• 文献检索
  • 文档翻译
  • 深度研究
  • 学术资讯
  • Suppr Zotero 插件Zotero 插件
  • 邀请有礼
  • 套餐&价格
  • 历史记录
应用&插件
Suppr Zotero 插件Zotero 插件浏览器插件Mac 客户端Windows 客户端微信小程序
定价
高级版会员购买积分包购买API积分包
服务
文献检索文档翻译深度研究API 文档MCP 服务
关于我们
关于 Suppr公司介绍联系我们用户协议隐私条款
关注我们

Suppr 超能文献

核心技术专利:CN118964589B侵权必究
粤ICP备2023148730 号-1Suppr @ 2026

文献检索

告别复杂PubMed语法,用中文像聊天一样搜索,搜遍4000万医学文献。AI智能推荐,让科研检索更轻松。

立即免费搜索

文件翻译

保留排版,准确专业,支持PDF/Word/PPT等文件格式,支持 12+语言互译。

免费翻译文档

深度研究

AI帮你快速写综述,25分钟生成高质量综述,智能提取关键信息,辅助科研写作。

立即免费体验

在接受主动监测的局限性前列腺癌患者中,饮食质量与 Gleason 分级进展。

Diet quality and Gleason grade progression among localised prostate cancer patients on active surveillance.

机构信息

Department of Urology, The University of Texas MD Anderson Cancer Center, Houston, TX, 77030, USA.

Department of Epidemiology, The University of Texas MD Anderson Cancer Center, Houston, TX, 77030, USA.

出版信息

Br J Cancer. 2019 Feb;120(4):466-471. doi: 10.1038/s41416-019-0380-2. Epub 2019 Jan 25.

DOI:10.1038/s41416-019-0380-2
PMID:30679782
原文链接:https://pmc.ncbi.nlm.nih.gov/articles/PMC6462004/
Abstract

BACKGROUND

High diet quality may support a metabolic and anti-inflammatory state less conducive to tumour progression. We prospectively investigated diet quality in relation to Gleason grade progression among localised prostate cancer patients on active surveillance, a clinical management strategy of disease monitoring and delayed intervention.

METHODS

Men with newly diagnosed Gleason score 6 or 7 prostate cancer enroled on a biennial monitoring regimen. Patients completed a food frequency questionnaire (FFQ) at baseline (n = 411) and first 6-month follow-up (n = 263). Cox proportional hazards models were fitted to evaluate multivariable-adjusted associations of diet quality [defined via the Healthy Eating Index (HEI)-2015] with Gleason grade progression.

RESULTS

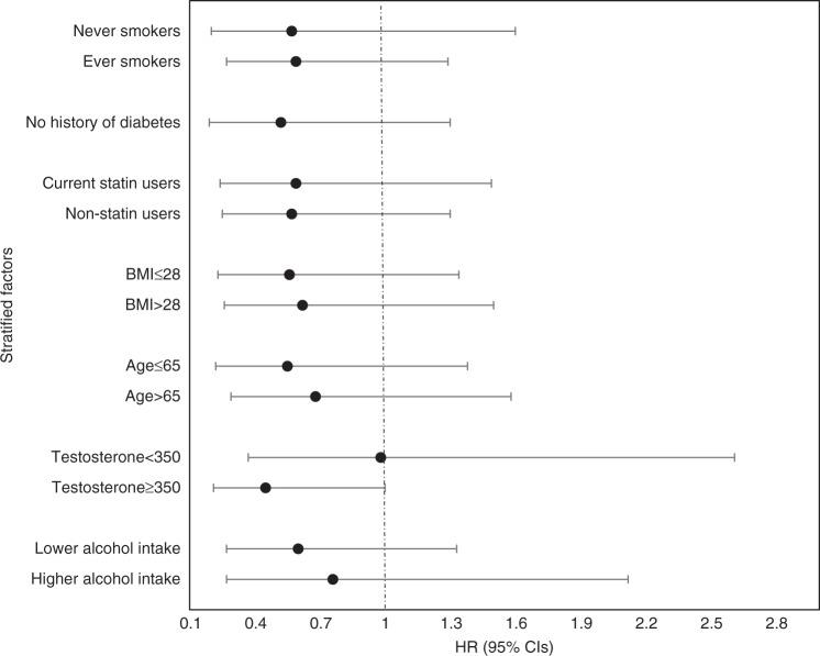
After a median follow-up of 36 months, 76 men progressed. Following adjustment for clinicopathologic factors, we observed a suggestive inverse association between baseline diet quality and Gleason grade progression [hazard ratio (HR) and 95% confidence interval (CI) for the highest vs. the lowest HEI-2015 tertile: 0.59 (0.32-1.08); P = 0.06]. We observed no associations with diet quality at 6-month follow-up, nor change in diet quality from baseline.

