Suppr超能文献

苯并噻唑相关化合物通过蛋白激酶 C 诱导的 HIV 潜伏逆转促进感染 HIV 的人类细胞凋亡。

Benzolactam-related compounds promote apoptosis of HIV-infected human cells via protein kinase C-induced HIV latency reversal.

机构信息

National Center for Global Health and Medicine Research Institute, Tokyo 162-8655, Japan.

Institute of Biomaterials and Bioengineering, Tokyo Medical and Dental University, Tokyo, 101-0062, Japan.

出版信息

J Biol Chem. 2019 Jan 4;294(1):116-129. doi: 10.1074/jbc.RA118.005798. Epub 2018 Nov 9.

Abstract

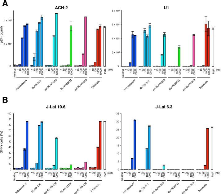
Latency-reversing agents (LRAs) are considered a potential strategy for curing cells of HIV-1 infection. Certain protein kinase C (PKC) activators have been previously reported to be LRAs because they can reverse HIV latency. In the present study, we examined the activities of a panel of benzolactam derivatives against cells latently infected with HIV. Using determination of p24 antigen in cell supernatants or altered intracellular GFP expression to measure HIV reactivation from latently infected cells along with a cytotoxicity assay, we found that some of the compounds exhibited latency-reversing activity, which was followed by enhanced release of HIV particles from the cells. One derivative, BL-V8-310, displayed activity in ACH-2 and J-Lat cells latently infected with HIV at a concentration of 10 nm or higher, which was superior to the activity of another highly active PKC activator, prostratin. These results were confirmed with peripheral blood cells from HIV-infected patients. We also found that these drugs up-regulate the expression of caspase 3 and enhance apoptosis specifically in latently HIV-infected cells. Moreover, combining BL-V8-310 with a bromodomain-containing 4 (BRD4) inhibitor, JQ1, not only enhanced HIV latency-reversing activity, but also reduced the effect on cytotoxic cytokine secretion from CD4 T-cells induced by BL-V8-310 alone. Our results suggest that BL-V8-310 and its related benzolactam derivatives are potential LRA lead compounds that are effective in reversing HIV latency and reducing viral reservoirs in HIV-positive individuals with few adverse effects.

摘要

潜伏逆转剂(LRAs)被认为是治愈 HIV-1 感染细胞的一种潜在策略。先前有报道称,某些蛋白激酶 C(PKC)激活剂是 LRA,因为它们可以逆转 HIV 潜伏。在本研究中,我们研究了一组苯并内酰胺衍生物对潜伏感染 HIV 的细胞的活性。通过测定细胞上清液中的 p24 抗原或改变细胞内 GFP 表达来测量潜伏感染细胞中的 HIV 重新激活,同时进行细胞毒性测定,我们发现一些化合物具有潜伏逆转活性,随后从细胞中释放出更多的 HIV 颗粒。一种衍生物 BL-V8-310 在 ACH-2 和 J-Lat 细胞中以 10nm 或更高浓度潜伏感染 HIV 时表现出活性,优于另一种高活性 PKC 激活剂 prostratin 的活性。这些结果在 HIV 感染患者的外周血细胞中得到了证实。我们还发现,这些药物上调了潜伏 HIV 感染细胞中 caspase 3 的表达,并特异性增强了细胞凋亡。此外,将 BL-V8-310 与含有溴结构域的 4(BRD4)抑制剂 JQ1 联合使用,不仅增强了 HIV 潜伏逆转活性,而且减少了 BL-V8-310 单独使用对 CD4 T 细胞中细胞毒性细胞因子分泌的影响。我们的结果表明,BL-V8-310 及其相关苯并内酰胺衍生物是有效的 HIV 潜伏逆转剂,可减少 HIV 阳性个体中的病毒储存库,而副作用较少。

https://cdn.ncbi.nlm.nih.gov/pmc/blobs/029f/6322896/0ff129314a93/zbc0011998730001.jpg

文献AI研究员

20分钟写一篇综述,助力文献阅读效率提升50倍。

立即体验

用中文搜PubMed

大模型驱动的PubMed中文搜索引擎

马上搜索

文档翻译

学术文献翻译模型,支持多种主流文档格式。

立即体验