• 文献检索
  • 文档翻译
  • 深度研究
  • 学术资讯
  • Suppr Zotero 插件Zotero 插件
  • 邀请有礼
  • 套餐&价格
  • 历史记录
应用&插件
Suppr Zotero 插件Zotero 插件浏览器插件Mac 客户端Windows 客户端微信小程序
定价
高级版会员购买积分包购买API积分包
服务
文献检索文档翻译深度研究API 文档MCP 服务
关于我们
关于 Suppr公司介绍联系我们用户协议隐私条款
关注我们

Suppr 超能文献

核心技术专利:CN118964589B侵权必究
粤ICP备2023148730 号-1Suppr @ 2026

文献检索

告别复杂PubMed语法,用中文像聊天一样搜索,搜遍4000万医学文献。AI智能推荐,让科研检索更轻松。

立即免费搜索

文件翻译

保留排版,准确专业,支持PDF/Word/PPT等文件格式,支持 12+语言互译。

免费翻译文档

深度研究

AI帮你快速写综述,25分钟生成高质量综述,智能提取关键信息,辅助科研写作。

立即免费体验

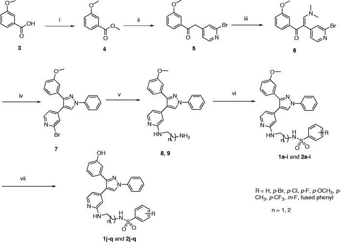
新型含末端磺酰胺基的 1,3,4-三芳基吡唑衍生物的设计、合成、体外抗癌活性评价、激酶抑制作用及药代动力学特征。

Design, synthesis, in vitro anticancer evaluation, kinase inhibitory effects, and pharmacokinetic profile of new 1,3,4-triarylpyrazole derivatives possessing terminal sulfonamide moiety.

机构信息

a Medicinal & Pharmaceutical Chemistry Department , Pharmaceutical and Drug Industries Research Division, National Research Centre (NRC) , Dokki , Giza , Egypt.

b Department of Medicinal Chemistry , College of Pharmacy, University of Sharjah , Sharjah , United Arab Emirates.

出版信息

J Enzyme Inhib Med Chem. 2019 Dec;34(1):97-109. doi: 10.1080/14756366.2018.1530225.

DOI:10.1080/14756366.2018.1530225
PMID:30362383
原文链接:https://pmc.ncbi.nlm.nih.gov/articles/PMC6211260/
Abstract

The present work describes the design and synthesis of a novel series of 1,3-diaryl-4-sulfonamidoarylpyrazole derivatives 1a-q and 2a-q and their in vitro biological activities. The target compounds were evaluated for antiproliferative activity against NCI-60 cell line panel. Compounds 1c, 1g, 1k-m, 1o, 2g, 2h, 2k-m, 2o, and 2q showed the highest mean inhibition percentages at 10 µM single-dose testing and were selected to be tested at 5-dose mode. The ICs of the most potent compounds were determined over the 60 cell lines. Compound 2l exhibited the strongest activity against different cell lines with IC 0.33 µM against A498 renal cancer cell line. Compound 2l was tested over a panel of 20 kinases to determine its molecular target(s), and its IC values over the most sensitive kinases were defined. In vitro stability and in vivo pharmacokinetic profile of compound 2l was also investigated.

摘要

本工作描述了一系列新型 1,3-二芳基-4-磺酰胺基芳基吡唑衍生物 1a-q 和 2a-q 的设计与合成及其体外生物活性。对目标化合物进行了抗 NCI-60 细胞系的体外增殖活性评价。在 10 μM 单剂量测试中,化合物 1c、1g、1k-m、1o、2g、2h、2k-m、2o 和 2q 表现出最高的平均抑制率,因此选择它们进行 5 剂量模式测试。对最有效的化合物进行了 60 个细胞系的 IC 值测定。化合物 2l 对不同细胞系表现出最强的活性,对 A498 肾癌细胞系的 IC 0.33 μM。化合物 2l 在 20 种激酶的组合中进行了测试,以确定其分子靶标,并确定其对最敏感激酶的 IC 值。还研究了化合物 2l 的体外稳定性和体内药代动力学特征。

