• 文献检索
  • 文档翻译
  • 深度研究
  • 学术资讯
  • Suppr Zotero 插件Zotero 插件
  • 邀请有礼
  • 套餐&价格
  • 历史记录
应用&插件
Suppr Zotero 插件Zotero 插件浏览器插件Mac 客户端Windows 客户端微信小程序
定价
高级版会员购买积分包购买API积分包
服务
文献检索文档翻译深度研究API 文档MCP 服务
关于我们
关于 Suppr公司介绍联系我们用户协议隐私条款
关注我们

Suppr 超能文献

核心技术专利:CN118964589B侵权必究
粤ICP备2023148730 号-1Suppr @ 2026

文献检索

告别复杂PubMed语法,用中文像聊天一样搜索,搜遍4000万医学文献。AI智能推荐,让科研检索更轻松。

立即免费搜索

文件翻译

保留排版,准确专业,支持PDF/Word/PPT等文件格式,支持 12+语言互译。

免费翻译文档

深度研究

AI帮你快速写综述,25分钟生成高质量综述,智能提取关键信息,辅助科研写作。

立即免费体验

插入 N 端铰链糖基化增强了人 IgG1 单体 Fc 区与糖依赖性受体的相互作用,并阻止流感病毒的血凝作用。

Insertion of N-Terminal Hinge Glycosylation Enhances Interactions of the Fc Region of Human IgG1 Monomers with Glycan-Dependent Receptors and Blocks Hemagglutination by the Influenza Virus.

机构信息

Department of Parasitology, Liverpool School of Tropical Medicine, Liverpool L3 5QA, United Kingdom; and.

Department of Life Sciences, Imperial College London, London SW7 2AZ, United Kingdom.

出版信息

J Immunol. 2019 Mar 1;202(5):1595-1611. doi: 10.4049/jimmunol.1801337. Epub 2019 Jan 25.

DOI:10.4049/jimmunol.1801337
PMID:30683699
原文链接:https://pmc.ncbi.nlm.nih.gov/articles/PMC6379808/
Abstract

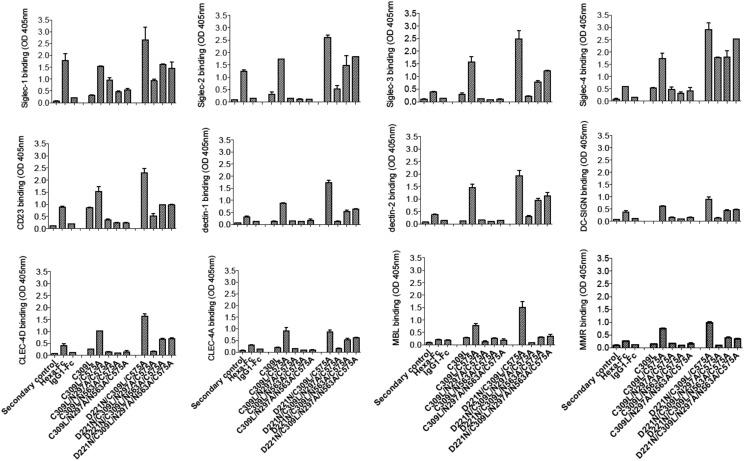
In therapeutic applications in which the Fc of IgG is critically important, the receptor binding and functional properties of the Fc are lost after deglycosylation or removal of the unique Asn N-X-(T/S) sequon. A population of Fcs bearing sialylated glycans has been identified as contributing to this functionality, and high levels of sialylation also lead to longer serum retention times advantageous for therapy. The efficacy of sialylated Fc has generated an incentive to modify the unique N-linked glycosylation site at Asn, either through chemical and enzymatic methods or by mutagenesis of the Fc, that disrupts the protein-Asn carbohydrate interface. In this study, we took an alternative approach by inserting or deleting N-linked attachment sites into the body of the Fc to generate a portfolio of mutants with tailored effector functions. For example, we describe mutants with enhanced binding to low-affinity inhibitory human Fcγ and glycan receptors that may be usefully incorporated into existing Ab engineering approaches to treat or vaccinate against disease. The IgG1 Fc fragments containing complex sialylated glycans attached to the N-terminal Asn sequon bound influenza virus hemagglutinin and disrupted influenza A-mediated agglutination of human erythrocytes.

