Grayling Michael J, Wason James M S, Mander Adrian P
Hub for Trials Methodology Research, MRC Biostatistics Unit, Cambridge, UK.
Seq Anal. 2018 Oct 2;37(2):174-203. doi: 10.1080/07474946.2018.1466528. eCollection 2018.
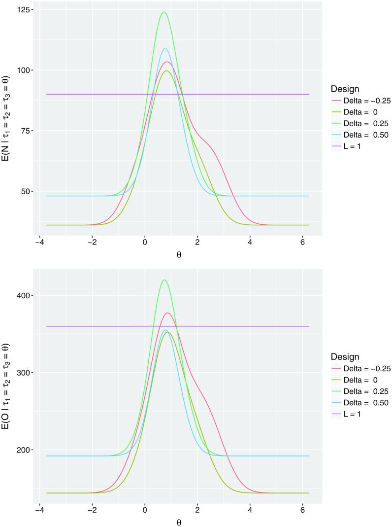
Crossover designs are an extremely useful tool to investigators, and group sequential methods have proven highly proficient at improving the efficiency of parallel group trials. Yet, group sequential methods and crossover designs have rarely been paired together. One possible explanation for this could be the absence of a formal proof of how to strongly control the familywise error rate in the case when multiple comparisons will be made. Here, we provide this proof, valid for any number of initial experimental treatments and any number of stages, when results are analyzed using a linear mixed model. We then establish formulae for the expected sample size and expected number of observations of such a trial, given any choice of stopping boundaries. Finally, utilizing the four-treatment, four-period TOMADO trial as an example, we demonstrate that group sequential methods in this setting could have reduced the trials expected number of observations under the global null hypothesis by over 33%.
交叉设计对研究者来说是一种极其有用的工具,而序贯分组方法已被证明在提高平行组试验效率方面非常有效。然而,序贯分组方法和交叉设计很少被结合使用。对此的一种可能解释是,在需要进行多次比较的情况下,缺乏如何严格控制家族性错误率的正式证明。在这里,我们提供了这个证明,当使用线性混合模型分析结果时,该证明适用于任何数量的初始实验处理和任何数量的阶段。然后,我们给出了给定任何停止边界选择时,此类试验的预期样本量和预期观察次数的公式。最后,以四治疗、四周期的TOMADO试验为例,我们证明在这种情况下,序贯分组方法可以使全局零假设下试验的预期观察次数减少超过33%。