• 文献检索
  • 文档翻译
  • 深度研究
  • 学术资讯
  • Suppr Zotero 插件Zotero 插件
  • 邀请有礼
  • 套餐&价格
  • 历史记录
应用&插件
Suppr Zotero 插件Zotero 插件浏览器插件Mac 客户端Windows 客户端微信小程序
定价
高级版会员购买积分包购买API积分包
服务
文献检索文档翻译深度研究API 文档MCP 服务
关于我们
关于 Suppr公司介绍联系我们用户协议隐私条款
关注我们

Suppr 超能文献

核心技术专利:CN118964589B侵权必究
粤ICP备2023148730 号-1Suppr @ 2026

文献检索

告别复杂PubMed语法,用中文像聊天一样搜索,搜遍4000万医学文献。AI智能推荐,让科研检索更轻松。

立即免费搜索

文件翻译

保留排版,准确专业,支持PDF/Word/PPT等文件格式,支持 12+语言互译。

免费翻译文档

深度研究

AI帮你快速写综述,25分钟生成高质量综述,智能提取关键信息,辅助科研写作。

立即免费体验

西班牙急性胃肠炎门诊患者中的人类杯状病毒:一项为期一年的研究。

Human Sapovirus among Outpatients with Acute Gastroenteritis in Spain: A One-Year Study.

机构信息

Department of Microbiology and Parasitology, CIBUS-Faculty of Biology, Universidade de Santiago de Compostela, 15782 Santiago de Compostela, Spain.

出版信息

Viruses. 2019 Feb 8;11(2):144. doi: 10.3390/v11020144.

DOI:10.3390/v11020144
PMID:30744057
原文链接:https://pmc.ncbi.nlm.nih.gov/articles/PMC6409837/
Abstract

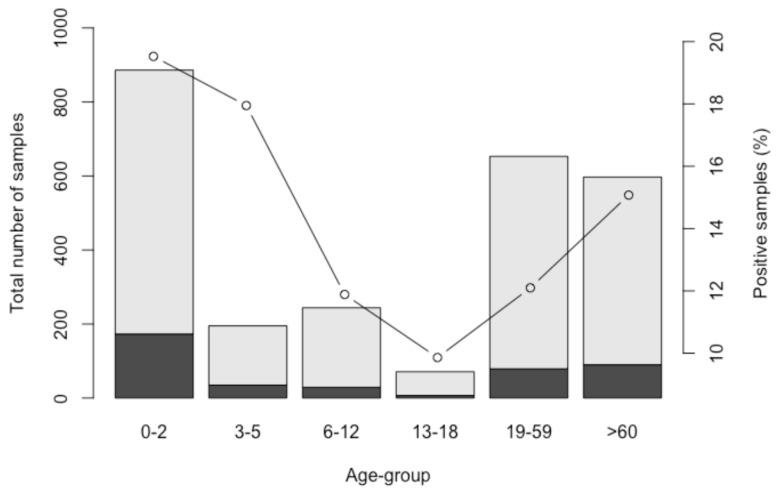
Viral agents of human gastroenteritis affect people of all ages across the globe. As a mainly self-limiting disease, it is difficult to evaluate the real prevalence of etiological agents circulating in each region. Many of the analyzed outbreaks are caused by viruses of the family Caliciviridae, especially the genus (NoV). Most studies have focused on other enteric viruses, leaving sapovirus (SaV) underestimated as an important emerging human threat. This one-year study analyzed clinical samples from hospital outpatients with acute gastroenteritis in Spain, with the aim of revealing the importance of human SaV as an emerging viral pathogen. A total of 2667 stools were tested using reverse transcription (RT)-qPCR to detect and quantify SaV. Sapovirus was detected in all age groups, especially in infants, children, and the elderly. The prevalence was 15.64% (417/2667), and was slightly higher in 0⁻2- and 3⁻5-year-olds (19.53% and 17.95%, respectively) and much lower in 13⁻18-year-olds (9.86%). Positive samples were detected throughout the year, with peaks of detection during autumn and the late winter to early spring months. The mean value for the quantified samples was 6.5 × 10⁵ genome copies per gram of stool (GC/g) (range 2.4 × 10³⁻6.6 × 10 GC/g). RT-nested PCR and sequencing were used for further genotyping. Genetic characterization showed a predominance of genogroup I (GI), followed by GII and GIV. The detection of multiple genotypes suggests the circulation of different strains without any clear tendency. The results obtained suggest SaV as the second major gastroenteritis agent after NoV in the region.