https://cdn.ncbi.nlm.nih.gov/pmc/blobs/8818/6211260/21a458d26aa3/IENZ_A_1530225_F0003_B.jpg
https://cdn.ncbi.nlm.nih.gov/pmc/blobs/8818/6211260/9d92cb781b84/IENZ_A_1530225_F0001_B.jpg
https://cdn.ncbi.nlm.nih.gov/pmc/blobs/8818/6211260/58cff8ef513b/IENZ_A_1530225_SCH0001_B.jpg
https://cdn.ncbi.nlm.nih.gov/pmc/blobs/8818/6211260/e7012958326e/IENZ_A_1530225_SCH0002_B.jpg
https://cdn.ncbi.nlm.nih.gov/pmc/blobs/8818/6211260/30b56a4eac86/IENZ_A_1530225_F0002_B.jpg
https://cdn.ncbi.nlm.nih.gov/pmc/blobs/8818/6211260/21a458d26aa3/IENZ_A_1530225_F0003_B.jpg
https://cdn.ncbi.nlm.nih.gov/pmc/blobs/8818/6211260/9d92cb781b84/IENZ_A_1530225_F0001_B.jpg
https://cdn.ncbi.nlm.nih.gov/pmc/blobs/8818/6211260/58cff8ef513b/IENZ_A_1530225_SCH0001_B.jpg
https://cdn.ncbi.nlm.nih.gov/pmc/blobs/8818/6211260/e7012958326e/IENZ_A_1530225_SCH0002_B.jpg
https://cdn.ncbi.nlm.nih.gov/pmc/blobs/8818/6211260/30b56a4eac86/IENZ_A_1530225_F0002_B.jpg
https://cdn.ncbi.nlm.nih.gov/pmc/blobs/8818/6211260/21a458d26aa3/IENZ_A_1530225_F0003_B.jpg

相似文献

1
Design, synthesis, in vitro anticancer evaluation, kinase inhibitory effects, and pharmacokinetic profile of new 1,3,4-triarylpyrazole derivatives possessing terminal sulfonamide moiety.新型含末端磺酰胺基的 1,3,4-三芳基吡唑衍生物的设计、合成、体外抗癌活性评价、激酶抑制作用及药代动力学特征。
J Enzyme Inhib Med Chem. 2019 Dec;34(1):97-109. doi: 10.1080/14756366.2018.1530225.
2
Design, synthesis, and in vitro antiproliferative and kinase inhibitory effects of pyrimidinylpyrazole derivatives terminating with arylsulfonamido or cyclic sulfamide substituents.嘧啶基吡唑衍生物的设计、合成及体外抗增殖和激酶抑制活性。这些衍生物的末端带有芳基磺酰胺基或环状磺酰胺取代基。
J Enzyme Inhib Med Chem. 2016;31(sup2):111-122. doi: 10.1080/14756366.2016.1190715. Epub 2016 Jun 2.
3
Synthesis, in vitro Antiproliferative and Antiinflammatory Activities, and Kinase Inhibitory effects of New 1,3,4-triarylpyrazole Derivatives.新型1,3,4-三芳基吡唑衍生物的合成、体外抗增殖和抗炎活性以及激酶抑制作用
Anticancer Agents Med Chem. 2017;17(1):75-84.
4
Design, synthesis, broad-spectrum antiproliferative activity, and kinase inhibitory effect of triarylpyrazole derivatives possessing arylamides or arylureas moieties.具有芳酰胺或芳脲部分的三芳基吡唑衍生物的设计、合成、广谱抗增殖活性和激酶抑制作用。
Eur J Med Chem. 2016 Aug 25;119:122-31. doi: 10.1016/j.ejmech.2016.04.048. Epub 2016 Apr 21.
5
Design, synthesis, potent antiproliferative activity, and kinase inhibitory effects of new triarylpyrazole derivatives possessing different heterocycle terminal moieties.新型含不同杂环末端基团的三芳基吡唑衍生物的设计、合成、强增殖抑制活性和激酶抑制作用。
J Enzyme Inhib Med Chem. 2019 Dec;34(1):1534-1543. doi: 10.1080/14756366.2019.1653292.
6
Design, synthesis, in-vitro antiproliferative activity and kinase profile of new picolinamide based 2-amido and ureido quinoline derivatives.新型基于吡啶甲酰胺的2-酰胺基和脲基喹啉衍生物的设计、合成、体外抗增殖活性及激酶谱
Eur J Med Chem. 2015 Aug 28;101:754-68. doi: 10.1016/j.ejmech.2015.07.025. Epub 2015 Jul 17.
7
Design, green synthesis, molecular docking and anticancer evaluations of diazepam bearing sulfonamide moieties as VEGFR-2 inhibitors.载有磺酰胺基团的地西泮作为 VEGFR-2 抑制剂的设计、绿色合成、分子对接和抗癌评价。
Bioorg Chem. 2020 Nov;104:104350. doi: 10.1016/j.bioorg.2020.104350. Epub 2020 Oct 8.
8
Synthesis and kinase inhibitory activity of new sulfonamide derivatives of pyrazolo[4,3-e][1,2,4]triazines.新型吡唑并[4,3-e][1,2,4]三嗪磺酰胺衍生物的合成及激酶抑制活性。
Eur J Med Chem. 2014 May 6;78:217-24. doi: 10.1016/j.ejmech.2014.03.054. Epub 2014 Mar 18.
9
Design, synthesis, biological evaluation and molecular modeling of dihydropyrazole sulfonamide derivatives as potential COX-1/COX-2 inhibitors.二氢吡唑磺酰胺衍生物作为潜在COX-1/COX-2抑制剂的设计、合成、生物学评价及分子模拟
Bioorg Med Chem Lett. 2015 May 1;25(9):1947-51. doi: 10.1016/j.bmcl.2015.03.022. Epub 2015 Mar 22.
10
Synthesis, EGFR Inhibition and Anti-cancer Activity of New 3,6-dimethyl-1-phenyl-4-(substituted-methoxy)pyrazolo[3,4-d] pyrimidine Derivatives.新型3,6-二甲基-1-苯基-4-(取代甲氧基)吡唑并[3,4-d]嘧啶衍生物的合成、表皮生长因子受体抑制作用及抗癌活性
Anticancer Agents Med Chem. 2017;17(10):1389-1400. doi: 10.2174/1872211311666170213105004.