CONCLUSIONS

In localised prostate cancer patients on surveillance, higher diet quality or conformance with United States dietary guidelines at enrolment may lower risk of Gleason grade progression, though additional confirmatory research is needed.

摘要

背景

高饮食质量可能支持代谢和抗炎状态,不利于肿瘤进展。我们前瞻性研究了饮食质量与局部前列腺癌患者在主动监测中的 Gleason 分级进展之间的关系,主动监测是一种疾病监测和延迟干预的临床管理策略。

方法

新诊断为 Gleason 评分 6 或 7 的前列腺癌患者入组,每年监测两次。患者在基线(n=411)和第一次 6 个月随访(n=263)时完成了食物频率问卷(FFQ)。使用 Cox 比例风险模型评估饮食质量(通过健康饮食指数[HEI]-2015 定义)与 Gleason 分级进展的多变量调整关联。

结果

中位随访 36 个月后,76 名男性出现进展。在校正临床病理因素后,我们观察到基线饮食质量与 Gleason 分级进展之间存在提示性负相关[最高与最低 HEI-2015 三分位组的风险比(HR)和 95%置信区间(CI):0.59(0.32-1.08);P=0.06]。我们未观察到 6 个月随访时饮食质量与随访期间饮食质量变化与 Gleason 分级进展之间的关联。

结论

在接受监测的局部前列腺癌患者中,较高的饮食质量或符合美国饮食指南可能降低 Gleason 分级进展的风险,但需要更多的确认性研究。

https://cdn.ncbi.nlm.nih.gov/pmc/blobs/7c8d/6462004/3928021c7ac5/41416_2019_380_Fig1_HTML.jpg
https://cdn.ncbi.nlm.nih.gov/pmc/blobs/7c8d/6462004/3928021c7ac5/41416_2019_380_Fig1_HTML.jpg
https://cdn.ncbi.nlm.nih.gov/pmc/blobs/7c8d/6462004/3928021c7ac5/41416_2019_380_Fig1_HTML.jpg