摘要

在治疗应用中,IgG 的 Fc 至关重要,糖基化或去除独特的 Asn N-X-(T/S) 序列后,Fc 的受体结合和功能特性会丧失。已经鉴定出带有唾液酸化聚糖的 Fc 群体有助于实现这种功能,高水平的唾液酸化也会导致更长的血清保留时间,有利于治疗。唾液酸化 Fc 的功效促使人们通过化学和酶方法或通过 Fc 的突变来修饰独特的 N 连接糖基化位点,从而破坏蛋白质-Asn 碳水化合物界面。在这项研究中,我们采取了一种替代方法,通过将 N 连接附着位点插入或删除到 Fc 的主体中,生成了一组具有定制效应功能的突变体。例如,我们描述了与低亲和力抑制性人 Fcγ 和聚糖受体结合增强的突变体,这些突变体可能被有用地纳入现有的 Ab 工程方法中,以治疗或接种疾病。含有附着在 N 端 Asn 序列上的复杂唾液酸化聚糖的 IgG1 Fc 片段结合流感病毒血凝素并破坏流感 A 介导的人红细胞凝集。

https://cdn.ncbi.nlm.nih.gov/pmc/blobs/035e/6379808/177274558a1e/ji1801337f11.jpg
https://cdn.ncbi.nlm.nih.gov/pmc/blobs/035e/6379808/d41781e1b231/ji1801337f1.jpg
https://cdn.ncbi.nlm.nih.gov/pmc/blobs/035e/6379808/30570229097d/ji1801337f2.jpg
https://cdn.ncbi.nlm.nih.gov/pmc/blobs/035e/6379808/f171bce33831/ji1801337f3.jpg
https://cdn.ncbi.nlm.nih.gov/pmc/blobs/035e/6379808/27f7b79b6da0/ji1801337f4.jpg
https://cdn.ncbi.nlm.nih.gov/pmc/blobs/035e/6379808/7c207e15f0db/ji1801337f5.jpg
https://cdn.ncbi.nlm.nih.gov/pmc/blobs/035e/6379808/6e325845e57e/ji1801337f6.jpg
https://cdn.ncbi.nlm.nih.gov/pmc/blobs/035e/6379808/d82204bc5265/ji1801337f7.jpg
https://cdn.ncbi.nlm.nih.gov/pmc/blobs/035e/6379808/a1e1e79532db/ji1801337f8.jpg
https://cdn.ncbi.nlm.nih.gov/pmc/blobs/035e/6379808/1d1dbb01238a/ji1801337f9.jpg
https://cdn.ncbi.nlm.nih.gov/pmc/blobs/035e/6379808/4edacd553c5e/ji1801337f10.jpg
https://cdn.ncbi.nlm.nih.gov/pmc/blobs/035e/6379808/177274558a1e/ji1801337f11.jpg
https://cdn.ncbi.nlm.nih.gov/pmc/blobs/035e/6379808/d41781e1b231/ji1801337f1.jpg
https://cdn.ncbi.nlm.nih.gov/pmc/blobs/035e/6379808/30570229097d/ji1801337f2.jpg
https://cdn.ncbi.nlm.nih.gov/pmc/blobs/035e/6379808/f171bce33831/ji1801337f3.jpg
https://cdn.ncbi.nlm.nih.gov/pmc/blobs/035e/6379808/27f7b79b6da0/ji1801337f4.jpg
https://cdn.ncbi.nlm.nih.gov/pmc/blobs/035e/6379808/7c207e15f0db/ji1801337f5.jpg
https://cdn.ncbi.nlm.nih.gov/pmc/blobs/035e/6379808/6e325845e57e/ji1801337f6.jpg
https://cdn.ncbi.nlm.nih.gov/pmc/blobs/035e/6379808/d82204bc5265/ji1801337f7.jpg
https://cdn.ncbi.nlm.nih.gov/pmc/blobs/035e/6379808/a1e1e79532db/ji1801337f8.jpg
https://cdn.ncbi.nlm.nih.gov/pmc/blobs/035e/6379808/1d1dbb01238a/ji1801337f9.jpg
https://cdn.ncbi.nlm.nih.gov/pmc/blobs/035e/6379808/4edacd553c5e/ji1801337f10.jpg
https://cdn.ncbi.nlm.nih.gov/pmc/blobs/035e/6379808/177274558a1e/ji1801337f11.jpg

