Suppr超能文献

含布洛芬或萘普生部分的磷脂酰胆碱的合成及细胞毒性。

Syntheses and cytotoxicity of phosphatidylcholines containing ibuprofen or naproxen moieties.

机构信息

Department of Chemistry, Wrocław University of Environmental and Life Sciences, Norwida 25, 50-375, Wrocław, Poland.

Laboratory of Glycobiology, Ludwik Hirszfeld Institute of Immunology and Experimental Therapy, Polish Academy of Sciences, Weigla 12, 53-114, Wrocław, Poland.

出版信息

Sci Rep. 2019 Jan 18;9(1):220. doi: 10.1038/s41598-018-36571-1.

Abstract

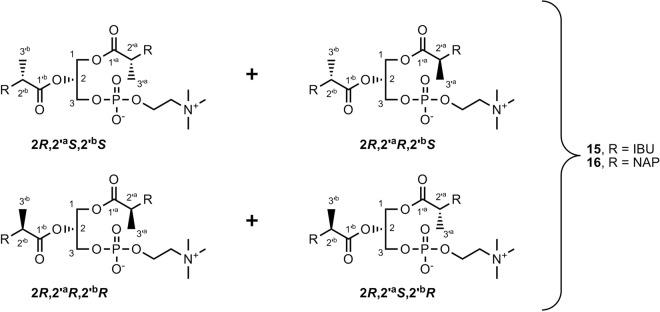
In this study, novel phosphatidylcholines containing ibuprofen or naproxen moieties were synthesized in good yields and high purities. Under the given synthesis conditions, the attached drug moieties racemized, which resulted in the formation of phospholipid diastereomers. The comperative studies of the cytotoxicity of ibuprofen, naproxen and their phosphatidylcholine derivatives against human promyelocytic leukemia HL-60, human colon carcinoma Caco-2, and porcine epithelial intestinal IPEC-J2 cells were carried out. The results of these studies indicated that phospholipids with NSAIDs at both sn-1 and sn-2 positions (15 and 16) were more toxic than ibuprofen or naproxen themselves, whereas 2-lysophosphatidylcholines (7 and 8) were less toxic against all tested cell lines. Phospholipids with NSAIDs at sn-1 and palmitic acid at sn-2 (9 and 10) were also less toxic against Caco-2 and normal cells (IPEC-J2).

摘要

在这项研究中,合成了含有布洛芬或萘普生部分的新型磷脂,产率和纯度都很高。在给定的合成条件下,附着的药物部分外消旋化,导致磷脂的非对映异构体形成。对布洛芬、萘普生及其磷脂衍生物对人早幼粒细胞白血病 HL-60、人结肠癌细胞 Caco-2 和猪肠上皮细胞 IPEC-J2 的细胞毒性进行了比较研究。这些研究的结果表明,在 sn-1 和 sn-2 位(15 和 16)都具有 NSAIDs 的磷脂比布洛芬或萘普生本身毒性更大,而 2-溶血磷脂(7 和 8)对所有测试的细胞系的毒性更小。在 sn-1 位具有 NSAIDs 和在 sn-2 位具有棕榈酸的磷脂(9 和 10)对 Caco-2 和正常细胞(IPEC-J2)的毒性也较小。

https://cdn.ncbi.nlm.nih.gov/pmc/blobs/1f8b/6338774/32bf8875f3fc/41598_2018_36571_Fig1_HTML.jpg

文献AI研究员

20分钟写一篇综述,助力文献阅读效率提升50倍。

立即体验

用中文搜PubMed

大模型驱动的PubMed中文搜索引擎

马上搜索

文档翻译

学术文献翻译模型,支持多种主流文档格式。

立即体验