摘要

人类肠道病毒病原体影响着全球各个年龄段的人群。由于该病主要为自限性疾病,因此很难评估每个地区流行的病原体的真实发病率。许多分析的暴发是由杯状病毒科(Caliciviridae family)的病毒引起的,尤其是 (NoV)属。大多数研究都集中在其他肠道病毒上,而忽略了作为重要新兴人类威胁的星状病毒(SaV)。这项为期一年的研究分析了西班牙医院门诊急性胃肠炎患者的临床样本,旨在揭示人类 SaV 作为新兴病毒病原体的重要性。使用逆转录(RT)-qPCR 对 2667 份粪便样本进行检测,以检测和定量 SaV。在所有年龄段都检测到 SaV,尤其是婴儿、儿童和老年人。总检出率为 15.64%(417/2667),0⁻2 岁和 3⁻5 岁儿童的检出率略高(分别为 19.53%和 17.95%),13⁻18 岁青少年的检出率则低很多(9.86%)。全年都可检测到阳性样本,检测高峰出现在秋季和冬末至早春。定量样本的平均值为每克粪便 6.5 × 10⁵ 基因组拷贝(GC/g)(范围为 2.4 × 10³⁻6.6 × 10 GC/g)。使用 RT-巢式 PCR 和测序进行进一步的基因分型。遗传特征表明 GI 基因型占主导地位,其次是 GII 和 GIV。多种基因型的检测表明不同毒株的循环,没有任何明显的趋势。研究结果表明,SaV 是该地区继 NoV 之后的第二大胃肠炎病原体。

https://cdn.ncbi.nlm.nih.gov/pmc/blobs/219b/6409837/907726373d64/viruses-11-00144-g006.jpg
https://cdn.ncbi.nlm.nih.gov/pmc/blobs/219b/6409837/1d612986844e/viruses-11-00144-g001.jpg
https://cdn.ncbi.nlm.nih.gov/pmc/blobs/219b/6409837/3b8b181c9117/viruses-11-00144-g002.jpg
https://cdn.ncbi.nlm.nih.gov/pmc/blobs/219b/6409837/849eabf637ac/viruses-11-00144-g003.jpg
https://cdn.ncbi.nlm.nih.gov/pmc/blobs/219b/6409837/31c46ab3cecd/viruses-11-00144-g004.jpg
https://cdn.ncbi.nlm.nih.gov/pmc/blobs/219b/6409837/b64f48e555da/viruses-11-00144-g005.jpg
https://cdn.ncbi.nlm.nih.gov/pmc/blobs/219b/6409837/907726373d64/viruses-11-00144-g006.jpg
https://cdn.ncbi.nlm.nih.gov/pmc/blobs/219b/6409837/1d612986844e/viruses-11-00144-g001.jpg
https://cdn.ncbi.nlm.nih.gov/pmc/blobs/219b/6409837/3b8b181c9117/viruses-11-00144-g002.jpg
https://cdn.ncbi.nlm.nih.gov/pmc/blobs/219b/6409837/849eabf637ac/viruses-11-00144-g003.jpg
https://cdn.ncbi.nlm.nih.gov/pmc/blobs/219b/6409837/31c46ab3cecd/viruses-11-00144-g004.jpg
https://cdn.ncbi.nlm.nih.gov/pmc/blobs/219b/6409837/b64f48e555da/viruses-11-00144-g005.jpg
https://cdn.ncbi.nlm.nih.gov/pmc/blobs/219b/6409837/907726373d64/viruses-11-00144-g006.jpg

