Suppr超能文献

11 至 18 岁青少年短期功率的性别特异性纵向建模。

Sex-Specific Longitudinal Modeling of Short-Term Power in 11- to 18-Year-Olds.

机构信息

Children's Health and Exercise Research Centre, University of Exeter, Exeter, UNITED KINGDOM.

出版信息

Med Sci Sports Exerc. 2019 May;51(5):1055-1063. doi: 10.1249/MSS.0000000000001864.

Abstract

PURPOSE

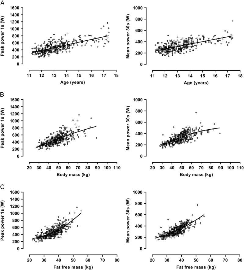
To investigate, longitudinally, short-term power output in relation to sex and concurrent changes in age, body mass, fat-free mass (FFM), and maturity status.

METHODS

Multiplicative multilevel modeling which enables the effects of variables to be partitioned concurrently within an allometric framework was used to analyze the peak power (PP) and mean power (MP) of 388 11- to 18-yr-olds. Multilevel models were founded on 763 (405 from boys; 358 from girls) determinations of PP and MP from Wingate anaerobic tests, supported by anthropometric measures and maturity status.

RESULTS

In both sexes, PP and MP were significantly (P < 0.001) correlated with age, body mass, and FFM. After controlling for body mass, initial models showed positive effects for age on PP and MP, with negative effects for sex and a sex by age interaction. Sex-specific models showed maturity status to have no additional effect on either PP or MP once age and body mass had been controlled for. Skinfold thicknesses in addition to body mass to provide a surrogate for FFM, yielded a significantly (P < 0.05) better statistical fit in all models compared with those based on either body mass or FFM estimated from youth-specific skinfold equations. Models founded on estimated FFM provided a significantly (P < 0.05) better fit than those based on body mass.

CONCLUSIONS

With body mass controlled for boys' PP and MP are higher than those of girls and sex differences increase with age from 11 to 18 yr. A multilevel modeling approach has showed that in both sexes the most powerful influences on short-term power output are concurrent changes in age and FFM as reflected by the combination of body mass and skinfold thicknesses.

摘要

目的

纵向研究短期功率输出与性别以及年龄、体重、去脂体重 (FFM) 和成熟状态的同期变化的关系。

方法

多水平模型分析了 388 名 11 至 18 岁青少年的峰值功率 (PP) 和平均功率 (MP),该模型允许在一种比例模型框架内同时划分变量的影响。多水平模型基于 763 次(男孩 405 次,女孩 358 次)从 Wingate 无氧测试中得出的 PP 和 MP 测量值,辅以人体测量学测量值和成熟状态。

结果

在男女两性中,PP 和 MP 与年龄、体重和 FFM 呈显著相关 (P < 0.001)。在控制体重后,初始模型显示年龄对 PP 和 MP 有积极影响,性别有负向影响,性别与年龄的相互作用有负向影响。在控制年龄和体重后,性别特异性模型显示成熟状态对 PP 和 MP 没有额外影响。除了体重外,体脂厚度也可以作为 FFM 的替代物,与基于体重或根据青少年体脂厚度方程估算的 FFM 的模型相比,所有模型的统计拟合度均显著提高 (P < 0.05)。基于估计的 FFM 的模型提供了比基于体重的模型更好的拟合度。

结论

控制体重后,男孩的 PP 和 MP 高于女孩,并且性别差异从 11 岁到 18 岁逐渐增大。多水平模型分析表明,在两性中,对短期功率输出影响最大的是年龄和 FFM 的同期变化,这反映在体重和体脂厚度的结合上。

https://cdn.ncbi.nlm.nih.gov/pmc/blobs/3ee8/6493681/72355b833177/mss-51-1055-g001.jpg

文献AI研究员

20分钟写一篇综述,助力文献阅读效率提升50倍。

立即体验

用中文搜PubMed

大模型驱动的PubMed中文搜索引擎

马上搜索

文档翻译

学术文献翻译模型,支持多种主流文档格式。

立即体验