proven as effective antimicrobial agents in the treatment of infectious diseases and in other biocontrol applications including food preservation and disinfection. The extensive use of bacteriophages requires improved methodologies for medium- and long-term storage as well as for easy shipping. To this aim, we have determined the stability of four Staphylococcus phages (phiIPLA88, phiIPLA35, phiIPLA-RODI and phiIPLA-C1C) with antimicrobial potential at different temperatures (20°C/25°C, 4°C, -20°C, -80°C, -196°C) and during lyophilization (freeze drying) using several stabilizing additives (disaccharides, glycerol, sorbitol and skim milk). Differences between phages were observed at different temperatures (20°C/25°C, 4°C and -20°C), where phages were less stable. At lower temperatures (-80°C and -196°C), all phages showed good viability after 24 months regardless of the stabilizer. Differences between phages were also observed after lyophilization although the addition of skim milk yielded a dry powder with a stable titer after 24 months. As an alternative to facilitate storage and transportation, phage encapsulation has been also explored. Phage phiIPLA-RODI encapsulated in alginate capsules retained high viability when stored at 4°C for 6 months and at 20°C for 1 month. Moreover, the spray-dryer technique allowed obtaining dry powders containing viable encapsulated phages (phiIPLA-RODI and phiIPLA88) in both skim milk and trehalose for 12 months at 4°C. Storage of phages at 20°C was less effective; in fact, phiIPLA88 was stable for at least 12 months in trehalose but not in skim milk, while phiIPLA-RODI was stable only for 6 months in either stabilizer. These results suggest that encapsulated phages might be a suitable way for shipping phages.

摘要

噬菌体已被证明在治疗传染病和其他生物防治应用(包括食品保存和消毒)中是有效的抗菌剂。噬菌体的广泛应用需要改进中短期储存以及便于运输的方法。为此,我们确定了具有抗菌潜力的四种葡萄球菌噬菌体(phiIPLA88、phiIPLA35、phiIPLA-RODI 和 phiIPLA-C1C)在不同温度(20°C/25°C、4°C、-20°C、-80°C、-196°C)和冻干(冷冻干燥)过程中的稳定性,使用了几种稳定剂(二糖、甘油、山梨糖醇和脱脂乳)。在不同温度(20°C/25°C、4°C 和-20°C)下,噬菌体之间存在差异,噬菌体的稳定性较低。在较低温度(-80°C 和-196°C)下,所有噬菌体在 24 个月后均显示出良好的活力,而与稳定剂无关。在冻干后也观察到噬菌体之间的差异,尽管添加脱脂乳可在 24 个月后获得具有稳定效价的干燥粉末。为了便于储存和运输,还探索了噬菌体包封。在藻酸盐胶囊中包封的噬菌体 phiIPLA-RODI 在 4°C 下储存 6 个月和在 20°C 下储存 1 个月时保持高活力。此外,喷雾干燥技术允许获得在 4°C 下含有活的包封噬菌体(phiIPLA-RODI 和 phiIPLA88)的干燥粉末,在脱脂乳和海藻糖中可稳定 12 个月。噬菌体在 20°C 下的储存效果较差;事实上,phiIPLA88 在海藻糖中至少稳定 12 个月,但在脱脂乳中不稳定,而 phiIPLA-RODI 在两种稳定剂中仅稳定 6 个月。这些结果表明,包封噬菌体可能是运输噬菌体的一种合适方法。

https://cdn.ncbi.nlm.nih.gov/pmc/blobs/d17e/6181408/1f92d8dd6c4f/pone.0205728.g001.jpg

文献AI研究员

20分钟写一篇综述,助力文献阅读效率提升50倍。

立即体验

用中文搜PubMed

大模型驱动的PubMed中文搜索引擎

马上搜索

文档翻译

学术文献翻译模型,支持多种主流文档格式。

立即体验