Suppr超能文献

调整锰铁镓合金的结构和磁性以实现多功能应用。

Tailoring structural and magnetic properties of Mn Fe Ga alloys towards multifunctional applications.

作者信息

Liu Z H, Tang Z J, Tan J G, Zhang Y J, Wu Z G, Wang X T, Liu G D, Ma X Q

机构信息

Department of Physics, University of Science and Technology Beijing, Beijing 100083, People's Republic of China.

School of Civil Engineering, Guangzhou University, Guangzhou 510006, People's Republic of China.

出版信息

IUCrJ. 2018 Oct 17;5(Pt 6):794-800. doi: 10.1107/S205225251801326X. eCollection 2018 Nov 1.

Abstract

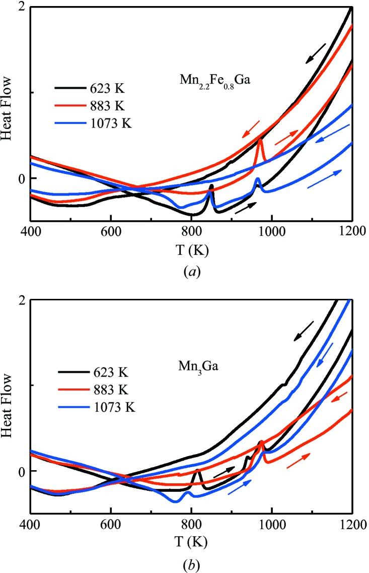
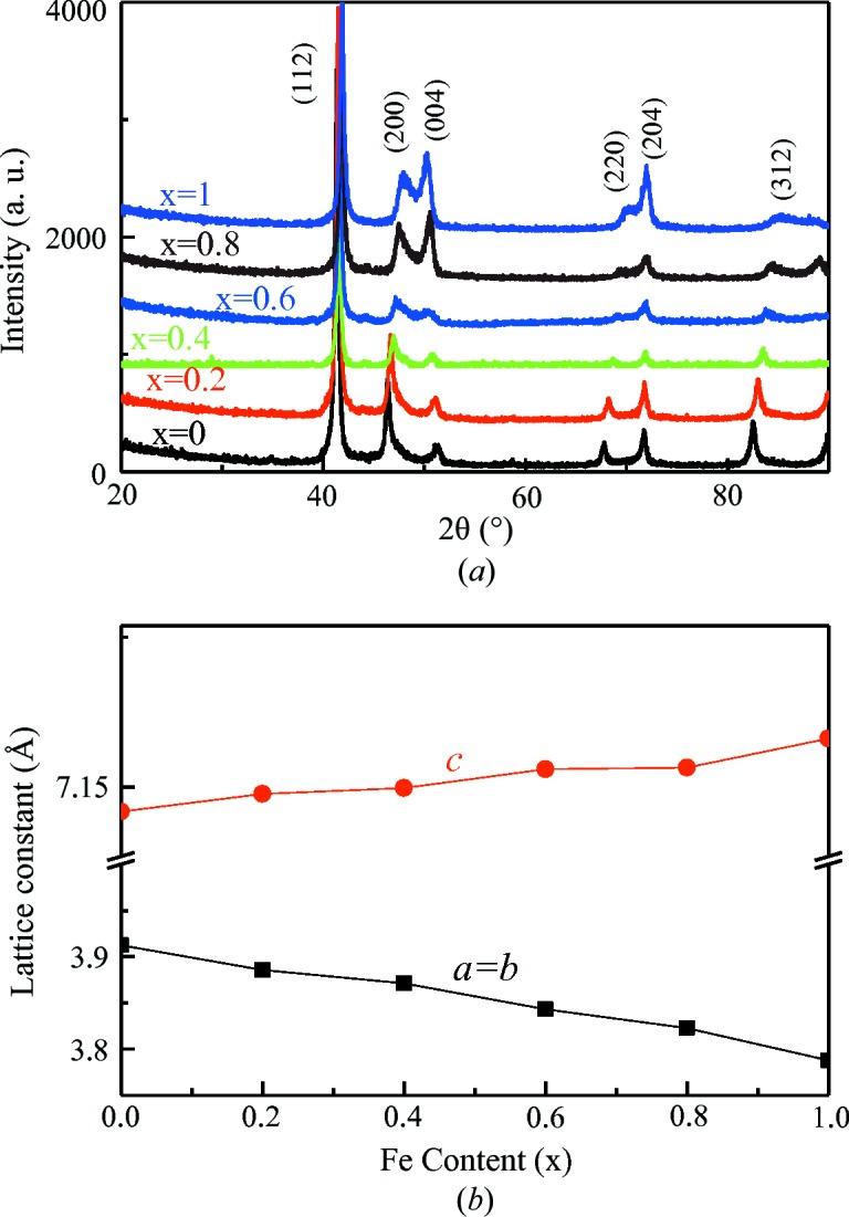
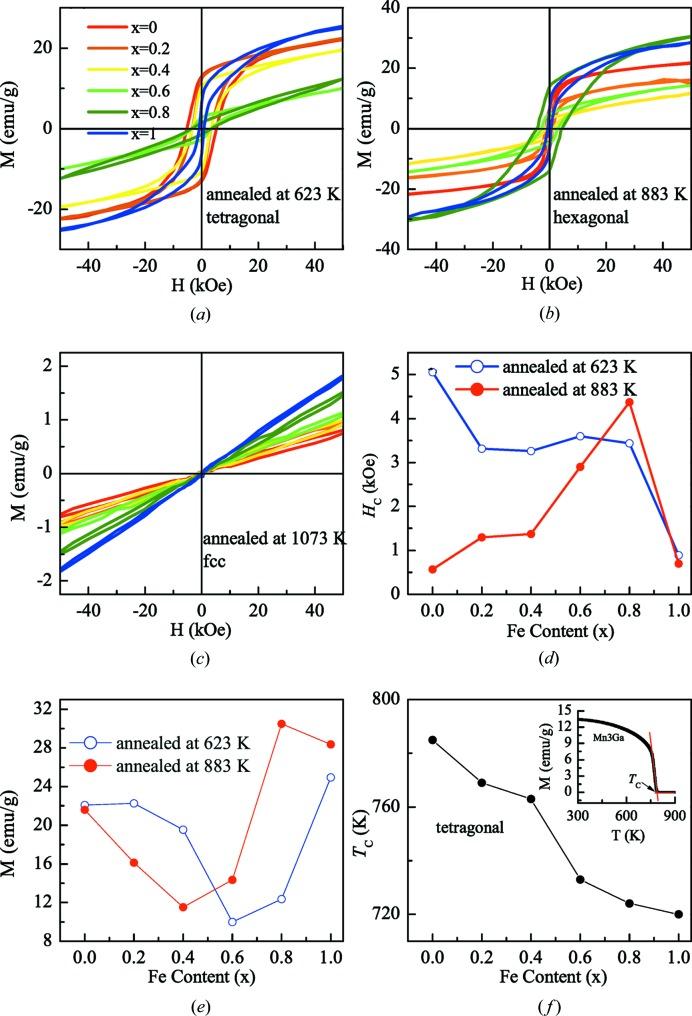
This study investigated the structural and magnetic properties of Mn Fe Ga alloys ( = 0, 0.2, 0.4, 0.6, 0.8, 1) under different heat-treatment conditions. A tetragonal structure was observed in samples that were heat treated at 623 K for three days followed by quenching in ice water. These tetragonal alloys present large coercive fields in the range 0.8-5 kOe and low saturation magnetization, and have great potential for application in spin-transfer torque-based devices. A hexagonal structure was observed in samples subjected to heat treatment at 883 K for three days following quenching in ice water. A moderate decrease in the coercive field has been observed for the hexagonal alloys compared with those with a tetragonal structure. However, the Mn Fe Ga alloys with a hexagonal structure exhibit other attractive magnetic properties, including collinear and non-collinear magnetic properties, holding high promise for technological applications. A face-centred-cubic (f.c.c.) structure was observed when subjected to annealing at 1073 K for three days followed by quenching in ice water. In contrast to the tetragonal and hexagonal structures, all f.c.c. alloys exhibit antiferromagnetic behaviour. This versatile material can display a wide range of multi-functionalities attributed to its tuneable crystal structure. This investigation will guide the design of multiple structures of these materials in order to utilise the wide functionalities for practical applications.