相似文献

1
Human Sapovirus among Outpatients with Acute Gastroenteritis in Spain: A One-Year Study.西班牙急性胃肠炎门诊患者中的人类杯状病毒:一项为期一年的研究。
Viruses. 2019 Feb 8;11(2):144. doi: 10.3390/v11020144.
2
Molecular detection and characterization of sapovirus in hospitalized children with acute gastroenteritis in the Philippines.菲律宾急性胃肠炎住院儿童中萨波病毒的分子检测与特征分析
J Clin Virol. 2015 Jul;68:83-8. doi: 10.1016/j.jcv.2015.05.001. Epub 2015 May 6.
3
Epidemiological and Genetic Characterization of Sapovirus in Patients with Acute Gastroenteritis in Valencia (Spain).西班牙巴伦西亚地区急性胃肠炎患者中诺如病毒的流行病学和遗传学特征。
Viruses. 2021 Jan 26;13(2):184. doi: 10.3390/v13020184.
4
Molecular epidemiology of enteric viruses in patients with acute gastroenteritis in Aichi prefecture, Japan, 2008/09-2013/14.日本爱知县 2008/09 至 2013/14 年急性肠胃炎患者肠病毒的分子流行病学研究。
J Med Virol. 2016 Jul;88(7):1180-6. doi: 10.1002/jmv.24445. Epub 2015 Dec 22.
5
Detection of norovirus and sapovirus infection among children with gastroenteritis in Ho Chi Minh City, Vietnam.越南胡志明市肠胃炎患儿中诺如病毒和札如病毒感染情况的检测
Arch Virol. 2004 Sep;149(9):1673-88. doi: 10.1007/s00705-004-0345-4.
6
Genetic diversity of sapovirus in non-hospitalized adults with sporadic cases of acute gastroenteritis in Shanghai, China.中国上海非住院成人散发急性胃肠炎病例中诺如病毒的遗传多样性。
J Clin Virol. 2014 Apr;59(4):250-4. doi: 10.1016/j.jcv.2014.01.007. Epub 2014 Jan 22.
7
Molecular characterization of norovirus variants and genetic diversity of noroviruses and sapoviruses in Thailand.泰国诺如病毒变异体的分子特征及诺如病毒和肠型诺如病毒的遗传多样性。
J Med Virol. 2014 Jul;86(7):1210-8. doi: 10.1002/jmv.23781. Epub 2013 Sep 30.
8
Characterization of sapoviruses detected in gastroenteritis outbreaks and identification of asymptomatic adults with high viral load.在肠胃炎暴发中检测到的沙波病毒的特征分析及高病毒载量无症状成年人的鉴定。
J Clin Virol. 2009 May;45(1):67-71. doi: 10.1016/j.jcv.2009.03.003. Epub 2009 Apr 14.
9
Prevalence and molecular characterization of human noroviruses and sapoviruses in Ethiopia.埃塞俄比亚人诺如病毒和札幌病毒的流行情况及分子特征
Arch Virol. 2016 Aug;161(8):2169-82. doi: 10.1007/s00705-016-2887-7. Epub 2016 May 19.
10
Monitoring of Calicivirus among day-care children: evidence of asymptomatic viral excretion and first report of GI.7 Norovirus and GI.3 Sapovirus in Brazil.对日间托儿所儿童中杯状病毒的监测:无症状病毒排出的证据和巴西首例 GI.7 诺如病毒和 GI.3 星状病毒的报告。
J Med Virol. 2014 Sep;86(9):1569-75. doi: 10.1002/jmv.23791. Epub 2013 Oct 12.

引用本文的文献

1
Multisite community-scale monitoring of respiratory and enteric viruses in the effluent of a nursing home and in the inlet of the local wastewater treatment plant.多地点社区规模监测养老院污水和当地污水处理厂进水口的呼吸道和肠道病毒。
Appl Environ Microbiol. 2024 Nov 20;90(11):e0115824. doi: 10.1128/aem.01158-24. Epub 2024 Oct 10.
2
Protective role of antibodies in enteric virus infections: Lessons from primary and secondary immune deficiencies.抗体在肠道病毒感染中的保护作用:来自原发性和继发性免疫缺陷的经验教训。
Immunol Rev. 2024 Nov;328(1):243-264. doi: 10.1111/imr.13402. Epub 2024 Sep 28.
3
Prevalence of Enteric Pathogens and Antibiotic Resistance: Results of a Six-Year Active Surveillance Study on Patients Admitted to a Teaching Hospital.

