• 文献检索
  • 文档翻译
  • 深度研究
  • 学术资讯
  • Suppr Zotero 插件Zotero 插件
  • 邀请有礼
  • 套餐&价格
  • 历史记录
应用&插件
Suppr Zotero 插件Zotero 插件浏览器插件Mac 客户端Windows 客户端微信小程序
定价
高级版会员购买积分包购买API积分包
服务
文献检索文档翻译深度研究API 文档MCP 服务
关于我们
关于 Suppr公司介绍联系我们用户协议隐私条款
关注我们

Suppr 超能文献

核心技术专利:CN118964589B侵权必究
粤ICP备2023148730 号-1Suppr @ 2026

文献检索

告别复杂PubMed语法,用中文像聊天一样搜索,搜遍4000万医学文献。AI智能推荐,让科研检索更轻松。

立即免费搜索

文件翻译

保留排版,准确专业,支持PDF/Word/PPT等文件格式,支持 12+语言互译。

免费翻译文档

深度研究

AI帮你快速写综述,25分钟生成高质量综述,智能提取关键信息,辅助科研写作。

立即免费体验

不同光谱组成的夜间人造光对小鼠肿瘤生长有不同影响:与褪黑素及表观遗传途径的相互作用

Artificial Light at Night of Different Spectral Compositions Differentially Affects Tumor Growth in Mice: Interaction With Melatonin and Epigenetic Pathways.

作者信息

Zubidat A E, Fares B, Fares F, Haim A

机构信息

1 The Israeli Center for Interdisciplinary Research in Chronobiology, University of Haifa, Haifa, Israel.

2 Department of Human Biology, University of Haifa, Haifa, Israel.

出版信息

Cancer Control. 2018 Jan-Dec;25(1):1073274818812908. doi: 10.1177/1073274818812908.

DOI:10.1177/1073274818812908
PMID:30477310
原文链接:https://pmc.ncbi.nlm.nih.gov/articles/PMC6259078/
Abstract

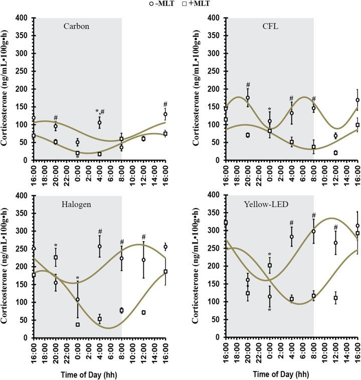
Lighting technology is rapidly advancing toward shorter wavelength illuminations that offer energy-efficient properties. Along with this advantage, the increased use of such illuminations also poses some health challenges, particularly breast cancer progression. Here, we evaluated the effects of artificial light at night (ALAN) of 4 different spectral compositions (500-595 nm) at 350 Lux on melatonin suppression by measuring its urine metabolite 6-sulfatoxymelatonin, global DNA methylation, tumor growth, metastases formation, and urinary corticosterone levels in 4T1 breast cancer cell-inoculated female BALB/c mice. The results revealed an inverse dose-dependent relationship between wavelength and melatonin suppression. Short wavelength increased tumor growth, promoted lung metastases formation, and advanced DNA hypomethylation, while long wavelength lessened these effects. Melatonin treatment counteracted these effects and resulted in reduced cancer burden. The wavelength suppression threshold for melatonin-induced tumor growth was 500 nm. These results suggest that short wavelength increases cancer burden by inducing aberrant DNA methylation mediated by the suppression of melatonin. Additionally, melatonin suppression and global DNA methylation are suggested as promising biomarkers for early diagnosis and therapy of breast cancer. Finally, ALAN may manifest other physiological responses such as stress responses that may challenge the survival fitness of the animal under natural environments.

