Suppr超能文献

长链非编码RNA ZEB1-AS1对人类癌症临床结局的预后价值。

The prognostic value of long noncoding RNA ZEB1-AS1 on clinical outcomes in human cancer.

作者信息

Wu Ying, Ding Ming, Wei Shuzhen, Wu Ting, Xu Rongrong, Zhu Xiaoli, Liu Hongbing

机构信息

Department of Respiratory Medicine, Zhongda Hospital, School of Medicine, Southeast University, Nanjing, Jiangsu 210009, China.

Department of Respiratory Medicine, Jinling Hospital, Nanjing University School of Medicine, Nanjing, Jiangsu 210002 , China.

出版信息

J Cancer. 2018 Sep 8;9(20):3690-3698. doi: 10.7150/jca.27263. eCollection 2018.

Abstract

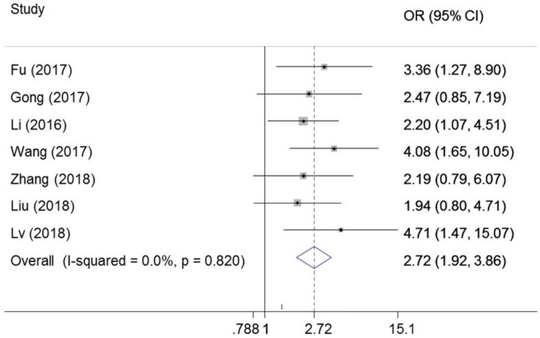
Although growing evidence have demonstrated that long non-coding RNA ZEB1-AS1 was aberrantly expressed in various types of cancers and can be used as a prognostic marker in cancer, the results remain inconclusive. Therefore, we performed this meta-analysis to evaluate the prognostic value of ZEB1-AS1 in human cancer. A literature survey was conducted for all eligible studies by searching the following online databases: PubMed and Embase. The pooled odds ratios (ORs) or hazard ratios (HRs) with a 95 % confidence interval (95 % Cl) were computed to demonstrate its prognostic value. A total of 14 studies with 1096 individuals were included to evaluate the association of ZEB1-AS1 with clinicopathological features and overall survival (OS). In the pooled analyses stratified by clinicopathological features, ZEB1-AS1 expression was significantly related to depth of tumor (OR=2.92, 95% CI 1.22-7.02), poor histological differentiation (OR=2.72, 95% CI: 1.92-3.86), lymph node metastasis (OR=3.93, 95% CI: 2.65-5.84), distant metastasis (OR=5.34, 95% CI: 2.85-10.02) and tumor stage (OR=2.46, 95% CI 1.42-4.24), but not to tumor size (OR=1.25, 95% CI 0.79-1.96). Altered ZEB1-AS1 expression was found to be an indicator of worse prognosis in OS (HR = 1.94, 95% CI: 1. 66-2.22) among tumor patients. High ZEB1-AS1expression was associated poor clinical outcome and it can serve as a novel predictive biomarker in various cancers.

摘要

尽管越来越多的证据表明长链非编码RNA ZEB1-AS1在各种类型的癌症中表达异常,并且可作为癌症的预后标志物,但结果仍无定论。因此,我们进行了这项荟萃分析,以评估ZEB1-AS1在人类癌症中的预后价值。通过搜索以下在线数据库对所有符合条件的研究进行文献调查:PubMed和Embase。计算合并比值比(OR)或风险比(HR)及95%置信区间(95%CI)以证明其预后价值。总共纳入了14项研究中的1096名个体,以评估ZEB1-AS1与临床病理特征及总生存期(OS)的相关性。在按临床病理特征分层的合并分析中,ZEB1-AS1表达与肿瘤深度(OR=2.92,95%CI 1.22-7.02)、组织学分化差(OR=2.72,95%CI:1.92-3.86)、淋巴结转移(OR=3.93,95%CI:2.65-5.84)、远处转移(OR=5.34,95%CI:2.85-10.02)和肿瘤分期(OR=2.46,95%CI 1.42-4.24)显著相关,但与肿瘤大小无关(OR=1.25,95%CI 0.79-1.96)。在肿瘤患者中,发现ZEB1-AS1表达改变是OS预后较差的一个指标(HR = 1.94,95%CI:1. 66-2.22)。ZEB1-AS1高表达与不良临床结局相关,它可作为各种癌症中的一种新型预测生物标志物。

https://cdn.ncbi.nlm.nih.gov/pmc/blobs/1cec/6216015/37379bf020a9/jcav09p3690g001.jpg

文献AI研究员

20分钟写一篇综述,助力文献阅读效率提升50倍。

立即体验

用中文搜PubMed

大模型驱动的PubMed中文搜索引擎

马上搜索

文档翻译

学术文献翻译模型,支持多种主流文档格式。

立即体验