• 文献检索
  • 文档翻译
  • 深度研究
  • 学术资讯
  • Suppr Zotero 插件Zotero 插件
  • 邀请有礼
  • 套餐&价格
  • 历史记录
应用&插件
Suppr Zotero 插件Zotero 插件浏览器插件Mac 客户端Windows 客户端微信小程序
定价
高级版会员购买积分包购买API积分包
服务
文献检索文档翻译深度研究API 文档MCP 服务
关于我们
关于 Suppr公司介绍联系我们用户协议隐私条款
关注我们

Suppr 超能文献

核心技术专利:CN118964589B侵权必究
粤ICP备2023148730 号-1Suppr @ 2026

文献检索

告别复杂PubMed语法,用中文像聊天一样搜索,搜遍4000万医学文献。AI智能推荐,让科研检索更轻松。

立即免费搜索

文件翻译

保留排版,准确专业,支持PDF/Word/PPT等文件格式,支持 12+语言互译。

免费翻译文档

深度研究

AI帮你快速写综述,25分钟生成高质量综述,智能提取关键信息,辅助科研写作。

立即免费体验

从天然咔啉生物碱进化获得 1,2,4,9-四氢-3-硫-9-氮杂芴衍生物作为强效杀真菌剂对抗.

Evolution from Natural -Carboline Alkaloids to Obtain 1,2,4,9-tetrahydro-3-thia-9-aza-fluorene Derivatives as Potent Fungicidal Agents against .

机构信息

Key Laboratory of Crop Integrated Pest Management in South China, Ministry of Agriculture, South China Agricultural University, Guangzhou 510642, China.

出版信息

Int J Mol Sci. 2018 Dec 14;19(12):4044. doi: 10.3390/ijms19124044.

DOI:10.3390/ijms19124044
PMID:30558145
原文链接:https://pmc.ncbi.nlm.nih.gov/articles/PMC6320924/
Abstract

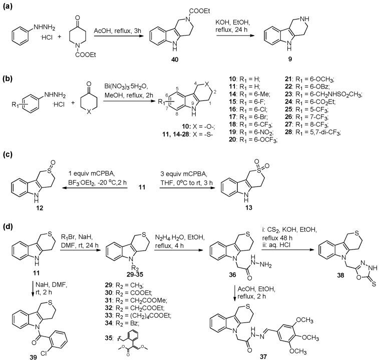
Rice sheath blight, caused by , is a globally important rice disease and the increasing resistance of this pathogen highlights the need for new active compounds against rice sheath blight. In this study, natural -carboline alkaloids were optimized to obtain a series of 1,2,4,9-tetrahydro-3-thia-9-aza-fluorene derivatives and evaluated for their fungicidal activity and mode of action against . Of these compounds, exhibited significant in vitro fungicidal activity against , with an EC value of 2.35 μg/mL, and was more active than validamycin A. In vivo bioassay also demonstrated that displayed superior protective and curative activities as compared to validamycin A. Mechanistically, not only induced the loss of mitochondrial membrane potential and accumulation of reactive oxygen species, but also interfered with DNA synthesis. Therefore, compound displayed pronounced in vitro and in vivo fungicidal activity against and could be used as a potential candidate for the control of rice sheath blight.

摘要

稻纹枯病由引起,是一种全球性重要的水稻病害,该病原菌的抗药性不断增强,凸显了开发防治稻纹枯病新活性化合物的必要性。在本研究中,对天然 - 咔啉生物碱进行了优化,得到了一系列 1,2,4,9-四氢-3-硫-9-氮杂-芴衍生物,并评估了它们对的杀菌活性和作用模式。在这些化合物中,表现出对的显著体外杀菌活性,EC 值为 2.35 μg/mL,活性优于井冈霉素 A。体内生物测定也表明,与井冈霉素 A 相比,表现出更好的保护和治疗活性。在机制上,化合物不仅诱导了线粒体膜电位的丧失和活性氧的积累,还干扰了 DNA 的合成。因此,化合物对表现出明显的体外和体内杀菌活性,可作为防治稻纹枯病的潜在候选药物。

