• 文献检索
  • 文档翻译
  • 深度研究
  • 学术资讯
  • Suppr Zotero 插件Zotero 插件
  • 邀请有礼
  • 套餐&价格
  • 历史记录
应用&插件
Suppr Zotero 插件Zotero 插件浏览器插件Mac 客户端Windows 客户端微信小程序
定价
高级版会员购买积分包购买API积分包
服务
文献检索文档翻译深度研究API 文档MCP 服务
关于我们
关于 Suppr公司介绍联系我们用户协议隐私条款
关注我们

Suppr 超能文献

核心技术专利:CN118964589B侵权必究
粤ICP备2023148730 号-1Suppr @ 2026

文献检索

告别复杂PubMed语法,用中文像聊天一样搜索,搜遍4000万医学文献。AI智能推荐,让科研检索更轻松。

立即免费搜索

文件翻译

保留排版,准确专业,支持PDF/Word/PPT等文件格式,支持 12+语言互译。

免费翻译文档

深度研究

AI帮你快速写综述,25分钟生成高质量综述,智能提取关键信息,辅助科研写作。

立即免费体验

群居繁殖会影响与竞争社会环境相关的后代行为。

Communal breeding affects offspring behaviours associated with a competitive social environment.

机构信息

Mammalian Behaviour and Evolution Group, Institute of Integrative Biology, University of Liverpool, Leahurst Campus, Neston, CH64 7TE, UK.

出版信息

Sci Rep. 2018 Nov 15;8(1):16850. doi: 10.1038/s41598-018-35089-w.

DOI:10.1038/s41598-018-35089-w
PMID:30443002
原文链接:https://pmc.ncbi.nlm.nih.gov/articles/PMC6237865/
Abstract

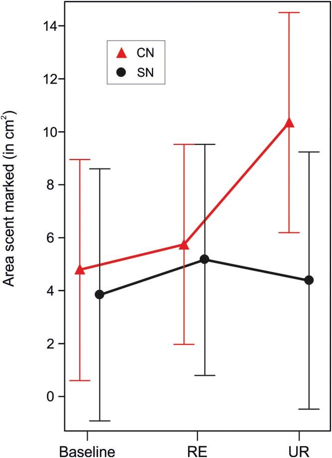
Communal breeding is characterised by shared care of offspring produced by more than one female, and can affect the behavioural development of young. The decision to care communally can vary according to local conditions, and has been hypothesised to occur more frequently when social competition is intense. However, it is unknown whether communal rearing of young influences adult behaviours likely to be adaptive under competitive conditions. Here, using a controlled experimental approach, we investigate effects of communal rearing on competitive and exploratory behaviours of adult male house mice. In tests of competitive scent marking, only communally-reared subjects discriminated between related and unrelated rivals, depositing more scent marks in close proximity to unrelated males. Communally-reared subjects also displayed higher exploratory tendencies, with an increased probability of crossing a water barrier, while not exhibiting higher activity levels in an open field test. Since exploration tendencies and discrimination between kin and non-kin are likely to be advantageous when dispersing from the natal territory or in a high density population, our findings suggest that communal rearing prepares male house mice for a competitive social environment. Our results add to growing evidence that the early social environment influences development of important behavioural competences to cope with social challenges later in life.

摘要

群居繁殖的特点是多个雌性共同照顾后代,这会影响幼崽的行为发育。共同照顾的决定可能因当地情况而异,当社会竞争激烈时,这种情况更有可能发生。然而,目前尚不清楚幼年时的群居饲养是否会影响在竞争环境下可能具有适应性的成年行为。在这里,我们使用对照实验的方法,研究了群居饲养对雄性家鼠成年后的竞争和探索行为的影响。在竞争气味标记测试中,只有群居饲养的雄性会区分亲缘关系和非亲缘关系的对手,会在更靠近非亲缘关系雄性的地方留下更多的气味标记。群居饲养的雄性还表现出更高的探索倾向,跨越水障的概率增加,而在开阔场地测试中并没有表现出更高的活动水平。由于探索倾向和对亲缘关系和非亲缘关系个体的区分,在从出生地或在高密度种群中扩散时可能是有利的,因此我们的研究结果表明,群居饲养使雄性家鼠适应竞争激烈的社会环境。我们的研究结果增加了越来越多的证据,即早期的社会环境会影响到重要的行为能力的发展,以应对以后生活中的社会挑战。