相似文献

1
Insertion of N-Terminal Hinge Glycosylation Enhances Interactions of the Fc Region of Human IgG1 Monomers with Glycan-Dependent Receptors and Blocks Hemagglutination by the Influenza Virus.插入 N 端铰链糖基化增强了人 IgG1 单体 Fc 区与糖依赖性受体的相互作用,并阻止流感病毒的血凝作用。
J Immunol. 2019 Mar 1;202(5):1595-1611. doi: 10.4049/jimmunol.1801337. Epub 2019 Jan 25.
2
Engineering the fragment crystallizable (Fc) region of human IgG1 multimers and monomers to fine-tune interactions with sialic acid-dependent receptors.对人IgG1多聚体和单体的可结晶片段(Fc)区域进行工程改造,以微调与唾液酸依赖性受体的相互作用。
J Biol Chem. 2017 Aug 4;292(31):12994-13007. doi: 10.1074/jbc.M117.795047. Epub 2017 Jun 15.
3
Effects of N-Glycan Composition on Structure and Dynamics of IgG1 Fc and Their Implications for Antibody Engineering.N-聚糖组成对 IgG1 Fc 结构和动力学的影响及其对抗体工程的意义。
Sci Rep. 2017 Oct 4;7(1):12659. doi: 10.1038/s41598-017-12830-5.
4
Multi-Angle Effector Function Analysis of Human Monoclonal IgG Glycovariants.人源单克隆IgG糖变体的多角度效应功能分析
PLoS One. 2015 Dec 11;10(12):e0143520. doi: 10.1371/journal.pone.0143520. eCollection 2015.
5
Higher levels of sialylated Fc glycans in immunoglobulin G molecules can adversely impact functionality.免疫球蛋白G分子中唾液酸化Fc聚糖水平升高会对其功能产生不利影响。
Mol Immunol. 2007 Mar;44(7):1524-34. doi: 10.1016/j.molimm.2006.09.005. Epub 2006 Oct 11.
6
A Method to Detect the Binding of Hyper-Glycosylated Fragment Crystallizable (Fc) Region of Human IgG1 to Glycan Receptors.一种检测人IgG1高糖基化可结晶片段(Fc)区域与聚糖受体结合的方法。
Methods Mol Biol. 2019;1904:417-421. doi: 10.1007/978-1-4939-8958-4_20.
7
The interplay of protein engineering and glycoengineering to fine-tune antibody glycosylation and its impact on effector functions.蛋白质工程与糖基工程的相互作用以微调抗体糖基化及其对效应功能的影响。
Biotechnol Bioeng. 2022 Jan;119(1):102-117. doi: 10.1002/bit.27953. Epub 2021 Oct 20.
8
The glycosylation and structure of human serum IgA1, Fab, and Fc regions and the role of N-glycosylation on Fcα receptor interactions.人血清IgA1、Fab和Fc区域的糖基化及结构以及N-糖基化在Fcα受体相互作用中的作用。
J Biol Chem. 1998 Jan 23;273(4):2260-72. doi: 10.1074/jbc.273.4.2260.
9
Glycosylation of Fcγ receptors influences their interaction with various IgG1 glycoforms.Fcγ 受体的糖基化影响其与各种 IgG1 糖型的相互作用。
Mol Immunol. 2020 May;121:144-158. doi: 10.1016/j.molimm.2020.03.010. Epub 2020 Mar 26.
10
CD16a with oligomannose-type -glycans is the only "low-affinity" Fc γ receptor that binds the IgG crystallizable fragment with high affinity .具有寡甘露糖型糖基的 CD16a 是唯一能与 IgG 可结晶片段高亲和力结合的“低亲和力”Fcγ受体。
J Biol Chem. 2018 Oct 26;293(43):16842-16850. doi: 10.1074/jbc.RA118.004998. Epub 2018 Sep 13.

引用本文的文献

1
Development of an antibody-ligand fusion protein scFvCD16Asc4-1BBL in Komagataella phaffii with stimulatory activity for Natural Killer cells.在毕赤酵母中开发具有刺激自然杀伤细胞活性的抗体-配体融合蛋白 scFvCD16Asc4-1BBL。
Microb Cell Fact. 2023 Apr 11;22(1):67. doi: 10.1186/s12934-023-02082-6.
2
The therapeutic potential of sialylated Fc domains of human IgG.人 IgG 的唾液酸化 Fc 结构域的治疗潜力。
MAbs. 2021 Jan-Dec;13(1):1953220. doi: 10.1080/19420862.2021.1953220.
3
Modified recombinant human IgG1-Fc is superior to natural intravenous immunoglobulin at inhibiting immune-mediated demyelination.