本文引用的文献

1
Genetic diversity of human sapovirus across the Americas.人杯状病毒在美洲的遗传多样性。
J Clin Virol. 2018 Jul;104:65-72. doi: 10.1016/j.jcv.2018.05.003. Epub 2018 May 6.
2
Detection and molecular characterization of enteric viruses in children with acute gastroenteritis in Northern Italy.意大利北部儿童急性胃肠炎中肠病毒的检测和分子特征。
Infect Genet Evol. 2018 Jun;60:35-41. doi: 10.1016/j.meegid.2018.02.011. Epub 2018 Feb 10.
3
Molecular epidemiology and genotype distributions of noroviruses and sapoviruses in Thailand 2000-2016: A review.
肠道病原体及抗生素耐药性的流行情况:对一家教学医院收治患者进行的为期六年的主动监测研究结果
Antibiotics (Basel). 2024 Aug 2;13(8):726. doi: 10.3390/antibiotics13080726.
4
Assessment of Gastroenteric Viruses in Marketed Bivalve Mollusks in the Tourist Cities of Rio de Janeiro, Brazil, 2022.2022 年巴西里约热内卢旅游城市市售双壳贝类中胃肠病毒的评估。
Viruses. 2024 Feb 20;16(3):317. doi: 10.3390/v16030317.
5
Metagenomic Detection and Genetic Characterization of Human Sapoviruses among Children with Acute Flaccid Paralysis in Nigeria.尼日利亚急性弛缓性麻痹儿童中人类札如病毒的宏基因组检测与基因特征分析
Pathogens. 2024 Mar 19;13(3):264. doi: 10.3390/pathogens13030264.
6
Molecular characterization of norovirus and sapovirus detected in animals and humans in Costa Rica: Zoo-anthropozoonotic potential of human norovirus GII.4.哥斯达黎加动物和人类中诺如病毒和星状病毒的分子特征:人诺如病毒 GII.4 的动物-人兽共患潜力。
Open Vet J. 2023 Jan;13(1):74-89. doi: 10.5455/OVJ.2023.v13.i1.8. Epub 2023 Jan 14.
7
Sapovirus Infections in an Australian Community-Based Healthy Birth Cohort During the First 2 Years of Life.在生命的头 2 年中,澳大利亚基于社区的健康出生队列中的萨沃病毒感染。
Clin Infect Dis. 2023 Mar 21;76(6):1043-1049. doi: 10.1093/cid/ciac861.
8
Partial Analysis of the Capsid Protein (VP1) of Human Sapovirus Isolated from Children with Diarrhoea in Rural Communities of South Africa.从南非农村社区腹泻儿童中分离出的人札幌病毒衣壳蛋白(VP1)的部分分析
Adv Virol. 2022 Jun 2;2022:9928378. doi: 10.1155/2022/9928378. eCollection 2022.
9
Composition of Eukaryotic Viruses and Bacteriophages in Individuals with Acute Gastroenteritis.急性胃肠炎患者的真核病毒和噬菌体组成。
Viruses. 2021 Nov 25;13(12):2365. doi: 10.3390/v13122365.
10
Detection and characterization of human astrovirus and sapovirus in outpatients with acute gastroenteritis in Guangzhou, China.在中国广州,对急性肠胃炎门诊患者进行人星状病毒和肠病毒的检测和特征分析。
BMC Gastroenterol. 2021 Dec 3;21(1):455. doi: 10.1186/s12876-021-02044-5.
2000-2016 年泰国诺如病毒和肠型诺如病毒的分子流行病学和基因型分布:综述。
J Med Virol. 2018 Apr;90(4):617-624. doi: 10.1002/jmv.25019. Epub 2018 Jan 23.
4
Sapovirus in Wastewater Treatment Plants in Tunisia: Prevalence, Removal, and Genetic Characterization.突尼斯污水处理厂的萨如病毒:流行情况、去除率和遗传特征。
Appl Environ Microbiol. 2018 Mar 1;84(6). doi: 10.1128/AEM.02093-17. Print 2018 Mar 15.
5
Viral gastrointestinal infections and norovirus genotypes in a paediatric UK hospital, 2014-2015.2014 - 2015年英国一家儿科医院的病毒性胃肠道感染与诺如病毒基因型
J Clin Virol. 2016 Nov;84:1-6. doi: 10.1016/j.jcv.2016.08.298. Epub 2016 Aug 30.
6
Human Sapovirus in Mussels from Ría do Burgo, A Coruña (Spain).来自西班牙拉科鲁尼亚省布尔戈湾贻贝中的人札幌病毒
Food Environ Virol. 2016 Sep;8(3):187-93. doi: 10.1007/s12560-016-9242-8. Epub 2016 May 7.
7
Population-Based Incidence Rates of Diarrheal Disease Associated with Norovirus, Sapovirus, and Astrovirus in Kenya.肯尼亚基于人群的诺如病毒、札如病毒和星状病毒相关腹泻病发病率
PLoS One. 2016 Apr 26;11(4):e0145943. doi: 10.1371/journal.pone.0145943. eCollection 2016.
8
Monthly Distribution of Norovirus and Sapovirus Causing Viral Gastroenteritis in Thailand.泰国诺如病毒和札幌病毒引起的病毒性肠胃炎的月度分布情况
Jpn J Infect Dis. 2017 Jan 24;70(1):84-86. doi: 10.7883/yoken.JJID.2015.440. Epub 2016 Mar 18.
9
Prevalence and Genetic Diversity of Human Sapoviruses in Shellfish from Commercial Production Areas in Galicia, Spain.西班牙加利西亚商业生产区贝类中人类札幌病毒的流行情况和遗传多样性
Appl Environ Microbiol. 2015 Dec 11;82(4):1167-1172. doi: 10.1128/AEM.02578-15. Print 2016 Feb 15.
10
Four-year study of viruses that cause diarrhea in Japanese pediatric outpatients.日本儿科门诊腹泻病毒的四年研究。
J Med Virol. 2015 Jul;87(7):1141-8. doi: 10.1002/jmv.24155. Epub 2015 Apr 16.