摘要

本研究调查了不同热处理条件下MnFeGa合金(= 0、0.2、0.4、0.6、0.8、1)的结构和磁性。在623 K下热处理三天后在冰水中淬火的样品中观察到四方结构。这些四方合金呈现出0.8 - 5 kOe范围内的大矫顽场和低饱和磁化强度,在基于自旋转移矩的器件中具有很大的应用潜力。在883 K下热处理三天后在冰水中淬火的样品中观察到六方结构。与四方结构的合金相比,六方合金的矫顽场有适度降低。然而,具有六方结构的MnFeGa合金表现出其他有吸引力的磁性,包括共线和非共线磁性,在技术应用方面很有前景。在1073 K下退火三天后在冰水中淬火时观察到面心立方(f.c.c.)结构。与四方和六方结构不同,所有f.c.c.合金都表现出反铁磁行为。这种多功能材料因其可调节的晶体结构可展现出广泛的多功能性。本研究将指导这些材料多种结构的设计,以便在实际应用中利用其广泛的功能。

https://cdn.ncbi.nlm.nih.gov/pmc/blobs/7731/6211531/201eaf86617c/m-05-00794-fig1.jpg

文献AI研究员

20分钟写一篇综述,助力文献阅读效率提升50倍。

立即体验

用中文搜PubMed

大模型驱动的PubMed中文搜索引擎

马上搜索

文档翻译

学术文献翻译模型,支持多种主流文档格式。

立即体验