Suppr超能文献

糖尿病药物治疗对痴呆风险的影响:系统评价与荟萃分析

Impact of pharmacological treatment of diabetes mellitus on dementia risk: systematic review and meta-analysis.

作者信息

McMillan Jacqueline M, Mele Bria S, Hogan David B, Leung Alexander A

机构信息

Department of Medicine, University of Calgary Cumming School of Medicine, Calgary, Alberta, Canada.

Department of Community Health Sciences, University of Calgary, Calgary, Alberta, Canada.

出版信息

BMJ Open Diabetes Res Care. 2018 Nov 16;6(1):e000563. doi: 10.1136/bmjdrc-2018-000563. eCollection 2018.

Abstract

BACKGROUND

The association between diabetes mellitus (DM) treatment and dementia is not well understood.

OBJECTIVE

To investigate the association between treatment of diabetes, hypoglycemia, and dementia risk.

RESEARCH DESIGN AND METHODS

We performed a systematic review and meta-analysis of pharmacological treatment of diabetes and incident or progressive cognitive impairment. We searched Ovid MEDLINE, Embase, Cochrane Central Registry of Controlled Trials, and PsychINFO from inception to 18 October 2017. We included cross-sectional, case-control, cohort, and randomized controlled studies. The study was registered with PROSPERO (ID CRD42017077953).

RESULTS

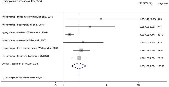
We included 37 studies into our systematic review and 13 into our meta-analysis. Ten studies investigated any antidiabetic treatment compared with no treatment or as add-on therapy to prior care. Treatment with an antidiabetic agent, in general, was not associated with incident dementia (risk ratio (RR) 1.01; 95% CI 0.93 to 1.10). However, we found differential effects across drug classes, with a signal of harm associated with insulin therapy (RR 1.21; 95% CI 1.06 to 1.39), but potentially protective effects with thiazolidinedione exposure (RR 0.71; 95% CI 0.55 to 0.93). Severe hypoglycemic episodes were associated with a nearly twofold increased likelihood of incident dementia (RR 1.77; 95% CI 1.35 to 2.33). Most studies did not account for DM duration or severity.

CONCLUSIONS AND LIMITATIONS

The association between treatment for diabetes and dementia is differential according to drug class, which is potentially mediated by hypoglycemic risk. Not accounting for DM duration and/or severity is a major limitation in the available evidence base.

摘要

背景

糖尿病(DM)治疗与痴呆症之间的关联尚未完全明确。

目的

研究糖尿病治疗、低血糖与痴呆症风险之间的关联。

研究设计与方法

我们对糖尿病的药物治疗以及新发或进行性认知障碍进行了系统评价和荟萃分析。我们检索了从数据库建立至2017年10月18日的Ovid MEDLINE、Embase、Cochrane对照试验中心注册库和PsychINFO。我们纳入了横断面研究、病例对照研究、队列研究和随机对照试验。该研究已在国际前瞻性系统评价注册库(PROSPERO)注册(注册号CRD42017077953)。

结果

我们的系统评价纳入了37项研究,荟萃分析纳入了13项研究。10项研究调查了任何抗糖尿病治疗与未治疗相比的情况,或作为先前治疗的附加疗法。一般来说,使用抗糖尿病药物治疗与新发痴呆症无关(风险比(RR)为1.01;95%置信区间为0.93至1.10)。然而,我们发现不同药物类别存在差异效应,胰岛素治疗有危害信号(RR为1.21;95%置信区间为1.06至1.39),而噻唑烷二酮类药物暴露可能有保护作用(RR为0.71;95%置信区间为0.55至0.93)。严重低血糖发作与新发痴呆症的可能性增加近两倍相关(RR为1.77;95%置信区间为1.35至2.33)。大多数研究未考虑糖尿病病程或严重程度。

结论与局限性

糖尿病治疗与痴呆症之间的关联因药物类别而异,这可能由低血糖风险介导。未考虑糖尿病病程和/或严重程度是现有证据基础中的一个主要局限。

https://cdn.ncbi.nlm.nih.gov/pmc/blobs/906c/6254737/9775ceb5f836/bmjdrc-2018-000563f01.jpg