摘要

照明技术正迅速朝着具有节能特性的更短波长照明发展。伴随着这一优势,此类照明的使用增加也带来了一些健康挑战,尤其是乳腺癌进展方面。在此,我们通过测量4T1乳腺癌细胞接种的雌性BALB/c小鼠尿液中的褪黑素代谢物6-硫酸氧褪黑素、全基因组DNA甲基化、肿瘤生长、转移形成以及尿皮质酮水平,评估了350勒克斯下4种不同光谱组成(500 - 595纳米)的夜间人工光(ALAN)对褪黑素抑制的影响。结果显示波长与褪黑素抑制之间存在剂量反比关系。短波长增加肿瘤生长、促进肺转移形成并加剧DNA低甲基化,而长波长则减轻了这些影响。褪黑素治疗抵消了这些影响并减轻了癌症负担。褪黑素诱导肿瘤生长的波长抑制阈值为500纳米。这些结果表明,短波长通过抑制褪黑素介导的异常DNA甲基化增加癌症负担。此外,褪黑素抑制和全基因组DNA甲基化被认为是乳腺癌早期诊断和治疗的有前景的生物标志物。最后,夜间人工光可能表现出其他生理反应,如应激反应,这可能会挑战动物在自然环境中的生存适应性。

https://cdn.ncbi.nlm.nih.gov/pmc/blobs/7246/6259078/ee90b244c413/10.1177_1073274818812908-fig7.jpg
https://cdn.ncbi.nlm.nih.gov/pmc/blobs/7246/6259078/c464a9ad4f5f/10.1177_1073274818812908-fig1.jpg
https://cdn.ncbi.nlm.nih.gov/pmc/blobs/7246/6259078/644db2bd64a1/10.1177_1073274818812908-fig2.jpg
https://cdn.ncbi.nlm.nih.gov/pmc/blobs/7246/6259078/1a93fb62982c/10.1177_1073274818812908-fig3.jpg
https://cdn.ncbi.nlm.nih.gov/pmc/blobs/7246/6259078/29bc95b581d1/10.1177_1073274818812908-fig4.jpg
https://cdn.ncbi.nlm.nih.gov/pmc/blobs/7246/6259078/1d22fcb3dbe0/10.1177_1073274818812908-fig5.jpg
https://cdn.ncbi.nlm.nih.gov/pmc/blobs/7246/6259078/f068df9d177a/10.1177_1073274818812908-fig6.jpg
https://cdn.ncbi.nlm.nih.gov/pmc/blobs/7246/6259078/ee90b244c413/10.1177_1073274818812908-fig7.jpg
https://cdn.ncbi.nlm.nih.gov/pmc/blobs/7246/6259078/c464a9ad4f5f/10.1177_1073274818812908-fig1.jpg
https://cdn.ncbi.nlm.nih.gov/pmc/blobs/7246/6259078/644db2bd64a1/10.1177_1073274818812908-fig2.jpg
https://cdn.ncbi.nlm.nih.gov/pmc/blobs/7246/6259078/1a93fb62982c/10.1177_1073274818812908-fig3.jpg
https://cdn.ncbi.nlm.nih.gov/pmc/blobs/7246/6259078/29bc95b581d1/10.1177_1073274818812908-fig4.jpg
https://cdn.ncbi.nlm.nih.gov/pmc/blobs/7246/6259078/1d22fcb3dbe0/10.1177_1073274818812908-fig5.jpg
https://cdn.ncbi.nlm.nih.gov/pmc/blobs/7246/6259078/f068df9d177a/10.1177_1073274818812908-fig6.jpg
https://cdn.ncbi.nlm.nih.gov/pmc/blobs/7246/6259078/ee90b244c413/10.1177_1073274818812908-fig7.jpg

