Suppr超能文献

胰淀粉酶作为一项常规检查

Pancreatic Isoamylase as a Routine Test.

作者信息

Skude Gunnar

机构信息

Department of Clinical Chemistry, County Hospital, Halmstad, Sweden

出版信息

EJIFCC. 2000 Mar 21;12(1):23-34. eCollection 2000 Mar.

Abstract

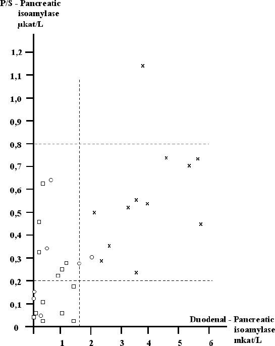
α-Amylase (1,4 -α-D-glucan-4-glucanohydrolase E. C. 3.2.1.1.) catalyses the hydrolysis of starch, glycogen and related poly- and oligosaccharides. The end products formed are maltose, short chain dextrins and some glucose. In man large amounts of amylases are secreted into the digestive tract by the salivary and pancreatic glands, minimal amounts also being produced in other tissues. Recently, techniques for specific determination of pancreatic isoamylase activity in plasma have been developed. Routine use of such techniques will increase the clinical value of amylase determination.

摘要

α-淀粉酶(1,4-α-D-葡聚糖-4-葡聚糖水解酶,酶学委员会编号3.2.1.1)催化淀粉、糖原及相关的多聚糖和寡聚糖的水解。形成的终产物是麦芽糖、短链糊精和一些葡萄糖。在人体中,大量淀粉酶由唾液腺和胰腺分泌到消化道,其他组织也产生少量淀粉酶。最近,已经开发出特异性测定血浆中胰腺同工淀粉酶活性的技术。常规使用这些技术将提高淀粉酶测定的临床价值。

https://cdn.ncbi.nlm.nih.gov/pmc/blobs/88fb/6341232/e22c747f0411/ejifcc-12-023-g001.jpg

文献检索

告别复杂PubMed语法,用中文像聊天一样搜索,搜遍4000万医学文献。AI智能推荐,让科研检索更轻松。

立即免费搜索

文件翻译

保留排版,准确专业,支持PDF/Word/PPT等文件格式,支持 12+语言互译。

免费翻译文档

深度研究

AI帮你快速写综述,25分钟生成高质量综述,智能提取关键信息,辅助科研写作。

立即免费体验