引用本文的文献

1
The Role of Flow Chemistry on the Synthesis of Pyrazoles, Pyrazolines and Pyrazole-Fused Scaffolds.流动化学在吡唑、吡唑啉及吡唑稠合骨架合成中的作用
Molecules. 2025 Apr 2;30(7):1582. doi: 10.3390/molecules30071582.
2
An overview of pyridazin-3(2)-one: a core for developing bioactive agents targeting cardiovascular diseases and cancer.哒嗪-3(2H)-酮概述:开发针对心血管疾病和癌症的生物活性药物的核心。
Future Med Chem. 2024 Aug 17;16(16):1685-1703. doi: 10.1080/17568919.2024.2379234. Epub 2024 Aug 6.
3
New 1,2,3-triazole/1,2,4-triazole hybrids linked to oxime moiety as nitric oxide donor selective COX-2, aromatase, B-RAF and EGFR inhibitors celecoxib analogs: design, synthesis, anti-inflammatory/anti-proliferative activities, apoptosis and molecular modeling study.

本文引用的文献

1
New perspectives for targeting RAF kinase in human cancer.针对人类癌症中 RAF 激酶的新视角。
Nat Rev Cancer. 2017 Nov;17(11):676-691. doi: 10.1038/nrc.2017.79. Epub 2017 Oct 6.
2
Design and synthesis of a new series of highly potent RAF kinase-inhibiting triarylpyrazole derivatives possessing antiproliferative activity against melanoma cells.新型高效具有抗黑色素瘤细胞增殖活性的RAF激酶抑制性三芳基吡唑衍生物的设计与合成。
Future Med Chem. 2016 Dec;8(18):2197-2211. doi: 10.4155/fmc-2016-0057. Epub 2016 Nov 15.
3
Synthesis, in vitro Antiproliferative and Antiinflammatory Activities, and Kinase Inhibitory effects of New 1,3,4-triarylpyrazole Derivatives.
新型 1,2,3-三唑/1,2,4-三唑杂环连接肟部分作为一氧化氮供体的选择性 COX-2、芳香酶、B-RAF 和 EGFR 抑制剂塞来昔布类似物:设计、合成、抗炎/抗增殖活性、细胞凋亡和分子模拟研究。
J Enzyme Inhib Med Chem. 2023 Dec;38(1):2290461. doi: 10.1080/14756366.2023.2290461. Epub 2023 Dec 7.
4
The Importance of the Pyrazole Scaffold in the Design of Protein Kinases Inhibitors as Targeted Anticancer Therapies.吡唑骨架在设计蛋白激酶抑制剂作为靶向抗癌疗法中的重要性。
Molecules. 2023 Jul 12;28(14):5359. doi: 10.3390/molecules28145359.
5
Evaluation of Substituted Pyrazole-Based Kinase Inhibitors in One Decade (2011-2020): Current Status and Future Prospects.评价十年(2011-2020 年)中基于取代吡唑的激酶抑制剂:现状和未来展望。
Molecules. 2022 Jan 5;27(1):330. doi: 10.3390/molecules27010330.
6
Styrylpyrazoles: Properties, Synthesis and Transformations.苯乙烯基吡唑类化合物:性质、合成与转化。
Molecules. 2020 Dec 12;25(24):5886. doi: 10.3390/molecules25245886.
7
Imidazothiazole-based potent inhibitors of V600E-B-RAF kinase with promising anti-melanoma activity: biological and computational studies.基于咪唑并噻唑的强效 V600E-B-RAF 激酶抑制剂,具有有前景的抗黑色素瘤活性:生物学和计算研究。