相似文献

1
Impact of pharmacological treatment of diabetes mellitus on dementia risk: systematic review and meta-analysis.
BMJ Open Diabetes Res Care. 2018 Nov 16;6(1):e000563. doi: 10.1136/bmjdrc-2018-000563. eCollection 2018.
2
Effect of the treatment of Type 2 diabetes mellitus on the development of cognitive impairment and dementia.
Cochrane Database Syst Rev. 2017 Jun 15;6(6):CD003804. doi: 10.1002/14651858.CD003804.pub2.
4
Impact of antidiabetic agents on dementia risk: A Bayesian network meta-analysis.
Metabolism. 2020 Aug;109:154265. doi: 10.1016/j.metabol.2020.154265. Epub 2020 May 22.
7
Antipsychotics for agitation and psychosis in people with Alzheimer's disease and vascular dementia.
Cochrane Database Syst Rev. 2021 Dec 17;12(12):CD013304. doi: 10.1002/14651858.CD013304.pub2.
9

引用本文的文献

1
Systemic medications and dementia risk: a systematic umbrella review.
Mol Psychiatry. 2025 Jul 24. doi: 10.1038/s41380-025-03129-3.
2
The Impact of Cognitive Impairment on Cardiovascular Disease.
J Am Coll Cardiol. 2025 Jul 1;85(25):2472-2491. doi: 10.1016/j.jacc.2025.04.057.
3
Risk Factors Profile in Dementia Patients at a Tertiary Care Hospital in Nepal: A Cross-Sectional Study.
Am J Alzheimers Dis Other Demen. 2025 Jan-Dec;40:15333175251328472. doi: 10.1177/15333175251328472. Epub 2025 Mar 23.
5
Metformin and Cognitive Performance in Patients With Type 2 Diabetes: An Umbrella Review.
Neuropsychopharmacol Rep. 2025 Mar;45(1):e12528. doi: 10.1002/npr2.12528.
8
Investigating the impact of hypertension with and without diabetes on Alzheimer's disease risk: A clinico-pathological study.
Alzheimers Dement. 2024 Apr;20(4):2766-2778. doi: 10.1002/alz.13717. Epub 2024 Feb 29.
10
Association of medication adherence quality measures for diabetes, hypertension, and hyperlipidemia with cognitive decline.
J Family Med Prim Care. 2023 Nov;12(11):2667-2675. doi: 10.4103/jfmpc.jfmpc_935_23. Epub 2023 Nov 21.

本文引用的文献

1
Cognitive impairment in elderly patients with type 2 diabetes mellitus: prevalence and related clinical factors.
Diabetol Int. 2016 Nov 1;8(2):193-198. doi: 10.1007/s13340-016-0292-9. eCollection 2017 Jun.
3
Intranasal insulin in Alzheimer's dementia or mild cognitive impairment: a systematic review.
J Neurol. 2018 Jul;265(7):1497-1510. doi: 10.1007/s00415-018-8768-0. Epub 2018 Feb 1.
4
Metformin vs sulfonylurea use and risk of dementia in US veterans aged ≥65 years with diabetes.
Neurology. 2017 Oct 31;89(18):1877-1885. doi: 10.1212/WNL.0000000000004586. Epub 2017 Sep 27.
5
Diabetes in a Large Dementia Cohort: Clinical Characteristics and Treatment From the Swedish Dementia Registry.
Diabetes Care. 2017 Sep;40(9):1159-1166. doi: 10.2337/dc16-2516. Epub 2017 Jun 27.
6
Effects of metformin exposure on neurodegenerative diseases in elderly patients with type 2 diabetes mellitus.
Prog Neuropsychopharmacol Biol Psychiatry. 2017 Oct 3;79(Pt B):77-83. doi: 10.1016/j.pnpbp.2017.06.002. Epub 2017 Jun 3.
8
Effects of pioglitazone on the incidence of dementia in patients with diabetes.
J Diabetes Complications. 2017 Jun;31(6):1053-1057. doi: 10.1016/j.jdiacomp.2017.01.006. Epub 2017 Jan 20.
9
An updated meta-analysis of cohort studies: Diabetes and risk of Alzheimer's disease.
Diabetes Res Clin Pract. 2017 Feb;124:41-47. doi: 10.1016/j.diabres.2016.10.024. Epub 2016 Nov 9.
10
The effects of sitagliptin, a DPP-4 inhibitor, on cognitive functions in elderly diabetic patients with or without Alzheimer's disease.
Diabetes Res Clin Pract. 2017 Jan;123:192-198. doi: 10.1016/j.diabres.2016.12.010. Epub 2016 Dec 21.

文献AI研究员

20分钟写一篇综述,助力文献阅读效率提升50倍。

立即体验

用中文搜PubMed

大模型驱动的PubMed中文搜索引擎

马上搜索

文档翻译

学术文献翻译模型,支持多种主流文档格式。

立即体验