https://cdn.ncbi.nlm.nih.gov/pmc/blobs/b1cf/6320924/2bc1af266c9b/ijms-19-04044-g007.jpg
https://cdn.ncbi.nlm.nih.gov/pmc/blobs/b1cf/6320924/71ad3c12971a/ijms-19-04044-g001.jpg
https://cdn.ncbi.nlm.nih.gov/pmc/blobs/b1cf/6320924/8e5803ec1497/ijms-19-04044-g002.jpg
https://cdn.ncbi.nlm.nih.gov/pmc/blobs/b1cf/6320924/095fbf16f32b/ijms-19-04044-g003.jpg
https://cdn.ncbi.nlm.nih.gov/pmc/blobs/b1cf/6320924/b9bde20b53d0/ijms-19-04044-g004.jpg
https://cdn.ncbi.nlm.nih.gov/pmc/blobs/b1cf/6320924/183a565b74fe/ijms-19-04044-g005.jpg
https://cdn.ncbi.nlm.nih.gov/pmc/blobs/b1cf/6320924/9059d77411a6/ijms-19-04044-g006.jpg
https://cdn.ncbi.nlm.nih.gov/pmc/blobs/b1cf/6320924/2bc1af266c9b/ijms-19-04044-g007.jpg
https://cdn.ncbi.nlm.nih.gov/pmc/blobs/b1cf/6320924/71ad3c12971a/ijms-19-04044-g001.jpg
https://cdn.ncbi.nlm.nih.gov/pmc/blobs/b1cf/6320924/8e5803ec1497/ijms-19-04044-g002.jpg
https://cdn.ncbi.nlm.nih.gov/pmc/blobs/b1cf/6320924/095fbf16f32b/ijms-19-04044-g003.jpg
https://cdn.ncbi.nlm.nih.gov/pmc/blobs/b1cf/6320924/b9bde20b53d0/ijms-19-04044-g004.jpg
https://cdn.ncbi.nlm.nih.gov/pmc/blobs/b1cf/6320924/183a565b74fe/ijms-19-04044-g005.jpg
https://cdn.ncbi.nlm.nih.gov/pmc/blobs/b1cf/6320924/9059d77411a6/ijms-19-04044-g006.jpg
https://cdn.ncbi.nlm.nih.gov/pmc/blobs/b1cf/6320924/2bc1af266c9b/ijms-19-04044-g007.jpg

相似文献

1
Evolution from Natural -Carboline Alkaloids to Obtain 1,2,4,9-tetrahydro-3-thia-9-aza-fluorene Derivatives as Potent Fungicidal Agents against .从天然咔啉生物碱进化获得 1,2,4,9-四氢-3-硫-9-氮杂芴衍生物作为强效杀真菌剂对抗.
Int J Mol Sci. 2018 Dec 14;19(12):4044. doi: 10.3390/ijms19124044.
2
Discovery of β-Carboline Oxadiazole Derivatives as Fungicidal Agents against Rice Sheath Blight.β-咔啉恶二唑衍生物的发现及其作为防治水稻纹枯病的杀菌剂。
J Agric Food Chem. 2018 Sep 19;66(37):9598-9607. doi: 10.1021/acs.jafc.8b02124. Epub 2018 Sep 6.
3
Simplification of Natural β-Carboline Alkaloids to Obtain Indole Derivatives as Potent Fungicides against Rice Sheath Blight.天然β-咔啉生物碱的简化以获得吲哚衍生物作为防治水稻纹枯病的强效杀菌剂。
Molecules. 2020 Mar 6;25(5):1189. doi: 10.3390/molecules25051189.
4
Design, synthesis, fungicidal property and QSAR studies of novel β-carbolines containing urea, benzoylthiourea and benzoylurea for the control of rice sheath blight.新型含脲基、苯甲酰基硫脲基和苯甲酰基脲的β-咔啉类化合物的设计、合成、杀菌活性及定量构效关系研究,用于防治水稻纹枯病。
Pest Manag Sci. 2018 Jul;74(7):1736-1746. doi: 10.1002/ps.4873. Epub 2018 Mar 2.
5
Synthesis, antifungal activity and action mechanism of novel citral amide derivatives against Rhizoctonia solani.新型柠檬醛酰胺衍生物的合成、抗真菌活性及其对丝核菌的作用机制。
Pest Manag Sci. 2024 Sep;80(9):4482-4494. doi: 10.1002/ps.8153. Epub 2024 May 9.
6
Synthesis and Fungicidal Activity of β-Carboline Alkaloids and Their Derivatives.β-咔啉生物碱及其衍生物的合成与杀菌活性
Molecules. 2015 Jul 31;20(8):13941-57. doi: 10.3390/molecules200813941.
7
Antifungal Activity and Mechanism of Camphor Derivatives against : A Promising Alternative Antifungal Agent for Rice Sheath Blight.樟脑衍生物对水稻纹枯病的抗真菌活性及作用机制:一种有前景的替代抗真菌剂
J Agric Food Chem. 2024 May 22;72(20):11415-11428. doi: 10.1021/acs.jafc.4c02865. Epub 2024 May 10.
8
Synthesis and fungicidal activity against Rhizoctonia solani of 2-alkyl (Alkylthio)-5-pyrazolyl-1,3,4-oxadiazoles (Thiadiazoles).2-烷基(烷硫基)-5-吡唑基-1,3,4-恶二唑(噻二唑)对茄丝核菌的合成及杀菌活性
J Agric Food Chem. 2000 Nov;48(11):5312-5. doi: 10.1021/jf991065s.
9
Dehydrozingerone Inspired Discovery of Potential Broad-Spectrum Fungicidal Agents as Ergosterol Biosynthesis Inhibitors.脱氢紫堇酮启发了广谱杀真菌剂作为麦角甾醇生物合成抑制剂的发现。
J Agric Food Chem. 2019 Oct 16;67(41):11354-11363. doi: 10.1021/acs.jafc.9b04231. Epub 2019 Oct 2.
10
Synthesis and bioactivities of Phenazine-1-carboxylic acid derivatives based on the modification of PCA carboxyl group.基于吩嗪-1-羧酸(PCA)羧基修饰的吩嗪-1-羧酸衍生物的合成及生物活性
Bioorg Med Chem Lett. 2017 May 1;27(9):2010-2013. doi: 10.1016/j.bmcl.2017.03.011. Epub 2017 Mar 8.

