Suppr超能文献

一项针对急性淋巴细胞白血病的大龄青少年和年轻成人的儿科治疗方案:CALGB 10403 研究结果。

A pediatric regimen for older adolescents and young adults with acute lymphoblastic leukemia: results of CALGB 10403.

机构信息

University of Chicago Comprehensive Cancer Center, Chicago, IL.

Department of Medicine, University of Pennsylvania, Philadelphia, PA.

出版信息

Blood. 2019 Apr 4;133(14):1548-1559. doi: 10.1182/blood-2018-10-881961. Epub 2019 Jan 18.

Abstract

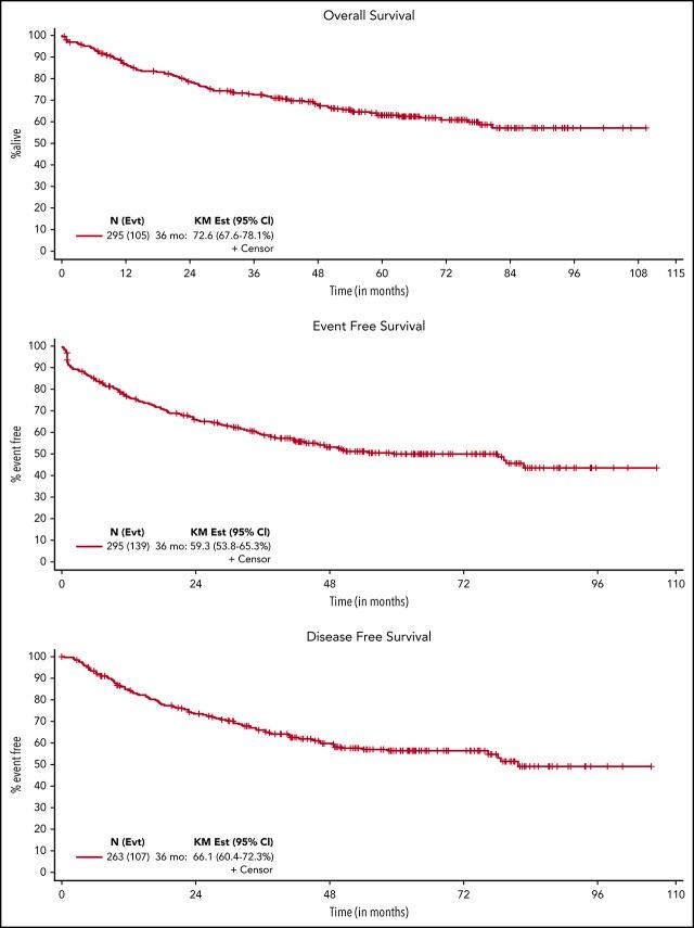
Retrospective studies have suggested that older adolescents and young adults (AYAs) with acute lymphoblastic leukemia (ALL) have better survival rates when treated using a pediatric ALL regimen administered by pediatric treatment teams. To address the feasibility and efficacy of using a pediatric treatment regimen for AYA patients with newly diagnosed ALL administered by adult treatment teams, we performed a prospective study, CALGB 10403, with doses and schedule identical to those in the Children's Oncology Group study AALL0232. From 2007 to 2012, 318 patients were enrolled; 295 were eligible and evaluable for response. Median age was 24 years (range, 17-39 years). Use of the pediatric regimen was safe; overall treatment-related mortality was 3%, and there were only 2 postremission deaths. Median event-free survival (EFS) was 78.1 months (95% confidence interval [CI], 41.8 to not reached), more than double the historical control of 30 months (95% CI, 22-38 months); 3-year EFS was 59% (95% CI, 54%-65%). Median overall survival (OS) was not reached. Estimated 3-year OS was 73% (95% CI, 68%-78%). Pretreatment risk factors associated with worse treatment outcomes included obesity and presence of the Philadelphia-like gene expression signature. Use of a pediatric regimen for AYAs with ALL up to age 40 years was feasible and effective, resulting in improved survival rates compared with historical controls. CALGB 10403 can be considered a new treatment standard upon which to build for improving survival for AYAs with ALL. This trial was registered at www.clinicaltrials.gov as #NCT00558519.

摘要

回顾性研究表明,采用儿科治疗团队提供的儿科急性淋巴细胞白血病 (ALL) 方案治疗大龄青少年和年轻成人 (AYA) 患者,其生存率更高。为了评估使用儿科治疗方案治疗新诊断为 ALL 的 AYA 患者的可行性和疗效,我们开展了一项前瞻性研究,CALGB 10403,其剂量和方案与儿童肿瘤组研究 AALL0232 相同。2007 年至 2012 年,共纳入 318 例患者;295 例符合条件并可评估缓解情况。中位年龄为 24 岁(范围,17-39 岁)。使用儿科方案是安全的;总治疗相关死亡率为 3%,仅发生 2 例缓解后死亡。中位无事件生存(EFS)为 78.1 个月(95%可信区间 [CI],41.8-未达到),是历史对照的两倍多(95%CI,30-38 个月);3 年 EFS 为 59%(95%CI,54%-65%)。中位总生存(OS)未达到。预计 3 年 OS 为 73%(95%CI,68%-78%)。与较差治疗结局相关的预处理危险因素包括肥胖和费城样基因表达特征的存在。对于年龄在 40 岁以下的 ALL AYA,使用儿科方案是可行且有效的,与历史对照相比,可提高生存率。CALGB 10403 可以作为改善 ALL AYA 患者生存率的新治疗标准。该试验在 www.clinicaltrials.gov 上注册,编号为 #NCT00558519。

https://cdn.ncbi.nlm.nih.gov/pmc/blobs/95a4/6450431/e690522fc193/blood881961absf1.jpg

文献检索

告别复杂PubMed语法,用中文像聊天一样搜索,搜遍4000万医学文献。AI智能推荐,让科研检索更轻松。

立即免费搜索

文件翻译

保留排版,准确专业,支持PDF/Word/PPT等文件格式,支持 12+语言互译。

免费翻译文档

深度研究

AI帮你快速写综述,25分钟生成高质量综述,智能提取关键信息,辅助科研写作。

立即免费体验