相似文献

1
Diet quality and Gleason grade progression among localised prostate cancer patients on active surveillance.在接受主动监测的局限性前列腺癌患者中,饮食质量与 Gleason 分级进展。
Br J Cancer. 2019 Feb;120(4):466-471. doi: 10.1038/s41416-019-0380-2. Epub 2019 Jan 25.
2
Adherence to the Mediterranean diet and grade group progression in localized prostate cancer: An active surveillance cohort.坚持地中海饮食与局限性前列腺癌分级进展的相关性:一项主动监测队列研究。
Cancer. 2021 Mar 1;127(5):720-728. doi: 10.1002/cncr.33182. Epub 2021 Jan 7.
3
Dietary Patterns and Risk of Gleason Grade Progression among Men on Active Surveillance for Prostate Cancer: Results from the Canary Prostate Active Surveillance Study.饮食模式与前列腺癌主动监测男性中 Gleason 分级进展的风险:来自 Canary 前列腺主动监测研究的结果。
Nutr Cancer. 2023;75(2):618-626. doi: 10.1080/01635581.2022.2143537. Epub 2022 Nov 7.
4
Coffee, Caffeine Metabolism Genotype and Disease Progression in Patients with Localized Prostate Cancer Managed with Active Surveillance.咖啡、咖啡因代谢基因型与主动监测管理局限性前列腺癌患者的疾病进展。
J Urol. 2019 Feb;201(2):308-314. doi: 10.1016/j.juro.2018.08.048.
5
A negative confirmatory biopsy among men on active surveillance for prostate cancer does not protect them from histologic grade progression.对于接受前列腺癌主动监测的男性,阴性确认性活检并不能保护他们免于组织学分级进展。
Eur Urol. 2014 Sep;66(3):406-13. doi: 10.1016/j.eururo.2013.04.038. Epub 2013 May 2.
6
Obesity is associated with risk of progression for low-risk prostate cancers managed expectantly.肥胖与低危前列腺癌期待管理下的进展风险相关。
Eur Urol. 2014 Nov;66(5):841-8. doi: 10.1016/j.eururo.2014.06.005. Epub 2014 Jun 18.
7
Meat, Fish, Poultry, and Egg Intake at Diagnosis and Risk of Prostate Cancer Progression.诊断时肉类、鱼类、家禽和蛋类的摄入量与前列腺癌进展风险
Cancer Prev Res (Phila). 2016 Dec;9(12):933-941. doi: 10.1158/1940-6207.CAPR-16-0070. Epub 2016 Sep 20.
8
New Prostate Cancer Grading System Predicts Long-term Survival Following Surgery for Gleason Score 8-10 Prostate Cancer.新的前列腺癌分级系统可预测 Gleason 评分 8-10 级前列腺癌手术后的长期生存情况。
Eur Urol. 2017 Jun;71(6):907-912. doi: 10.1016/j.eururo.2016.11.006. Epub 2016 Nov 19.
9
Effects of Initial Gleason Grade on Outcomes during Active Surveillance for Prostate Cancer.初始 Gleason 分级对前列腺癌主动监测期间结局的影响。
Eur Urol Oncol. 2018 Oct;1(5):386-394. doi: 10.1016/j.euo.2018.04.018. Epub 2018 May 24.
10
PSA failure following definitive treatment of prostate cancer having biopsy Gleason score 7 with tertiary grade 5.经活检 Gleason 评分为 7 级且三级为 5 级的前列腺癌根治性治疗后出现前列腺特异性抗原(PSA)失败。
JAMA. 2007 Oct 3;298(13):1533-8. doi: 10.1001/jama.298.13.1533.

引用本文的文献

1
Diet Quality, Dietary Inflammatory Potential, and Risk of Prostate Cancer Grade Reclassification.饮食质量、膳食炎症潜能与前列腺癌分级重新分类风险
JAMA Oncol. 2024 Dec 1;10(12):1702-1706. doi: 10.1001/jamaoncol.2024.4406.
2
Dietary Patterns and Risk of Gleason Grade Progression among Men on Active Surveillance for Prostate Cancer: Results from the Canary Prostate Active Surveillance Study.饮食模式与前列腺癌主动监测男性中 Gleason 分级进展的风险:来自 Canary 前列腺主动监测研究的结果。
Nutr Cancer. 2023;75(2):618-626. doi: 10.1080/01635581.2022.2143537. Epub 2022 Nov 7.
3
Diet quality and all-cause and cancer-specific mortality in cancer survivors and non-cancer individuals: the Multiethnic Cohort Study.