相似文献

1
Artificial Light at Night of Different Spectral Compositions Differentially Affects Tumor Growth in Mice: Interaction With Melatonin and Epigenetic Pathways.不同光谱组成的夜间人造光对小鼠肿瘤生长有不同影响:与褪黑素及表观遗传途径的相互作用
Cancer Control. 2018 Jan-Dec;25(1):1073274818812908. doi: 10.1177/1073274818812908.
2
Epigenetic modification in 4T1 mouse breast cancer model by artificial light at night and melatonin - the role of DNA-methyltransferase.人工夜间光照和褪黑素对 4T1 小鼠乳腺癌模型的表观遗传修饰——DNA 甲基转移酶的作用。
Chronobiol Int. 2019 May;36(5):629-643. doi: 10.1080/07420528.2019.1574265. Epub 2019 Feb 12.
3
Light at night and melatonin have opposite effects on breast cancer tumors in mice assessed by growth rates and global DNA methylation.夜间光照和褪黑素通过对生长速度和全基因组 DNA 甲基化的影响对小鼠乳腺癌肿瘤产生相反的作用。
Chronobiol Int. 2014 Feb;31(1):144-50. doi: 10.3109/07420528.2013.842925. Epub 2013 Oct 16.
4
Altered metabolic and hormonal responses in male rats exposed to acute bright light-at-night associated with global DNA hypo-methylation.雄性大鼠暴露于与全球 DNA 低甲基化相关的急性夜间明亮光线下,代谢和激素反应发生改变。
J Photochem Photobiol B. 2019 May;194:107-118. doi: 10.1016/j.jphotobiol.2019.03.020. Epub 2019 Mar 28.
5
Artificial light at night: melatonin as a mediator between the environment and epigenome.夜间人造光:褪黑素作为环境与表观基因组之间的介质
Philos Trans R Soc Lond B Biol Sci. 2015 May 5;370(1667). doi: 10.1098/rstb.2014.0121.
6
Short-wavelength attenuated polychromatic white light during work at night: limited melatonin suppression without substantial decline of alertness.夜间工作时使用短波长减弱的多色白光:褪黑素抑制有限,警觉度无明显下降。
Chronobiol Int. 2013 Aug;30(7):843-54. doi: 10.3109/07420528.2013.773440. Epub 2013 May 24.
7
Assessment of 6-sulfatoxymelatonin rhythms and melatonin response to light in disease states: lessons from cirrhosis.疾病状态下6-硫酸氧褪黑素节律及褪黑素对光反应的评估:肝硬化的经验教训
Chronobiol Int. 2015 Mar;32(2):187-94. doi: 10.3109/07420528.2014.961607. Epub 2014 Sep 29.
8
Artificial light pollution: Shifting spectral wavelengths to mitigate physiological and health consequences in a nocturnal marsupial mammal.人工光污染:改变光谱波长以减轻夜间有袋哺乳动物的生理和健康后果。
J Exp Zool A Ecol Integr Physiol. 2018 Oct;329(8-9):497-505. doi: 10.1002/jez.2163. Epub 2018 May 2.
9
Effects of artificial light at night on human health: A literature review of observational and experimental studies applied to exposure assessment.夜间人造光对人类健康的影响:应用于暴露评估的观察性和实验性研究的文献综述
Chronobiol Int. 2015;32(9):1294-310. doi: 10.3109/07420528.2015.1073158. Epub 2015 Sep 16.
10
Melatonin mends adverse temporal effects of bright light at night partially independent of its effect on stress responses in captive birds.褪黑素部分修复了夜晚明亮光线对鸟类时间适应的负面影响,而与应激反应无关。
Chronobiol Int. 2020 Feb;37(2):189-208. doi: 10.1080/07420528.2019.1698590. Epub 2019 Dec 6.

引用本文的文献

1
Association between outdoor artificial light at night, circadian health, and LDL-C in intracranial artery atherosclerotic stenosis.夜间户外人造光、昼夜节律健康与颅内动脉粥样硬化性狭窄患者低密度脂蛋白胆固醇之间的关联
Clin Epigenetics. 2025 Jul 28;17(1):132. doi: 10.1186/s13148-025-01938-5.
2
Melatonin for gastric cancer treatment: where do we stand?褪黑素用于胃癌治疗:我们目前的进展如何?
Naunyn Schmiedebergs Arch Pharmacol. 2025 Feb;398(2):1265-1282. doi: 10.1007/s00210-024-03451-7. Epub 2024 Sep 17.
3
Chronotype in relation to shift work: A cohort study among 37,731 female nurses.

