• 文献检索
  • 文档翻译
  • 深度研究
  • 学术资讯
  • Suppr Zotero 插件Zotero 插件
  • 邀请有礼
  • 套餐&价格
  • 历史记录
应用&插件
Suppr Zotero 插件Zotero 插件浏览器插件Mac 客户端Windows 客户端微信小程序
定价
高级版会员购买积分包购买API积分包
服务
文献检索文档翻译深度研究API 文档MCP 服务
关于我们
关于 Suppr公司介绍联系我们用户协议隐私条款
关注我们

Suppr 超能文献

核心技术专利:CN118964589B侵权必究
粤ICP备2023148730 号-1Suppr @ 2026

文献检索

告别复杂PubMed语法,用中文像聊天一样搜索,搜遍4000万医学文献。AI智能推荐,让科研检索更轻松。

立即免费搜索

文件翻译

保留排版,准确专业,支持PDF/Word/PPT等文件格式,支持 12+语言互译。

免费翻译文档

深度研究

AI帮你快速写综述,25分钟生成高质量综述,智能提取关键信息,辅助科研写作。

立即免费体验

通过原子内电荷转移实现的钇掺杂单硫化钐中的巨各向同性负热膨胀。

Giant isotropic negative thermal expansion in Y-doped samarium monosulfides by intra-atomic charge transfer.

作者信息

Takenaka Koshi, Asai Daigo, Kaizu Ryoichi, Mizuno Yosuke, Yokoyama Yasunori, Okamoto Yoshihiko, Katayama Naoyuki, Suzuki Hiroyuki S, Imanaka Yasutaka

机构信息

Department of Applied Physics, Nagoya University, Furo-cho, Chikusa-ku, Nagoya, 464-8603, Japan.

Research Center for Advanced Measurement and Characterization, National Institute for Materials Science (NIMS), Sengen, Tsukuba, 305-0047, Japan.

出版信息

Sci Rep. 2019 Jan 15;9(1):122. doi: 10.1038/s41598-018-36568-w.

DOI:10.1038/s41598-018-36568-w
PMID:30644408
原文链接:https://pmc.ncbi.nlm.nih.gov/articles/PMC6333773/
Abstract

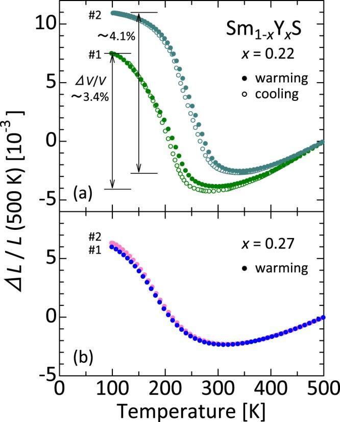
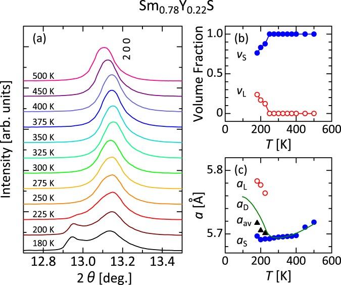
Stimulated by strong demand for thermal expansion control from advanced modern industries, various giant negative thermal expansion (NTE) materials have been developed during the last decade. Nevertheless, most such materials exhibit anisotropic thermal expansion in the crystal lattice. Therefore, strains and cracks induced during repeated thermal cycling degrade their performance as thermal-expansion compensators. Here we achieved giant isotropic NTE with volume change exceeding 3%, up to 4.1%, via control of the electronic configuration in Sm atoms of SmS, (4 f) or (4 f)(5d), by partial replacement of Sm with Y. Contrary to NTE originating from cooperative phenomena such as magnetism, the present NTE attributable to the intra-atomic phenomenon avoids the size effect of NTE and therefore provides us with fine-grained thermal-expansion compensators, which are strongly desired to control thermal expansion of microregions such as underfill of a three-dimensional integrated circuit. Volume control of lanthanide monosulfides via tuning of the 4 f electronic configuration presents avenues for novel mechanical functions of a material, such as a volume-change driven actuator by an electrical field, which has a different drive principle from those of conventional strain-driven actuators such as piezostrictive or magnetostrictive materials.