J Enzyme Inhib Med Chem. 2020 Dec;35(1):1712-1726. doi: 10.1080/14756366.2020.1819260.
8
Pyrazoles as Key Scaffolds for the Development of Fluorine-18-Labeled Radiotracers for Positron Emission Tomography (PET).吡唑作为氟-18 标记放射性示踪剂用于正电子发射断层扫描(PET)的关键骨架。
Molecules. 2020 Apr 9;25(7):1722. doi: 10.3390/molecules25071722.
新型1,3,4-三芳基吡唑衍生物的合成、体外抗增殖和抗炎活性以及激酶抑制作用
Anticancer Agents Med Chem. 2017;17(1):75-84.
4
Design, synthesis, and in vitro antiproliferative and kinase inhibitory effects of pyrimidinylpyrazole derivatives terminating with arylsulfonamido or cyclic sulfamide substituents.嘧啶基吡唑衍生物的设计、合成及体外抗增殖和激酶抑制活性。这些衍生物的末端带有芳基磺酰胺基或环状磺酰胺取代基。
J Enzyme Inhib Med Chem. 2016;31(sup2):111-122. doi: 10.1080/14756366.2016.1190715. Epub 2016 Jun 2.
5
Design, synthesis, broad-spectrum antiproliferative activity, and kinase inhibitory effect of triarylpyrazole derivatives possessing arylamides or arylureas moieties.具有芳酰胺或芳脲部分的三芳基吡唑衍生物的设计、合成、广谱抗增殖活性和激酶抑制作用。
Eur J Med Chem. 2016 Aug 25;119:122-31. doi: 10.1016/j.ejmech.2016.04.048. Epub 2016 Apr 21.
6
Design, synthesis, in vitro antiproliferative evaluation, and kinase inhibitory effects of a new series of imidazo[2,1-b]thiazole derivatives.新型咪唑并[2,1-b]噻唑衍生物系列的设计、合成、体外抗增殖评估及激酶抑制作用
Eur J Med Chem. 2015 May 5;95:453-63. doi: 10.1016/j.ejmech.2015.03.065. Epub 2015 Mar 30.
7
Synthesis and in vitro antiproliferative activity of new 1,3,4-oxadiazole derivatives possessing sulfonamide moiety.新型含磺酰胺基 1,3,4-噁二唑衍生物的合成及体外抗增殖活性。
Eur J Med Chem. 2015 Jan 27;90:45-52. doi: 10.1016/j.ejmech.2014.11.011. Epub 2014 Nov 6.
8
Discovery of Dabrafenib: A Selective Inhibitor of Raf Kinases with Antitumor Activity against B-Raf-Driven Tumors.达拉非尼的发现:一种对B-Raf驱动的肿瘤具有抗肿瘤活性的Raf激酶选择性抑制剂。
ACS Med Chem Lett. 2013 Feb 7;4(3):358-62. doi: 10.1021/ml4000063. eCollection 2013 Mar 14.
9
JNK signalling in cancer: in need of new, smarter therapeutic targets.癌症中的JNK信号传导:需要新的、更智能的治疗靶点。
Br J Pharmacol. 2014 Jan;171(1):24-37. doi: 10.1111/bph.12432.
10
Antiproliferative diarylpyrazole derivatives as dual inhibitors of the ERK pathway and COX-2.具有抗增殖作用的二芳基吡唑衍生物作为 ERK 通路和 COX-2 的双重抑制剂。
Chem Biol Drug Des. 2013 Sep;82(3):336-47. doi: 10.1111/cbdd.12186. Epub 2013 Aug 10.