本文引用的文献

1
Psychological stress and breast cancer incidence: a systematic review.心理压力与乳腺癌发病率:一项系统综述。
Clujul Med. 2018;91(1):18-26. doi: 10.15386/cjmed-924. Epub 2018 Jan 15.
2
Artificially lit surface of Earth at night increasing in radiance and extent.夜间地球的人工照明表面在亮度和范围上都在增加。
Sci Adv. 2017 Nov 22;3(11):e1701528. doi: 10.1126/sciadv.1701528. eCollection 2017 Nov.
3
Association between light at night, melatonin secretion, sleep deprivation, and the internal clock: Health impacts and mechanisms of circadian disruption.
与轮班工作相关的昼夜节律类型:对37731名女护士的队列研究。
J Sleep Res. 2025 Apr;34(2):e14308. doi: 10.1111/jsr.14308. Epub 2024 Aug 19.
4
Moderating effects of PER3 gene DNA methylation on the association between problematic mobile phone use and chronotype among Chinese young adults: Focus on gender differences.PER3 基因 DNA 甲基化对中国青年中手机使用问题与昼夜型关联的调节作用:关注性别差异。
J Behav Addict. 2024 Jun 3;13(2):554-564. doi: 10.1556/2006.2024.00027. Print 2024 Jun 26.
5
DNA Methylation-Based Diagnosis and Treatment of Breast Cancer.基于DNA甲基化的乳腺癌诊断与治疗
Curr Cancer Drug Targets. 2025;25(1):26-37. doi: 10.2174/0115680096278978240204162353.
6
Potential of melatonin to reverse epigenetic aberrations in oral cancer: new findings.褪黑素逆转口腔癌表观遗传异常的潜力:新发现
EXCLI J. 2023 Dec 12;22:1280-1310. doi: 10.17179/excli2023-6624. eCollection 2023.
7
Molecular mechanisms of artificial light at night affecting circadian rhythm disturbance.人工夜间光照影响昼夜节律紊乱的分子机制。
Arch Toxicol. 2024 Feb;98(2):395-408. doi: 10.1007/s00204-023-03647-5. Epub 2023 Dec 16.
8
Melatonin: A Potential Regulator of DNA Methylation.褪黑素:一种潜在的DNA甲基化调节因子。
Antioxidants (Basel). 2023 May 25;12(6):1155. doi: 10.3390/antiox12061155.
9
A light-exploiting insectivorous bat shows no melatonin disruption under lights with different spectra.一种利用光线的食虫蝙蝠在不同光谱的光照下未表现出褪黑素紊乱。
R Soc Open Sci. 2023 Mar 29;10(3):221436. doi: 10.1098/rsos.221436. eCollection 2023 Mar.
10
Outdoor artificial light at night, air pollution, and risk of childhood acute lymphoblastic leukemia in the California Linkage Study of Early-Onset Cancers.夜间户外人工照明、空气污染与加利福尼亚早发性癌症病例对照研究中儿童急性淋巴细胞白血病风险
Sci Rep. 2023 Jan 11;13(1):583. doi: 10.1038/s41598-022-23682-z.
夜间光照、褪黑素分泌、睡眠剥夺与生物钟的关系:昼夜节律打乱对健康的影响及其机制。
Life Sci. 2017 Mar 15;173:94-106. doi: 10.1016/j.lfs.2017.02.008. Epub 2017 Feb 16.
4
Effects of blue light on the circadian system and eye physiology.蓝光对昼夜节律系统和眼睛生理的影响。
Mol Vis. 2016 Jan 24;22:61-72. eCollection 2016.
5
High Incidence of Breast Cancer in Light-Polluted Areas with Spatial Effects in Korea.韩国光污染地区乳腺癌高发且存在空间效应
Asian Pac J Cancer Prev. 2016;17(1):361-7. doi: 10.7314/apjcp.2016.17.1.361.
6
Impact of stress and levels of corticosterone on the development of breast cancer in rats.应激及皮质酮水平对大鼠乳腺癌发生发展的影响。
Psychol Res Behav Manag. 2016 Jan 5;9:1-6. doi: 10.2147/PRBM.S94177. eCollection 2016.
7
Can Avoiding Light at Night Reduce the Risk of Breast Cancer?夜间避免光照能降低患乳腺癌的风险吗?
Integr Cancer Ther. 2016 Jun;15(2):145-52. doi: 10.1177/1534735415618787. Epub 2015 Dec 1.
8
Repetitive DNA in eukaryotic genomes.真核生物基因组中的重复DNA
Chromosome Res. 2015 Sep;23(3):415-20. doi: 10.1007/s10577-015-9499-z.
9
Effects of artificial light at night on human health: A literature review of observational and experimental studies applied to exposure assessment.夜间人造光对人类健康的影响:应用于暴露评估的观察性和实验性研究的文献综述
Chronobiol Int. 2015;32(9):1294-310. doi: 10.3109/07420528.2015.1073158. Epub 2015 Sep 16.
10
Melatonin decreases breast cancer metastasis by modulating Rho-associated kinase protein-1 expression.褪黑素通过调节Rho相关激酶蛋白-1的表达来减少乳腺癌转移。
J Pineal Res. 2016 Jan;60(1):3-15. doi: 10.1111/jpi.12270. Epub 2015 Oct 20.