Division of Emergency Medicine, Faculty of Health Sciences, University of the Witwatersrand, Johannesburg, South Africa.
Department of Emergency Medical Care, Faculty of Health Sciences, University of Johannesburg, Johannesburg, South Africa.
PLoS One. 2018 Dec 13;13(12):e0208655. doi: 10.1371/journal.pone.0208655. eCollection 2018.
Special investigations (e.g. blood tests, electrocardiograms, x-rays) play an integral role in patient management in the emergency department (ED). Having results immediately available prior to assessing a patient may lead to improved efficiency. This could be instituted by utilizing point-of-care (POC) testing with an alternative ED workflow, but the implementation would be dependent on acceptance by the end-users. The aim of this study was to assess doctors' perceptions of POC testing in the ED when the normal treatment pathway was modified to use upfront POC tests performed prior to doctor evaluation in an effort to decrease treatment times.
A prospective, randomized, controlled trial was performed in the ED where medical patients received either the normal ED workflow pathway or one of the enhanced workflow pathways with POC tests in various combinations prior to doctor evaluation. At the end of the study period, doctors were invited to participate in an anonymous survey to gauge their opinions on the implementation of the early POC testing.
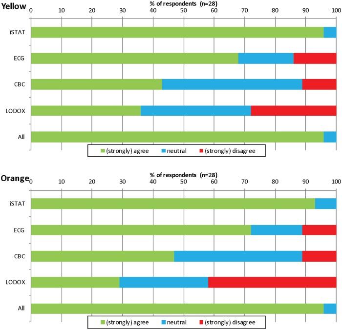
Overall, the doctors surveyed were very satisfied with use of upfront POC in the ED. One hundred per cent of the 28 doctors surveyed found it helpful to assess patients who already had test results available and would want it to be permanently available. Normalized satisfaction scores were more favorable for combinations of 3 or more tests (0.7-1.0) as opposed to combinations with 2 or less tests (0.3-0.7). There was a preference for combinations that included comprehensive blood results.
The implementation of workflow changes to assist doctors in the ED can potentially make them more productive. End-user buy-in is essential in order for the change to be successful. Upfront, protocolised, POC testing is a low-input, high-yield intervention that decreased treatment time and satisfied doctors.
特殊检查(例如血液检查、心电图、X 光检查)在急诊科(ED)的患者管理中起着不可或缺的作用。在评估患者之前立即获得结果可能会提高效率。这可以通过利用即时护理(POC)测试和替代 ED 工作流程来实现,但实施将取决于最终用户的接受程度。本研究的目的是评估医生对 ED 中 POCT 的看法,当正常治疗途径被修改为在医生评估之前使用即时 POCT 测试以努力缩短治疗时间时。
在 ED 中进行了一项前瞻性、随机、对照试验,其中接受治疗的内科患者接受了正常 ED 工作流程途径或增强工作流程途径之一,其中包括在医生评估之前进行各种即时 POCT 测试。在研究结束时,邀请医生参加匿名调查,以评估他们对早期 POCT 测试实施的意见。
总的来说,接受调查的医生对 ED 中即时 POCT 的使用非常满意。接受调查的 28 名医生中,有 100%的人认为在已经有测试结果可用的情况下评估患者很有帮助,他们希望该测试永久可用。正常化满意度评分对于 3 项或更多测试的组合(0.7-1.0)更为有利,而对于 2 项或更少测试的组合(0.3-0.7)则更为不利。他们更喜欢包含综合血液结果的组合。
对 ED 工作流程的更改可以提高医生的工作效率。为了使更改成功,最终用户的认可至关重要。即时、协议化的 POCT 是一种低投入、高收益的干预措施,可缩短治疗时间并使医生满意。