https://cdn.ncbi.nlm.nih.gov/pmc/blobs/7114/6237865/314d35110e46/41598_2018_35089_Fig2_HTML.jpg
https://cdn.ncbi.nlm.nih.gov/pmc/blobs/7114/6237865/8d2d319e71b4/41598_2018_35089_Fig1_HTML.jpg
https://cdn.ncbi.nlm.nih.gov/pmc/blobs/7114/6237865/314d35110e46/41598_2018_35089_Fig2_HTML.jpg
https://cdn.ncbi.nlm.nih.gov/pmc/blobs/7114/6237865/8d2d319e71b4/41598_2018_35089_Fig1_HTML.jpg
https://cdn.ncbi.nlm.nih.gov/pmc/blobs/7114/6237865/314d35110e46/41598_2018_35089_Fig2_HTML.jpg

相似文献

1
Communal breeding affects offspring behaviours associated with a competitive social environment.群居繁殖会影响与竞争社会环境相关的后代行为。
Sci Rep. 2018 Nov 15;8(1):16850. doi: 10.1038/s41598-018-35089-w.
2
Fitness Costs of Female Competition Linked to Resource Defense and Relatedness of Competitors.与资源防御及竞争者亲缘关系相关的雌性竞争的适合度代价
Am Nat. 2023 Feb;201(2):256-268. doi: 10.1086/722513. Epub 2022 Dec 15.
3
Cryptic kin discrimination during communal lactation in mice favours cooperation between relatives.在小鼠的群体哺乳过程中,隐蔽的亲缘识别有利于亲属间的合作。
Commun Biol. 2023 Jul 15;6(1):734. doi: 10.1038/s42003-023-05115-3.
4
Immunocompetence of breeding females is sensitive to cortisol levels but not to communal rearing in the degu (Octodon degus).繁殖期雌性八齿鼠(Octodon degus)的免疫能力对皮质醇水平敏感,但对群居饲养不敏感。
Physiol Behav. 2015 Mar 1;140:61-70. doi: 10.1016/j.physbeh.2014.12.028. Epub 2014 Dec 12.
5
Competition for oestrous ewes between rams reared by their mothers or artificially reared: Effects on sexual behaviour and testosterone and cortisol serum concentrations.由母羊抚养长大的公羊或人工饲养的公羊对处于发情期母羊的竞争:对性行为、睾酮和皮质醇血清浓度的影响。
Theriogenology. 2017 Sep 15;100:134-138. doi: 10.1016/j.theriogenology.2017.06.009. Epub 2017 Jun 8.
6
Social enrichment during postnatal development induces transgenerational effects on emotional and reproductive behavior in mice.产后发育期间的社会丰富化对小鼠的情绪和生殖行为产生跨代影响。
Front Behav Neurosci. 2009 Sep 15;3:25. doi: 10.3389/neuro.08.025.2009. eCollection 2009.
7
Subordinate females in the cooperatively breeding Seychelles warbler obtain direct benefits by joining unrelated groups.从属的雌性塞舌尔莺通过加入不相关的群体获得直接的好处。
J Anim Ecol. 2018 Sep;87(5):1251-1263. doi: 10.1111/1365-2656.12849. Epub 2018 Jun 22.
8
Communal nursing in wild house mice is not a by-product of group living: females choose.野生家鼠的群体哺育并非群居的副产品:是雌性进行选择。
Naturwissenschaften. 2014 Jan;101(1):73-6. doi: 10.1007/s00114-013-1130-6. Epub 2014 Jan 4.
9
Alternative reproductive tactics in female striped mice: heavier females are more likely to breed solitarily than communally.雌性黄腹沙鼠的替代繁殖策略:体重更大的雌性更有可能独自繁殖而不是群居繁殖。
J Anim Ecol. 2015 Nov;84(6):1497-508. doi: 10.1111/1365-2656.12431. Epub 2015 Sep 14.
10
Communal rearing induces high predatory capacity in a solitary wolf spider and its potential in pest control.群体饲养可诱导独居狼蛛产生较高的捕食能力及其在害虫防治中的潜力。
Ecol Evol. 2023 Apr 18;13(4):e10024. doi: 10.1002/ece3.10024. eCollection 2023 Apr.