本文引用的文献

1
Engineered hexavalent Fc proteins with enhanced Fc-gamma receptor avidity provide insights into immune-complex interactions.具有增强的Fc-γ受体亲和力的工程化六价Fc蛋白为免疫复合物相互作用提供了见解。
Commun Biol. 2018 Sep 14;1:146. doi: 10.1038/s42003-018-0149-9. eCollection 2018.
2
Anti-Influenza Hyperimmune Immunoglobulin Enhances Fc-Functional Antibody Immunity During Human Influenza Infection.抗流感高免免疫球蛋白在人类流感感染期间增强 Fc 功能抗体免疫。
J Infect Dis. 2018 Sep 22;218(9):1383-1393. doi: 10.1093/infdis/jiy328.
3
rIgG1 Fc Hexamer Inhibits Antibody-Mediated Autoimmune Disease via Effects on Complement and FcγRs.
修饰后的重组人 IgG1-Fc 比天然静脉注射免疫球蛋白更能抑制免疫介导的脱髓鞘。
Immunology. 2021 Sep;164(1):90-105. doi: 10.1111/imm.13341. Epub 2021 May 9.
4
Glycoengineering Chinese hamster ovary cells: a short history.糖基工程化中国仓鼠卵巢细胞:一段简短的历史。
Biochem Soc Trans. 2021 Apr 30;49(2):915-931. doi: 10.1042/BST20200840.
5
Choice of Host Cell Line Is Essential for the Functional Glycosylation of the Fc Region of Human IgG1 Inhibitors of Influenza B Viruses.宿主细胞系的选择对于乙型流感病毒人 IgG1 抑制剂 Fc 区域的功能性糖基化至关重要。
J Immunol. 2020 Feb 15;204(4):1022-1034. doi: 10.4049/jimmunol.1901145. Epub 2020 Jan 6.
rIgG1 Fc 六聚体通过对补体和 FcγRs 的影响抑制抗体介导的自身免疫性疾病。
J Immunol. 2018 Apr 15;200(8):2542-2553. doi: 10.4049/jimmunol.1701171. Epub 2018 Mar 12.
4
Engineered Sialylation of Pathogenic Antibodies In Vivo Attenuates Autoimmune Disease.体内工程化唾液酸化致病性抗体可减轻自身免疫性疾病。
Cell. 2018 Jan 25;172(3):564-577.e13. doi: 10.1016/j.cell.2017.11.041. Epub 2017 Dec 21.
5
Multivalent Fcγ-receptor engagement by a hexameric Fc-fusion protein triggers Fcγ-receptor internalisation and modulation of Fcγ-receptor functions.六聚体 Fc 融合蛋白与多价 Fcγ 受体结合可触发 Fcγ 受体内化和调节 Fcγ 受体功能。
Sci Rep. 2017 Dec 6;7(1):17049. doi: 10.1038/s41598-017-17255-8.
6
Proximity labeling of cis-ligands of CD22/Siglec-2 reveals stepwise α2,6 sialic acid-dependent and -independent interactions.CD22/Siglec-2顺式配体的邻近标记揭示了逐步的α2,6唾液酸依赖性和非依赖性相互作用。
Biochem Biophys Res Commun. 2018 Jan 1;495(1):854-859. doi: 10.1016/j.bbrc.2017.11.086. Epub 2017 Nov 14.
7
Fcγ Receptor Function and the Design of Vaccination Strategies.Fcγ受体功能与疫苗接种策略的设计
Immunity. 2017 Aug 15;47(2):224-233. doi: 10.1016/j.immuni.2017.07.009.
8
Metabolic Oligosaccharide Engineering with Alkyne Sialic Acids Confers Neuraminidase Resistance and Inhibits Influenza Reproduction.使用炔基唾液酸进行代谢寡糖工程可赋予神经氨酸酶抗性并抑制流感病毒繁殖。
Bioconjug Chem. 2017 Jul 19;28(7):1811-1815. doi: 10.1021/acs.bioconjchem.7b00224. Epub 2017 Jun 27.
9
Antibody blood-brain barrier efflux is modulated by glycan modification.抗体的血脑屏障外排可通过糖基化修饰来调节。
Biochim Biophys Acta Gen Subj. 2017 Sep;1861(9):2228-2239. doi: 10.1016/j.bbagen.2017.06.008. Epub 2017 Jun 15.
10
Engineering the fragment crystallizable (Fc) region of human IgG1 multimers and monomers to fine-tune interactions with sialic acid-dependent receptors.对人IgG1多聚体和单体的可结晶片段(Fc)区域进行工程改造,以微调与唾液酸依赖性受体的相互作用。
J Biol Chem. 2017 Aug 4;292(31):12994-13007. doi: 10.1074/jbc.M117.795047. Epub 2017 Jun 15.