本文引用的文献

1
Coffee, Caffeine Metabolism Genotype and Disease Progression in Patients with Localized Prostate Cancer Managed with Active Surveillance.咖啡、咖啡因代谢基因型与主动监测管理局限性前列腺癌患者的疾病进展。
J Urol. 2019 Feb;201(2):308-314. doi: 10.1016/j.juro.2018.08.048.
2
Applications of the Healthy Eating Index for Surveillance, Epidemiology, and Intervention Research: Considerations and Caveats.健康饮食指数在监测、流行病学和干预研究中的应用:考虑因素和注意事项。
J Acad Nutr Diet. 2018 Sep;118(9):1603-1621. doi: 10.1016/j.jand.2018.05.020.
3
Update of the Healthy Eating Index: HEI-2015.
癌症幸存者和非癌症个体的饮食质量与全因和癌症特异性死亡率:多民族队列研究。
Eur J Nutr. 2022 Mar;61(2):925-933. doi: 10.1007/s00394-021-02700-2. Epub 2021 Oct 17.
4
Adherence to the Mediterranean diet and grade group progression in localized prostate cancer: An active surveillance cohort.坚持地中海饮食与局限性前列腺癌分级进展的相关性:一项主动监测队列研究。
Cancer. 2021 Mar 1;127(5):720-728. doi: 10.1002/cncr.33182. Epub 2021 Jan 7.
5
Modifiable Host Factors in Melanoma: Emerging Evidence for Obesity, Diet, Exercise, and the Microbiome.黑色素瘤的可改变宿主因素:肥胖、饮食、运动和微生物组的新证据。
Curr Oncol Rep. 2019 Jul 1;21(8):72. doi: 10.1007/s11912-019-0814-2.
更新后的健康饮食指数:HEI-2015。
J Acad Nutr Diet. 2018 Sep;118(9):1591-1602. doi: 10.1016/j.jand.2018.05.021.
4
Do dietary calcium and vitamin D matter in men with prostate cancer?饮食中的钙和维生素 D 对前列腺癌患者重要吗?
Nat Rev Urol. 2018 Jul;15(7):453-461. doi: 10.1038/s41585-018-0015-z.
5
Diet Quality as Assessed by the Healthy Eating Index, Alternate Healthy Eating Index, Dietary Approaches to Stop Hypertension Score, and Health Outcomes: An Updated Systematic Review and Meta-Analysis of Cohort Studies.基于健康饮食指数、替代健康饮食指数、停止高血压膳食方法评分和健康结果评估的饮食质量:一项更新的队列研究系统评价和荟萃分析。
J Acad Nutr Diet. 2018 Jan;118(1):74-100.e11. doi: 10.1016/j.jand.2017.08.024. Epub 2017 Oct 27.
6
Post-diagnosis serum insulin-like growth factors in relation to dietary and lifestyle changes in the Prostate testing for cancer and Treatment (ProtecT) trial.前列腺癌检测与治疗(ProtecT)试验中,诊断后血清胰岛素样生长因子与饮食和生活方式变化的关系
Cancer Causes Control. 2017 Aug;28(8):877-888. doi: 10.1007/s10552-017-0910-2. Epub 2017 Jun 23.
7
Men's Eating and Living (MEAL) study (CALGB 70807 [Alliance]): recruitment feasibility and baseline demographics of a randomized trial of diet in men on active surveillance for prostate cancer.男性饮食与生活(MEAL)研究(CALGB 70807 [联盟]):主动监测前列腺癌男性饮食随机试验的招募可行性和基线人口统计学数据。
BJU Int. 2018 Apr;121(4):534-539. doi: 10.1111/bju.13890. Epub 2017 May 21.
8
Obesity and Prostate Cancer: A Focused Update on Active Surveillance, Race, and Molecular Subtyping.肥胖与前列腺癌:主动监测、种族和分子亚型的重点更新
Eur Urol. 2017 Jul;72(1):78-83. doi: 10.1016/j.eururo.2016.10.011. Epub 2016 Oct 19.
9
10-Year Outcomes after Monitoring, Surgery, or Radiotherapy for Localized Prostate Cancer.局限性前列腺癌监测、手术或放疗 10 年后的结果。
N Engl J Med. 2016 Oct 13;375(15):1415-1424. doi: 10.1056/NEJMoa1606220. Epub 2016 Sep 14.
10
Dietary Patterns in Puerto Rican and Mexican-American Breast Cancer Survivors: A Pilot Study.波多黎各裔和墨西哥裔美国乳腺癌幸存者的饮食模式:一项试点研究。
J Immigr Minor Health. 2017 Apr;19(2):341-348. doi: 10.1007/s10903-016-0398-y.