引用本文的文献

1
Early life social complexity shapes adult neural processing in the communal spiny mouse Acomys cahirinus.早期生活的社会复杂性塑造了群居刺毛鼠(Acomys cahirinus)成年后的神经处理能力。
Psychopharmacology (Berl). 2025 May;242(5):1025-1040. doi: 10.1007/s00213-023-06513-5. Epub 2023 Dec 6.

本文引用的文献

1
Social environment as a factor affecting exploration and learning in pre-juvenile rats.社会环境作为影响幼年前期大鼠探索和学习的一个因素。
Behav Processes. 2018 Aug;153:77-83. doi: 10.1016/j.beproc.2018.05.010. Epub 2018 May 17.
2
Individual odour signatures that mice learn are shaped by involatile major urinary proteins (MUPs).个体气味特征是由不可挥发的主要尿蛋白(MUPs)塑造的,而老鼠可以学习这些特征。
BMC Biol. 2018 Apr 27;16(1):48. doi: 10.1186/s12915-018-0512-9.
3
Dynamic modulation of sociality and aggression: an examination of plasticity within endocrine and neuroendocrine systems.
社会性与攻击性的动态调节:对内分泌和神经内分泌系统可塑性的研究
Philos Trans R Soc Lond B Biol Sci. 2017 Aug 19;372(1727). doi: 10.1098/rstb.2016.0243.
4
Oxytocin reactivity during intergroup conflict in wild chimpanzees.野生黑猩猩群体间冲突时的催产素反应
Proc Natl Acad Sci U S A. 2017 Jan 10;114(2):268-273. doi: 10.1073/pnas.1616812114. Epub 2016 Dec 27.
5
Social regulation of adult neurogenesis: A comparative approach.成体神经发生的社会调节:一种比较方法。
Front Neuroendocrinol. 2016 Apr;41:59-70. doi: 10.1016/j.yfrne.2016.02.001. Epub 2016 Feb 10.
6
The maternal social environment shapes offspring growth, physiology, and behavioural phenotype in guinea pigs.母体社会环境塑造了豚鼠后代的生长、生理和行为表型。
Front Zool. 2015 Aug 24;12 Suppl 1(Suppl 1):S13. doi: 10.1186/1742-9994-12-S1-S13. eCollection 2015.
7
The Genetic Basis of Kin Recognition in a Cooperatively Breeding Mammal.合作繁殖哺乳动物亲缘识别的遗传基础。
Curr Biol. 2015 Oct 19;25(20):2631-41. doi: 10.1016/j.cub.2015.08.045. Epub 2015 Sep 24.
8
Scent marking increases male reproductive success in wild house mice.气味标记可提高野生家鼠的雄性繁殖成功率。
Anim Behav. 2013 Nov;86(5):1013-1021. doi: 10.1016/j.anbehav.2013.09.004.
9
Socially mediated polyandry: a new benefit of communal nesting in mammals.社会介导的一妻多夫制:哺乳动物群居筑巢的一个新益处。
Behav Ecol. 2014 Nov;25(6):1467-1473. doi: 10.1093/beheco/aru143. Epub 2014 Aug 28.
10
Early environment influences later performance in fishes.早期环境影响鱼类后期的表现。
J Fish Biol. 2014 Aug;85(2):151-88. doi: 10.1111/jfb.12432. Epub 2014 Jun 24.