摘要

受现代先进产业对热膨胀控制的强烈需求刺激,在过去十年中已开发出各种巨大负热膨胀(NTE)材料。然而,大多数此类材料在晶格中表现出各向异性热膨胀。因此,在反复热循环过程中产生的应变和裂纹会降低其作为热膨胀补偿器的性能。在此,我们通过用Y部分替代Sm来控制SmS中Sm原子的电子构型((4f)或(4f)(5d)),实现了体积变化超过3%、高达4.1%的巨大各向同性NTE。与源自磁性等协同现象的NTE相反,这种归因于原子内现象的NTE避免了NTE的尺寸效应,因此为我们提供了细粒度的热膨胀补偿器,这对于控制诸如三维集成电路底部填充等微区的热膨胀非常有必要。通过调整4f电子构型对镧系单硫化物进行体积控制,为材料的新型机械功能开辟了途径,例如由电场驱动的体积变化致动器,其驱动原理与压电或磁致伸缩材料等传统应变驱动致动器不同。

https://cdn.ncbi.nlm.nih.gov/pmc/blobs/b7e6/6333773/5cd4252f77a2/41598_2018_36568_Fig4_HTML.jpg
https://cdn.ncbi.nlm.nih.gov/pmc/blobs/b7e6/6333773/f1ac2e834701/41598_2018_36568_Fig1_HTML.jpg
https://cdn.ncbi.nlm.nih.gov/pmc/blobs/b7e6/6333773/5723fc4c1c27/41598_2018_36568_Fig2_HTML.jpg
https://cdn.ncbi.nlm.nih.gov/pmc/blobs/b7e6/6333773/360889ff478a/41598_2018_36568_Fig3_HTML.jpg
https://cdn.ncbi.nlm.nih.gov/pmc/blobs/b7e6/6333773/5cd4252f77a2/41598_2018_36568_Fig4_HTML.jpg
https://cdn.ncbi.nlm.nih.gov/pmc/blobs/b7e6/6333773/f1ac2e834701/41598_2018_36568_Fig1_HTML.jpg
https://cdn.ncbi.nlm.nih.gov/pmc/blobs/b7e6/6333773/5723fc4c1c27/41598_2018_36568_Fig2_HTML.jpg
https://cdn.ncbi.nlm.nih.gov/pmc/blobs/b7e6/6333773/360889ff478a/41598_2018_36568_Fig3_HTML.jpg
https://cdn.ncbi.nlm.nih.gov/pmc/blobs/b7e6/6333773/5cd4252f77a2/41598_2018_36568_Fig4_HTML.jpg

相似文献

1
Giant isotropic negative thermal expansion in Y-doped samarium monosulfides by intra-atomic charge transfer.通过原子内电荷转移实现的钇掺杂单硫化钐中的巨各向同性负热膨胀。
Sci Rep. 2019 Jan 15;9(1):122. doi: 10.1038/s41598-018-36568-w.
2
Progress of Research in Negative Thermal Expansion Materials: Paradigm Shift in the Control of Thermal Expansion.负热膨胀材料的研究进展:热膨胀控制中的范式转变
Front Chem. 2018 Jul 2;6:267. doi: 10.3389/fchem.2018.00267. eCollection 2018.
3
Colossal negative thermal expansion in reduced layered ruthenate.层状钌酸盐中具有巨大的负热膨胀。
Nat Commun. 2017 Jan 10;8:14102. doi: 10.1038/ncomms14102.
4
Kondo-Induced Giant Isotropic Negative Thermal Expansion.近藤效应诱导的巨大各向同性负热膨胀
Phys Rev Lett. 2020 Mar 27;124(12):125701. doi: 10.1103/PhysRevLett.124.125701.
5
Negative thermal expansion in functional materials: controllable thermal expansion by chemical modifications.功能材料中的负热膨胀:通过化学修饰实现可控热膨胀。
Chem Soc Rev. 2015 Jun 7;44(11):3522-67. doi: 10.1039/c4cs00461b.
6
Mechanisms and Materials for NTE.非热电子发射的机制与材料
Front Chem. 2018 Aug 22;6:371. doi: 10.3389/fchem.2018.00371. eCollection 2018.
7
Negative Thermal Expansion of Ni-Doped MnCoGe at Room-Temperature Magnetic Tuning.镍掺杂的MnCoGe在室温磁调谐下的负热膨胀
ACS Appl Mater Interfaces. 2019 May 15;11(19):17531-17538. doi: 10.1021/acsami.9b02772. Epub 2019 May 6.
8
Discovering Large Isotropic Negative Thermal Expansion in Framework Compound AgB(CN) via the Concept of Average Atomic Volume.通过平均原子体积概念在骨架化合物AgB(CN)中发现大的各向同性负热膨胀。
J Am Chem Soc. 2020 Apr 15;142(15):6935-6939. doi: 10.1021/jacs.0c02188. Epub 2020 Apr 6.
9
Atomic Linkage Flexibility Tuned Isotropic Negative, Zero, and Positive Thermal Expansion in MZrF (M = Ca, Mn, Fe, Co, Ni, and Zn).MZrF(M=Ca、Mn、Fe、Co、Ni 和 Zn)中原子键联弹性各向同性调谐的负、零和正热膨胀。
J Am Chem Soc. 2016 Nov 9;138(44):14530-14533. doi: 10.1021/jacs.6b08746. Epub 2016 Nov 1.
10
Controllable Negative Thermal Expansion by Mechanical Pulverizing in Hexagonal MnCoGe Compounds.通过机械粉碎六方 MnCoGe 化合物实现可控负热膨胀。
Inorg Chem. 2018 Nov 19;57(22):14199-14207. doi: 10.1021/acs.inorgchem.8b02195. Epub 2018 Nov 7.