引用本文的文献

1
Simplification of Natural β-Carboline Alkaloids to Obtain Indole Derivatives as Potent Fungicides against Rice Sheath Blight.天然β-咔啉生物碱的简化以获得吲哚衍生物作为防治水稻纹枯病的强效杀菌剂。
Molecules. 2020 Mar 6;25(5):1189. doi: 10.3390/molecules25051189.

本文引用的文献

1
Applying Rice Seed-Associated Antagonistic Bacteria to Manage Rice Sheath Blight in Developing Countries.应用与水稻种子相关的拮抗细菌治理发展中国家的水稻纹枯病
Plant Dis. 2004 May;88(5):557-564. doi: 10.1094/PDIS.2004.88.5.557.
2
Azoxystrobin Rate and Timing Effects on Rice Sheath Blight Incidence and Severity and Rice Grain and Milling Yields.嘧菌酯施用量和施用时间对水稻纹枯病发病率、病情严重程度及水稻籽粒产量和碾磨产量的影响
Plant Dis. 2005 Nov;89(11):1171-1174. doi: 10.1094/PD-89-1171.
3
Discovery of β-Carboline Oxadiazole Derivatives as Fungicidal Agents against Rice Sheath Blight.
β-咔啉恶二唑衍生物的发现及其作为防治水稻纹枯病的杀菌剂。
J Agric Food Chem. 2018 Sep 19;66(37):9598-9607. doi: 10.1021/acs.jafc.8b02124. Epub 2018 Sep 6.
4
Cytotoxic and Apoptotic Activity of the Novel Harmine Derivative ZC-14 in Sf9 Cells.新型去氢骆驼蓬碱衍生物 ZC-14 在 Sf9 细胞中的细胞毒性和凋亡活性。
Int J Mol Sci. 2018 Mar 11;19(3):811. doi: 10.3390/ijms19030811.
5
Design, synthesis, fungicidal property and QSAR studies of novel β-carbolines containing urea, benzoylthiourea and benzoylurea for the control of rice sheath blight.新型含脲基、苯甲酰基硫脲基和苯甲酰基脲的β-咔啉类化合物的设计、合成、杀菌活性及定量构效关系研究,用于防治水稻纹枯病。
Pest Manag Sci. 2018 Jul;74(7):1736-1746. doi: 10.1002/ps.4873. Epub 2018 Mar 2.
6
Transforming Sphingosine Kinase 1 Inhibitors into Dual and Sphingosine Kinase 2 Selective Inhibitors: Design, Synthesis, and in Vivo Activity.将鞘氨醇激酶1抑制剂转化为双重及鞘氨醇激酶2选择性抑制剂:设计、合成及体内活性
J Med Chem. 2017 May 11;60(9):3933-3957. doi: 10.1021/acs.jmedchem.7b00233. Epub 2017 Apr 25.
7
A review on traditional uses, phytochemistry, pharmacology, pharmacokinetics and toxicology of the genus Peganum.骆驼蓬属植物的传统用途、植物化学、药理学、药代动力学及毒理学综述
J Ethnopharmacol. 2017 May 5;203:127-162. doi: 10.1016/j.jep.2017.03.049. Epub 2017 Mar 28.
8
ROS Involves the Fungicidal Actions of Thymol against Spores of Aspergillus flavus via the Induction of Nitric Oxide.活性氧参与百里酚通过诱导一氧化氮对黄曲霉孢子的杀菌作用。
PLoS One. 2016 May 19;11(5):e0155647. doi: 10.1371/journal.pone.0155647. eCollection 2016.
9
Synthesis and SAR assessment of novel Tubathian analogs in the pursuit of potent and selective HDAC6 inhibitors.新型Tubathian类似物的合成及构效关系评估以寻求高效且具选择性的组蛋白去乙酰化酶6(HDAC6)抑制剂
Org Biomol Chem. 2016 Feb 28;14(8):2537-49. doi: 10.1039/c5ob02625c.
10
Deciphering the mode of action of a mutant Allium sativum Leaf Agglutinin (mASAL), a potent antifungal protein on Rhizoctonia solani.解析突变型大蒜叶凝集素(mASAL)的作用模式,mASAL是一种对立枯丝核菌有效的抗真菌蛋白。
BMC Microbiol. 2015 Oct 26;15:237. doi: 10.1186/s12866-015-0549-7.