引用本文的文献

1
SmS/EuS/SmS Tri-Layer Thin Films: The Role of Diffusion in the Pressure Triggered Semiconductor-Metal Transition.硫化钐/硫化铕/硫化钐三层薄膜:扩散在压力触发的半导体-金属转变中的作用
Nanomaterials (Basel). 2019 Oct 24;9(11):1513. doi: 10.3390/nano9111513.
2
Switchable Piezoresistive SmS Thin Films on Large Area.大面积可切换压阻式 SmS 薄膜。
Sensors (Basel). 2019 Oct 11;19(20):4390. doi: 10.3390/s19204390.

本文引用的文献

1
Colossal Negative Thermal Expansion in Electron-Doped PbVO Perovskites.电子掺杂的钙钛矿型PbVO中的巨大负热膨胀
Angew Chem Int Ed Engl. 2018 Jul 2;57(27):8170-8173. doi: 10.1002/anie.201804082. Epub 2018 Jun 11.
2
Near-field spectroscopic investigation of dual-band heavy fermion metamaterials.双频重费米子超材料的近场光谱研究。
Nat Commun. 2017 Dec 22;8(1):2262. doi: 10.1038/s41467-017-02378-3.
3
Colossal Volume Contraction in Strong Polar Perovskites of Pb(Ti,V)O.钙钛矿型强极性 Pb(Ti,V)O 中的巨量体收缩
J Am Chem Soc. 2017 Oct 25;139(42):14865-14868. doi: 10.1021/jacs.7b08625. Epub 2017 Oct 12.
4
Tunable thermal expansion in framework materials through redox intercalation.通过氧化还原插层实现骨架材料的可调热膨胀。
Nat Commun. 2017 Feb 9;8:14441. doi: 10.1038/ncomms14441.
5
Colossal negative thermal expansion in reduced layered ruthenate.层状钌酸盐中具有巨大的负热膨胀。
Nat Commun. 2017 Jan 10;8:14102. doi: 10.1038/ncomms14102.
6
Negative thermal expansion induced by intermetallic charge transfer.金属间电荷转移诱导的负热膨胀。
Sci Technol Adv Mater. 2015 Jun 2;16(3):034904. doi: 10.1088/1468-6996/16/3/034904. eCollection 2015 Jun.
7
Magnetovolume effects in manganese nitrides with antiperovskite structure.具有反钙钛矿结构的氮化锰中的磁体积效应。
Sci Technol Adv Mater. 2014 Feb 10;15(1):015009. doi: 10.1088/1468-6996/15/1/015009. eCollection 2014 Feb.
8
Negative thermal expansion materials: technological key for control of thermal expansion.负热膨胀材料:控制热膨胀的技术关键
Sci Technol Adv Mater. 2012 Feb 2;13(1):013001. doi: 10.1088/1468-6996/13/1/013001. eCollection 2012 Feb.
9
Negative thermal expansion in functional materials: controllable thermal expansion by chemical modifications.功能材料中的负热膨胀:通过化学修饰实现可控热膨胀。
Chem Soc Rev. 2015 Jun 7;44(11):3522-67. doi: 10.1039/c4cs00461b.
10
Giant negative thermal expansion in bonded MnCoGe-based compounds with Ni2In-type hexagonal structure.具有 Ni2In 型六方结构的 MnCoGe 基化合物的巨大负热膨胀。
J Am Chem Soc. 2015 Feb 11;137(5):1746-9. doi: 10.1021/ja510693a. Epub 2015 Feb 2.